区域经济与理论方法

中国陆海经济复合系统适应性循环演化及其驱动机制

  • 白雪 , 1 ,
  • 杨思芹 1 ,
  • 盖美 1 ,
  • 李雪铭 , 2, 3,
展开
  • 1.辽宁师范大学 海洋可持续发展研究院,中国辽宁 大连 116029
  • 2.辽宁师范大学 地理科学学院,中国辽宁 大连 116029
  • 3.辽宁师范大学 人居环境研究中心,中国辽宁 大连 116029
李雪铭(1964—),男,博士,教授,博士生导师,研究方向为城市人居环境与可持续发展。E-mail:

白雪(1989—),女,博士,讲师,研究方向为区域经济与可持续发展。E-mail:

收稿日期: 2024-06-28

  修回日期: 2024-12-10

  网络出版日期: 2025-08-07

基金资助

国家自然科学基金面上项目(42276231)

辽宁省教育厅科学研究经费面上项目(LJKZ0976)

Evolution and Driving Mechanism of Adaptive Cycle of China's Land-sea Economic Composite System

  • BAI Xue , 1 ,
  • YANG Siqin 1 ,
  • GAI Mei 1 ,
  • LI Xueming , 2, 3,
Expand
  • 1. Institute of Marine Sustainable Development,Liaoning Normal University,Dalian 116029,Liaoning,China
  • 2. School of Geographical Sciences,Liaoning Normal University,Dalian 116029,Liaoning,China
  • 3. Center for Human Settlements,Liaoning Normal University,Dalian 116029,Liaoning,China

Received date: 2024-06-28

  Revised date: 2024-12-10

  Online published: 2025-08-07

摘要

探究陆海经济复合系统适应性循环演化及其驱动机制对实现沿海地区经济高质量发展具有重要的理论意义。文章通过构建陆海经济复合系统适应性循环研究框架,对2007—2021年中国沿海地区的适应性循环阶段进行判别;在此基础上,使用地理探测器探究了陆海经济复合系统适应性循环演化空间分异的驱动机制。结果表明:①2007—2021年中国陆海经济复合系统适应性共经历释放—重组—释放、开发、释放—重组3个阶段。②三维属性空间演化差异性显著,其中潜力高水平区集中于广东和山东,关联度高值区呈现向长三角、珠三角集聚的空间格局,韧性呈现“北低南高”的分化倾向。③研究期内除福建和江苏始终处于开发阶段、广西始终处于重组阶段外,其余省份徘徊于开发、维持和重组阶段,尚未有省份处于释放阶段。④中国沿海地区陆海经济复合系统适应性演化的空间分异是多因素综合作用的结果,其中空间联动机制、生态导向机制、政府调控机制和内核提升机制是陆海经济复合系统适应性演化的主要驱动机制。

本文引用格式

白雪 , 杨思芹 , 盖美 , 李雪铭 . 中国陆海经济复合系统适应性循环演化及其驱动机制[J]. 经济地理, 2025 , 45(6) : 36 -46 . DOI: 10.15957/j.cnki.jjdl.2025.06.004

Abstract

Exploring the adaptive cycle evolution and driving mechanism of the land-sea economic composite system is of great theoretical significance for realizing high-quality economic development in coastal areas. This paper constructs the adaptive cycle research framework of the land-sea economic composite system, identifies its adaptive cycle stage in China's coastal areas from 2007 to 2021, and explores the driving mechanism of its spatial differentiation with the help of geographic detectors. The results show that: 1)From 2007 to 2021, the adaptability of China's land-sea economic composite system has gone through the stages of release-restructuring-release, exploitation, and release-restructuring. 2) Three dimensions of the adaptive cycle of the land-sea economic composite system shows significant differences in terms of spatial evolution. Regions with high-level potential are concentrated in Guangdong and Shandong, regions with high-level correlation are clustered toward the Yangtze River Delta and the Pearl River Delta. The spatial pattern of resilience degree shows a differentiation tendency, which is low in the north of China's coastal areas and high in the south of China's coastal areas. 3) During the study period, except Fujian and Jiangsu were always in the exploitation stage and Guangxi was always in the restructuring stage, the other regions were in the exploitation, conservation and restructuring stages, and no regions were in the release stage. 4) The spatial differentiation of the adaptive evolution of the land-sea economic composite system in coastal areas is the result of multiple factors. The spatial association mechanism, ecological orientation mechanism, government regulation mechanism and endogenous dynamic upgrading mechanism are the main driving mechanisms of the adaptive evolution of the land-sea economic composite system.

