模态框(Modal)标题

在这里添加一些文本

模态框(Modal)标题

  • 期刊
  • 文章
  • 图表
  • 检索
EN中文
  • 首页
  • 关于期刊
    • 期刊介绍
    • 数据库收录
    • 期刊荣誉
  • 编委会
  • 青年编委会
  • 投稿指南
  • 在线期刊
    • 当期目录
    • 优先出版
    • 过刊浏览
    • 推荐文章
    • 专题
    • 按栏目浏览
    • 阅读排行
    • 下载排行
    • 引用排行
    • E-mail Alert
    • RSS
  • 期刊订阅
  • 广告合作
  • 联系我们
EN中文

图/表 详细信息

长江中游城市群生态系统服务价值时空变化及其驱动因素
刘志飞, 罗昕怡, 刘安妮, 黎含
经济地理, 2025, 45(11): 213-222.   DOI: 10.15957/j.cnki.jjdl.2025.11.021

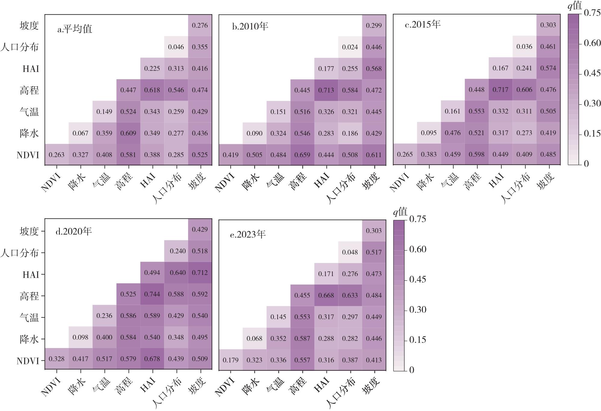
图5 驱动因素的作用机制
本文的其它图/表
  • 图1 研究区概况
  • 表1 长江中游城市群生态系统服务价值系数表(元/hm2)
  • 表2 2010—2023年长江中游城市群各类土地的ESV变化
  • 表3 2010—2023年长江中游城市群各地类的ESV动态度
  • 表4 2010—2023年长江中游城市群土地生态系统单项服务价值变化
  • 图2 长江中游城市群ESV空间演变
  • 表5 不同年份长江中游城市群ESV的Moran's I统计值
  • 图3 长江中游城市群ESV的LISA聚集空间分布演变
  • 表6 长江中游城市群ESV空间分异的因子探测
  • 图4 长江中游城市群ESV空间分异的因子交互探测

网站版权 © 《经济地理》编辑部
地址:湖南省长沙市岳麓区金星南路165号湖南财政经济学院行政楼1026# 
电话:0731-88811597 
E-mail:jjdl1981@163.com
本系统由北京玛格泰克科技发展有限公司设计开发