陆海经济复合系统是由陆地与海洋各自相互联系和相互作用的若干经济元素、经济分工、经济协作组合形成兼具陆海经济要素、产业结构与功能特点的复合巨系统[1-2]。陆海经济复合系统作为践行陆海统筹的主战场,其中“陆”与“海”要素按照一定规律紧密联系,通过物质循环、能量流动与信息传递等交互作用,发生要素重组、结构调整与功能转换,进而实现陆海经济相互促进和共同发展[3]。当前,随着人类活动进程加快,非理性的高强度开发、资源过度索取、生态环境衰退,加之极端灾害事件频发,陆海经济复合系统所面临的自然、社会、经济环境扰动兼具复杂性、不确定性与难预测性[4]。为应对这一复杂扰动,陆海经济复合系统通过内部自组织运行与外部交互调整以实现系统适应性演化。然而,陆海经济复合系统适应性并非都能顺利完成向高级阶段演进,有时可能还会走向倒退甚至崩溃。面对百年未有之大变局,陆海经济复合系统的适应性发展是拉动沿海地区经济高质量可持续、适应新发展格局需求的关键环节,其适应性演进机制则是推动这一过程的重要依据。因此,如何准确判别陆海经济复合系统适应性所处阶段,分析其阶段特征与驱动机制,对推进陆海协调可持续发展具有重要的理论价值和现实意义。
近年来,关于陆海经济复合系统适应性研究主要聚焦于两个方面:一方面侧重于解析系统本身的内涵[5]、要素构成[3]、学理认识及其系统演化逻辑[6]。陆海经济复合系统适应性自身复杂性所诱导的内涵多维性与功能开放性,体现出系统面对多元复杂、不确定冲击时维持自身发展的能力。例如,应超等构建包含经济规模、社会文化、生态环境的海岸带复合系统适应性评价,拓展了陆海统筹背景下的适应性评价内涵[7];陈琦等从暴露性、敏感性、脆弱性维度对陆海渔业社会—生态系统适应性进行解读,并构建计量模型解释和识别三维度影响因素之间的作用关系网络[8]。同时,随着产业结构、创新关系、制度和政策因素等被纳入影响适应性研究的主要因素,陆海经济复合系统适应性研究的重点从应对外部危机的反应能力,逐渐转为区域长期可持续发展的适应能力。此前研究虽注重描述系统适应性演化过程与现象表征,但缺乏对系统内部互馈关系及作用机制的分析。另一方面则聚焦于诠释陆海统筹背景下适应性治理的重要性,探索多元主体间适应性治理共同体的运行逻辑,强调被动应对到主动适应的范式转变。例如,陈东景等将适应性理论融入海洋生态系统中,寻求实现海洋生态系统服务与供给维持平衡状态的新路径[9];李博等通过分析人海经济系统环境适应性状态及波动状况并预警,探索生态环境变化下人海经济系统的适应性应对策略[10]。此类研究体现了适应性在解决实际问题中的靶向性,但陆海经济复合系统适应性是一种深受外部环境复杂性与地理特征多样性影响,由系统内部要素、结构和功能作用下表现出潜力、关联度和韧性交互作用强弱产生稳态阈值变化的复杂系统,仅从系统表征或阶段特点诠释其适应性逻辑具有局限性。此外,针对现有的适应性循环阶段划分原则多基于先期运行状态与历史事实判断,缺乏对其内在属性的定量分析,划分依据存在主观性,对现实困境解释力不足。
沿海地区的经济发展是陆域经济与海洋经济动态变化整体特征的重要体现,陆域经济离不开海洋的支持,海洋经济也脱离不了陆地而生存,两者交互影响、交互制约,具有较强的综合体特征[11-12]。面对内外界的扰动与冲击更加敏感,系统动态稳定态势受到威胁,结构与功能发生变化和阻滞,甚至出现脆弱性波动或恶性循环,亟需关注陆海经济复合系统整体运作的适应性。为此,本文以中国沿海地区11个省级单元为例,构建基于适应性理论的陆海经济复合系统适应性循环研究框架,从潜力、关联度、韧性3个维度选取指标量化沿海地区陆海经济复合系统适应性的时空演化,识别其所处阶段并解释其驱动机制,以期为陆海协调发展与陆海统筹适应性发展路径提供科学依据。

1 陆海经济复合系统适应性循环研究框架

适应性理论是指系统应对扰动时为保持自身结构的稳定性与完整性而做出的动态调整与阶段转换,其通过“潜力—关联度—韧性”三维属性进行功能实现[13-14]。适应性理论中“3维度—4阶段”原理,用于解释陆海经济复合系统的适应性及其动态发展过程,可将系统演化过程定量化与具象化,克服了演化阶段划分中以主观判断为依据的局限,对描述系统复杂性、动态性演变过程具有较大优势。该理论认为系统在受到外部冲击与扰动时,会经历开发、维持、释放、重组4个阶段的适应性循环过程,同时展现出潜力、关联度、韧性3维属性的变化与响应[15-16],为观察陆海经济复合系统内部交互作用关系提供了新的分析视角。陆海经济复合系统是陆域与海域间多元经济要素、多种经济组织方式与区位环境等系统内部要素之间及其外在环境、物质、信息交互作用下所形成的复杂陆海关系耦合体[17-18]。适应性理论强调的非线性、动态性、开放性与陆海经济复合系统发展过程中复杂性、自组织性特征相契合[5,19]
据此,本文将适应性理论的“潜力—关联度—韧性”研究范式与陆海经济复合系统适应性思维融合,构建陆海经济复合系统适应性循环研究框架(图1)。作为复杂的适应系统,面临外界干扰(国际环境变化、陆海利益冲突、自然灾害突发事件等)的陆海经济复合系统通过协调陆、海各类经济要素,立足于沿海内陆及其腹地和市场,通过陆域的要素积累与组织方式,加快推动海洋资源开发与产业发展,要素间组织结构与功能由无序转向有序。在内核驱动与外源扰动的双重作用下,具有不同适应性水平的陆海经济复合系统呈现出不同的发展态势[20-21]。陆海经济复合系统适应性核心内涵可以诠释为3种能力:第一种潜力,是系统以经济要素、资源环境和生产功能为表征的物质积累,维系系统适应性发生的运转动力与能量基础;第二种关联度,是系统内部与外部、系统各部分进行能量流动、信息传递的相互作用关系,既是陆海要素重组、组织构建与功能转换的连接纽带,又表征陆海交互作用的连通关系,是系统适应性运行的联结载体;第三种韧性,是系统面临外部扰动时维持自身内部结构与功能的能力,是系统适应性有效运行与创造更新的保障。在这3种能力中,潜力是关联度与韧性的物质基础,关联度是潜力与韧性的结构支撑,而韧性则是潜力与关联度有效运行的能力保障,三者之间彼此关联,环环相扣,共同推动陆海经济复合系统适应性良性运转,推动系统经历“开发—维持—释放—重组”的循环过程。
图1 陆海经济复合系统适应性循环研究框架

Fig.1 Research framework of adaptive cycle of land-sea economic composite system

基于“潜力—关联度—韧性”三维属性配置的竞合形态,梳理陆海经济复合系统适应性循环,其演变过程可理解为:陆海经济复合系统形成的开发阶段,系统内部经济要素逐渐积累、受外部影响程度小,面对扰动时适应能力逐渐提升,随着吸纳人口、资金、技术等要素的不断累积,系统各要素间联系不断增强,三维属性值不断提升;当系统经历了长期缓慢积累,达到维持其自身适应性的保存状态时,系统进入维持阶段,内部要素因连结过于紧密而刚性增强,系统虽整体达到较高水平,但三维属性值增长速率放缓,内部要素组织灵活性下降;一旦系统受到超过阈值的外部干扰而无法维持内部运转时,极易导致固有相对稳定态势被打破,要素空间组织和运行能力受到冲击,系统内部联系遭受干扰,进入释放阶段;随着内部自组织与外部政策调控,陆海经济复合系统通过优化发展潜力、强化关联度、提升韧性的方式实现系统内外部的结构重构与功能转换,退出的要素得到重新利用,降低的适应性逐渐恢复,潜力、关联度、韧性均得到持续改善,推动系统进入重组阶段,为新阶段的循环演化提供可能。

2 数据来源与研究方法

2.1 数据来源

基于数据的科学性、连贯性、可获得性,以中国沿海地区11个省、直辖市、自治区(文中简称“省份”)为研究区域,对2007—2021年中国陆海经济复合系统适应性循环指数进行测算,统计数据主要来源于2008—2022年的《中国统计年鉴》《中国海洋经济统计年鉴》《中国科技统计年鉴》《中国环境统计年鉴》《中国海洋生态环境状况公报》、交通运输部官网以及相关各省份统计年鉴、统计公报等,部分缺失的数据使用插值法进行补齐。由于2007年后《中国海洋经济统计年鉴》部分指标统计口径发生变化,为保证数据的连续性,将研究时段定为2007—2021年。

2.2 研究方法

2.2.1 评价指标体系构建

基于陆海经济复合系统适应性循环研究框架,以及对陆海经济复合系统的学理认知,结合沿海地区陆海经济的现势性,依照科学性、系统性、可操作性等原则,从“潜力—关联度—韧性”3个维度构建指标体系,共选取30个二级指标(表1)。潜力表征系统经济要素的积累情况,劳动力潜力、资源潜力、资金潜力、环境潜力、产业潜力被视为经济系统潜力的重要组分[22]。其中劳动力作为生产主体,其数量变化能直观反映经济系统的生产规模[23];资源、资金是其主要物质基础,提供经济系统运行必要支撑;产业潜力作为经济系统的生产结构支持,主要选择产业结构高级化指数进行衡量[24]。关联度主要发挥连结系统内外的支撑作用,选取产业关联度、创新关联度、对外关联度、交通关联度表征陆海经济复合系统内部与外部的联系紧密程度[6,25]。韧性强调系统遭受不确定冲击后的抵御、恢复与更新,是保持适应性循环阶段正常运行的重要指标,选取规模与效率方面指标表征系统抵御能力;政府调控与基础设施指标表征系统恢复能力;生态与创新指标表征系统更新能力[26]
表1 陆海经济复合系统适应性循环评价指标体系及说明

Tab.1 Evaluation index system of adaptive cycle of land-sea economic composite system

目标层 属性层 一级指标层 二级指标层 指标释义或算法 性质











潜力 劳动力潜力 涉海就业人数(万人) 反映区域涉海就业规模
海洋专业大专及以上在校学生数(人) 反映区域海洋人才潜力
资源潜力 生物资源量1 反映区域生物资源潜力
矿产资源系数2 反映区域矿产资源潜力
资金潜力 固定资本存量(亿元) 反映沿海地区资本存量潜力
人均海洋固定资产投资额(元/人) 反映海洋资本投入潜力
环境潜力 环境质量指数3 反映沿海地区环境综合潜力
环境污染治理投资额(万元) 反映区域环境治理力度
产业潜力 产业结构高级化指数[27] 反映产业结构高级化程度
海洋产业结构高级化指数[27] 反映海洋产业结构高级化程度
关联度 产业关联度 陆海产业关联度[28] 反映陆海产业关联程度
海洋产业区位熵[29] 反映海洋产业空间分布
创新关联度 创新关联度4 反映地区创新关联水平
海洋创新关联度5 反映地区海洋创新关联水平
对外关联度 进出口总额占GDP比重(%) 反映区域经济对外开放程度
外贸吞吐量占沿海港口货物吞吐量比重(%) 反映区域海洋经济对外开放程度
交通关联度 路网密度(km/km2 反映地区运输关联水平
港口货物运输量(万t) 反映港口发展水平
韧性 规模韧性 经济密度(亿元/km2 反映海岸线经济发展水平
海洋产业生产总值占比(%) 反映海洋经济发展规模
效率韧性 区域劳动生产率(元/人) 反映沿海地区经济效率
海洋全员劳动生产效率(元/人) 反映海洋生产效率
政府调控韧性 区域公共财政支出(万元) 反映政府调控力度结构
海洋相关政府公报条例数量(条) 反映涉海政策调控水平
设施支撑韧性 基础设施综合指数[30] 反映沿海地区基础设施水平
海洋基础设施投资额(亿元) 反映海洋基础设施建设水平
生态韧性 生态压力指数6 反映生态压力水平
海洋自然保护区面积(km2 反映海洋自然保护区规模
创新韧性 科研机构R&D人数(人) 反映沿海地区创新实力
海洋科研经费投入(万元) 反映海洋研发投入强度

注:1.生物资源量= w i p i其中i包含海洋捕捞产量和海水养殖产量, p i为标准化后的数据, w i为权重。2.矿产资源系数公式与“生物资源量”计算相同,其中i包含原煤产量、原油产量、海洋原盐产量。3.环境质量指数$=\sqrt[3]{D \cdot R \cdot E}$,其中DRE分别表示工业固体废物综合利用率、污水处理厂集中处理率、垃圾无害化处理率。4.创新关联度选取专利申请授权数、R&D内部经费支出、R&D人员全时当量3个指标,采用熵值法求得创新质量指数的基础上运用引力模型计算创新联系强度[31]。5.海洋创新关联度计算方法与“环境质量指数”计算相同,其中指标选取海洋专利申请授权数、海洋R&D内部经费支出、海洋科技活动人员数3个指标表示。6.生态压力指数系数计算公式与“生物资源量”计算相同,其中i包含沿海省份直排海污染源排放物中的化学需氧量、石油类、氨氮、总磷的排放量。7.受篇幅限制,部分指标计算方法见其右上角所引参考文献。

2.2.2 基于遗传算法优化的投影寻踪模型

投影寻踪模型作为一种稳健、抗干扰性强的统计方法,在保持数据关键特征的同时实现降维,有助于揭示数据集的主要特征,对于区域综合评价问题的解决具有较强的实用性和科学性[32]。本文基于遗传算法对传统的投影寻踪模型进行优化,能增强投影寻踪模型运行的稳定性,具体步骤和做法如下:
①数据的标准化处理。式中xij为第i个单位的第j个指标的原始值,Xij为经过标准化处理后第i个单位的第j个指标。
对于正向指标,标准化公式为:
X i j = x i j - m i n   x i j m a x   x i j - m i n   x i j
对于负向指标,标准化公式为:
X i j = m a x   x i j - x i j m a x   x i j - m i n   x i j
②构造投影目标函数:
z i = j = 1 t ( a j x i j ) , ( i = 1,2 , , t )
Q a = S z D z
S Z = i = 1 n z i - E i 2 n - 1
D z = i = 1 n i = 1 n R - r i j u R - r i j
式中:t为数据xij的维度,j=1,2,…,t。将其转为投影向量ɑ=[ɑ(1),ɑ(2),…ɑt)],则xij的投影值即为ziSzzi的标准差;Eizi的均值;R为局部密度Dz的窗口半径;rij为两两特征值间的距离;u为单位阶跃函数。
③优化投影目标函数。以最大化投影目标函数的结果进行计算,用以测算最佳投影方向。
m a x Q a = S z D z
$\text { s.t } \sum_{j}^{m} a_{j}^{2}=1,\left(a_{j}>0\right)$
④寻找最佳投影值:
z i * = i = 1 n a j * x i j
式中:z*为投影值,z*值越大,表示陆海经济复合系统适应性程度越高; a j *为最佳投影方向。

2.2.3 地理探测器

地理探测器能有效规避传统计量方法处理空间数据时的局限。本文使用地理探测器中的因子探测及交互探测来对形成陆海经济复合系统韧性适应性空间分异的驱动力进行探究[33]

3 中国陆海经济复合系统适应性循环演化过程识别

3.1 中国陆海经济复合系统适应性时序变化特征

本文采用式(1)~(9)计算陆海经济复合系统适应性循环指数,并结合研究框架中对于适应性阶段的特征阐述,对2007—2021年中国陆海经济复合系统适应性时序变化特征进行分析。由图2可知,中国陆海经济复合系统呈现“波动释放—快速增长—重组再发展”的适应性演化过程。①2007—2011年为释放—重组—释放阶段,即适应性指数呈现先降、后增、再下降的波动变化,意味着陆海经济复合系统在受到多次冲击后呈现出结构僵化与增长乏力的现象,韧性显著下降是这一阶段的主要特征。这一时期,受国际金融危机、自然灾害等危机事件影响,以及后金融危机时代的经济下行、产业调整等作用,适应性指数分别在2008、2010、2011年出现了3次下滑。其中,2011年更是达到了整个研究时期内的最低点,可能原因是:一方面随着高强度的海洋开发活动不断开展,传统海洋经济发展方式引起的陆海间矛盾日益积累;另一方面推动海洋经济结构转型升级等宏观经济举措的红利还未显现。②2012—2015年为开发阶段,复合系统适应性指数由2.1增长至2.8,呈快速增长态势,潜力、关联度、韧性3维属性也均实现快速增长。其主要得益于这一时期海洋经济政策的开展,在“21世纪海上丝绸之路”“海洋经济发展试点”“培育战略性新兴产业”等战略方针指导下,沿海地区的陆海经济复合系统逐渐转变和优化临海产业布局,提升海洋经济发展活力,潜力水平显著提升且远高于关联度和韧性是这一阶段的主要特征。③2016—2021年为释放—重组阶段,复合系统适应性指数呈下降后缓慢上升态势,即在释放后的路径上进行再重组发展。随着工业化和沿海城市的快速发展,发展与保护之间的矛盾日益加深,使得陆海经济复合系统在经历了稳步上升之后,表现出波动下降的阶段性态势。这一时期,我国全面建立海洋生态红线制度,陆海经济复合系统发展逐渐由重效率转向重质量;此外,加强海洋生态文明建设被纳入沿海地区开发总布局之中,对陆海经济复合系统的发展提出了新的挑战。在“陆海统筹、保护优先”的新格局下,陆海经济复合系统经历了快速下降后,又迎来了重组再发展,虽增速缓慢,但随着退出的要素不断得到重组利用,降低的适应性逐渐恢复,将为进入更高层次的下一循环提供可能。韧性在3维属性中所占比重快速上升且增速远高于潜力与关联度,是这一阶段的主要特征。
图2 2007—2021年中国沿海地区陆海经济复合系统整体及三维属性适应性循环指数

Fig.2 Index values of the overall and three dimensions of the adaptive cycle of the land-sea economic composite system in China's coastal areas from 2007 to 2021

3.2 中国陆海经济复合系统适应性指数变化特征

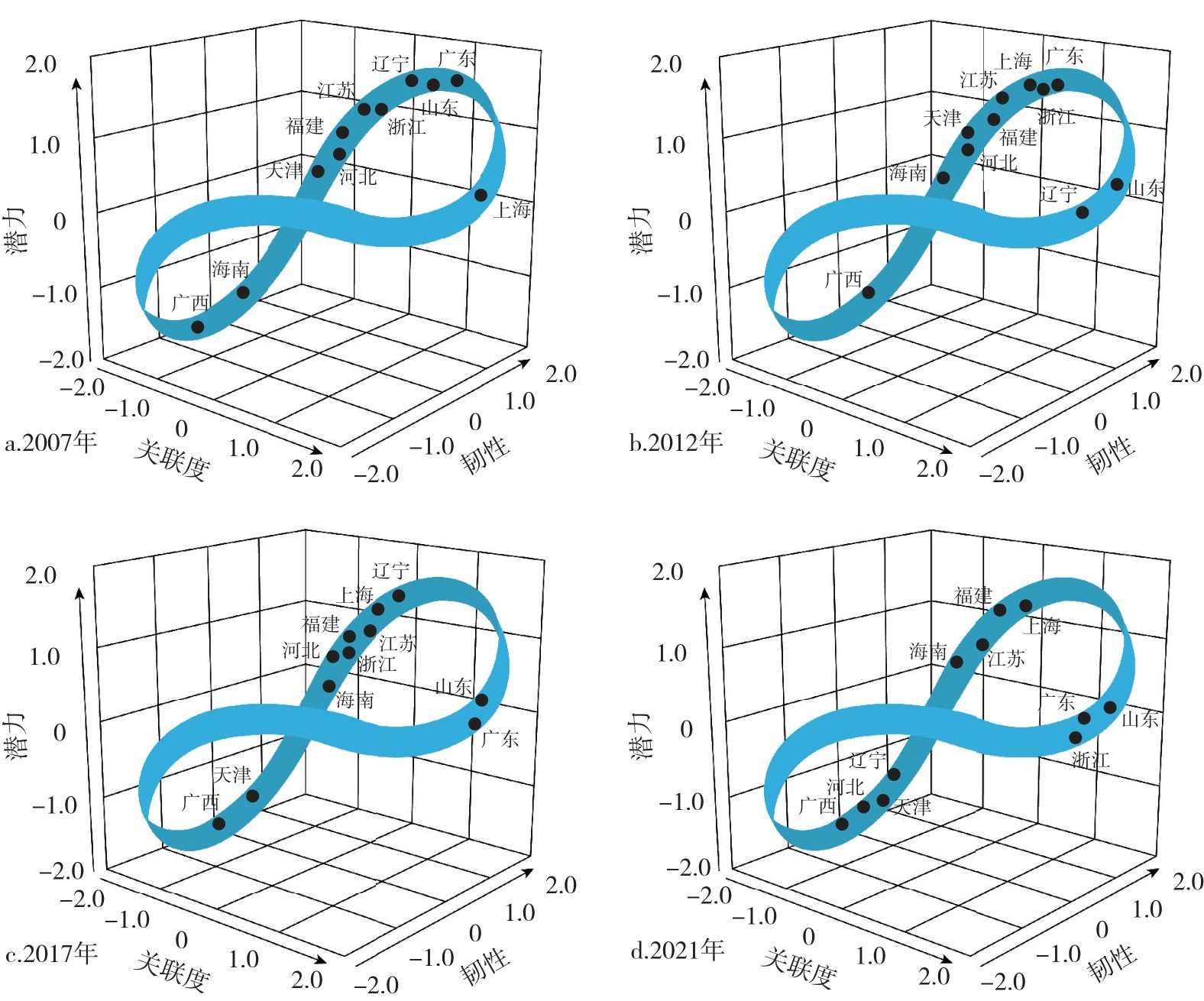
本文选取时间间隔相同的2007、2012、2017和2021年作为代表年份。鉴于自然断点法能在保持数据特征的同时对数据进行有效分级[34],据此对陆海经济复合系统适应性三维属性值进行分级,当分类为4类时,属性空间分异特征最显著(图3)。具体特征如下:
图3 中国沿海地区陆海经济复合系统“潜力—关联度—韧性”水平变化

注:基于自然资源部标准地图服务网站下载的审图号为GS(2019)1822号的标准地图制作,底图边界无修改。

Fig.3 Spatial distribution of three dimensions of the land-sea economic composite system in China's coastal areas

①潜力。2007—2021年潜力均值由1.093下降至0.772,整体呈下降趋势。在空间上呈现山东、广东“两枝独秀”的分布特征。研究初期,随着国家大力支持海洋开发与建设,沿海地区绝大多数省份的潜力值都较高,仅广西、海南处于较低水平。2012年,海洋经济发展的区域性政策持续推进,辽宁、山东由于较早推动海洋经济布局与产业结构调整,潜力上升最为明显。2017年,在“海洋污染防控与生态保护并重”背景下,沿海地区的发展规划更加注重生态建设,潜力发展受到冲击,但整体而言变化相对较小,空间分布变化不大。到2021年,潜力值进一步下降,处于低水平的省份增加至4个,除广西、海南外,天津、河北进入较低水平行列。可能的原因是,一方面与其产业结构层次单一、海洋资源开发效益较低有直接关系;另一方面,海洋环境保护压力进一步增大导致潜力发展受到阻碍。整体来看,潜力高水平集中在山东、广东2省,这主要是随着海洋新兴产业战略性调整,山东、广东在海洋工程装备制造、海洋生物医药、航运贸易金融等特色产业优势明显,同时也是中国首批开展海洋经济发展试点区域,潜力发展方面优势显著。
②关联度。2007—2021年关联度均值整体呈现稳定增长的发展趋势,空间上呈现高值区向长三角、珠三角集聚的分布格局。具体来看,2007—2012年关联度水平的提升效果十分显著,较高水平及以上省份的数量由2007年的3个增加至2012年的9个,且集中分布在拥有国家级港口枢纽的区域,关联度支撑极大地推动了陆海经济复合系统适应性发展。2017年,受生态环境制约和经济发展新常态影响,关联度水平有所下降,但在调整后迅速回升并保持稳定增长,空间分布上也更为集聚。到2021年,上海、浙江、广东发展成为较高水平,其中上海港地处长江东西运输通道与海上南北运输通道的交汇点,年外贸吞吐量居全国首位。主要原因是,浙江、广东拥有众多国际知名港口以及中国最大的集装箱港口,如宁波—舟山、广州、深圳等,这些港口为陆海经济的融合发展提供了便利的物流基础和贸易环境。整体来看,研究期内,关联度水平实现了显著提升,随着“新基建”政策推进,高铁、机场以及信息数字化等基础设施建设进一步完善了沿海地区的多维度交通网络。此外,交通基础设施作为技术、人才的空间流动载体,为陆海经济复合系统提供了重要的创新关联基础。
③韧性。2007—2021年韧性均值呈现波动中上升的发展态势,空间上呈现以环渤海为低水平集聚区,长三角、珠三角表现出高水平集聚区的特征。2007—2012年,受金融危机影响,陆海经济复合系统韧性水平波动变化较大,半数以上省份呈现下降趋势,其中辽宁、天津、河北下滑趋势最为明显。2017年,随着我国经济向高质量发展阶段转向,沿海省份经济韧性得到快速发展,高水平区逐渐向长三角、珠三角集聚。到2021年,除环渤海以外的其他沿海省份均实现了大幅增长,反观处于环渤海的辽宁、天津、河北再次陷入低水平。究其原因在于,环渤海地区海洋科技实力和产业自主创新能力相对薄弱,产品多集中在较低端的仿制、加工领域,自主创新能力与发达省份差距明显。其中辽宁虽大力培育和发展海洋战略性新兴产业,但其增加值占比仍较低,对海洋产业结构优化升级的引领作用不显著。此外,广西韧性水平明显落后,主要由于其以传统海洋产业为主的产业结构单一、海洋资源开发利用方式粗放,科技和人才支撑能力不足所致。

3.3 陆海经济复合系统适应性循环阶段判别

基于陆海经济复合系统适应性循环研究框架,将中国沿海地区11个省份的“潜力—关联度—韧性”指数进行Z-score标准化处理后绘制于三维坐标轴中,结合沿海地区现实情况与已有研究分类办法,本文选取-1和1作为阈值[34-35]。若某研究单元的三维属性值均小于-1,则认为其处于重组阶段,此阶段的三维属性水平较低,但极具发展潜力,与适应性循环演化的重组阶段特点相对应;若均大于1,则认为其处于开发阶段,此阶段的三维属性水平较高,增长速率较快,与适应性循环演化的开发阶段特点相对应;若不满足以上两种情况,则认为其处于维持阶段,即三维属性水平均处于保持稳定的状态,未出现较大幅度上升或下降。鉴于研究期间内沿海地区尚未出现因剧烈冲击导致系统出现崩溃的状况,因此在本文的研究中暂不考虑释放阶段。
从整体来看,2007、2012、2017年大多数的省份处于开发阶段,至2021年,处于开发阶段的省份数量有所减少,处于重组与维持阶段的省份数量有所增加,三阶段的省份数量更加趋于均衡(图4)。为方便对比,本文仅选取2021年11个省份的适应性循环所处阶段进行详细分析。
图4 中国沿海地区11省份的适应性循环阶段演变

Fig.4 Change of adaptive cycle stage in 11 provincial-level regions of China from 2007 to 2021

①重组阶段:天津、河北、辽宁与广西同处于重组阶段,此阶段的陆海经济复合系统适应性发展水平较低,但极具发展潜力。广西自2007年以来始终处于重组阶段,相较于沿海其他省份,广西海洋产业结构层次单一,资源开发利用效率较低,北部湾港口承载力有限,海洋经济发展受限。但其海洋生物、矿产资源丰富,海洋空间资源的利用率极低,发展海洋产业空间广阔。天津、河北与辽宁由最初的开发阶段进入到重组阶段,陆海经济复合系统适应性发展水平经历了快速的粗放式发展,面临产业结构转型升级的挑战,通过提升产业素质,升级置换和重组产业要素,形成新的增长方式满足长远发展的需要,天津、河北与辽宁正处于海洋产业结构调整、海洋战略性新兴产业培育的发展期。
②开发阶段:海南、福建、江苏、上海同处于开发阶段,此阶段的陆海经济复合系统适应性正处于快速上升态势。福建和江苏始终处于开发阶段,2省岸线资源丰富、海洋生物多样且良港众多,发展滨海旅游业及海洋交通运输业具备得天独厚的优势条件。此外,福建独特的侨乡优势更加便利商贸往来,有利于福建陆海经济融合发展。海南得益于滨海旅游特色产业的快速发展从重组阶段跃迁到开发阶段。上海凭借全国经济中心的优势与海洋交通枢纽的主体地位为其经济发展注入新的活力,由维持阶段进入到开发阶段,呈现出良好的经济发展态势。
③维持阶段:浙江、广东、山东同处于维持阶段陆海经济复合系统适应性发展水平较高,但速率放缓是这一阶段的主要特征。浙江作为我国海岸线最具有价值优势的省份,拥有全国最大的群岛——舟山群岛,自然本底基础优越,随着陆海新通道建设推动“东西互济”双向格局形成,港口运营一体化效果显著。广东、山东作为我国首批建立海洋经济发展试点省份,2011年以来先后设立海洋经济示范区。山东在海洋技术创新领域优势显著,至2021年底,山东省海洋水产品加工业、海洋化工业等7个海洋产业增加值位居全国第一,拥有省级以上海洋牧场示范区达139处,其中国家级67处,位居全国首位,深远海养殖取得突破性进展,推动海洋资源优势变为区域产业优势。广东海洋高技术创新不断取得实质性突破,已建成多个海洋高端产业集聚、海洋科技创新引领、粤港澳大湾区海洋经济合作千亿级以上海洋产业集群,逐步推动海工装备精细化、集群化发展,加快海洋产业向高级化演进。值得注意的是,以上省份的陆海经济复合系统适应性发展水平均相对较高,但适应性增长态势有所放缓。主要原因可能是,一方面加快转变海洋经济发展方式、推动海洋经济结构转型升级等宏观经济举措红利尚未显现,另一方面生态环境的负面效应日益显著,成为阻碍其陆海经济适应性发展的主要阻力。

4 陆海经济复合系统适应性循环演化驱动机制分析

4.1 影响因素探测结果

探究陆海经济复合系统适应性空间分异的驱动机制对推动中国沿海地区经济高质量发展具有重要的现实意义。基于ArcGIS的自然断点法,以2007—2021年陆海经济复合系统适应性指数均值作为因变量,以其对应的15个指标的均值作为自变量,将各指标值(即因子值)聚类为5类,采用地理探测器中的因子探测与交互探测进行驱动机制分析。
①因子探测中,影响因子的q值越大说明该因子对陆海经济复合系统适应性循环空间分异的影响程度越高。各因子的q值由大到小依次为劳动力潜力(0.91703)、政府调控韧性(0.86176)、环境潜力(0.81678)、设施支撑韧性(0.76749)、生态韧性(0.75648)、创新关联度(0.62926)、产业关联度(0.61338)、效率韧性(0.56593)、产业潜力(0.55017)、资金潜力(0.47077)、资源潜力(0.45425)、创新韧性(0.42887)、规模韧性(0.27910)、交通关联度(0.12876)、对外关联度(0.10707),其中共有9个因子的q值在0.5以上且通过了至少10%水平的显著性检验。
②交互探测结果显示,任意两个因子相结合所体现的驱动力均大于单因子的驱动力,表明陆海经济复合系统适应性循环演化空间分异的动力并不仅仅来源于单个因子,而是多因子交互作用的结果(图5)。其中,劳动力潜力、政府调控韧性、环境潜力、设施支撑韧性、生态韧性、创新关联度、产业关联度、效率韧性、产业潜力与其他因子的交互作用q值均在0.65以上,表明这9种因素通过与其他因素的交互作用成为陆海经济复合系统适应性循环空间演化的主要驱动因素。
图5 陆海经济复合系统适应性循环演化影响因素的交互探测结果

Fig.5 Interactive detection of factors influencing the adaptive cyclic evolution of land-sea economic composite system

4.2 驱动机制分析

在适应性循环理论和陆海经济复合系统分析框架基础上,根据地理探测器影响因素探测结果,对中国陆海经济复合系统适应性循环演化的驱动机制进行归纳总结(图6)。9种主要影响因素通过空间联动机制、生态导向机制、政府调控机制和内核提升机制引致沿海地区陆海经济复合系统适应性呈现差异化演进。具体分析如下:
图6 陆海经济复合系统适应性演化驱动机制分析

Fig.6 Driving mechanisms of adaptive evolution of land-sea economic composite system

①空间联动机制是影响陆海经济复合系统适应性演化的本底基础。由影响因素测度可知,创新关联度对系统适应性演化过程的作用程度较大。空间基础影响系统潜力发挥与韧性功能的互馈效率,至2020年底,超70%的“科创板”上市企业在北京、上海、江苏、广东、浙江5个省份集聚,邻近区域间的空间关联推动潜力要素流动转化,增强创新溢出效应,加强区域经济多元化应对风险的能力。
②生态导向机制是影响陆海经济复合系统适应性演化的动力指引。沿海地区地理位置的特殊性使得陆海双重环境问题尤为突出,如围填海、港口建设、海堤路桥工程、沙矿开采、排污倾废等沿海经济活动持续,造成滨海土地丧失、生态功能退化、生产能力下降等,进而影响陆海经济复合系统适应性发展。2021年,沿海地区典型海洋生态监测系统中近2/3近岸海域水质呈亚健康状态、劣Ⅳ类水质占比相较于2020年进一步加剧,海洋生态环境污染问题不容乐观。应加大污染监管防控力度、补齐生态短板,进而发挥陆海经济复合系统生态可持续效用价值。
③政府调控机制是影响陆海经济复合系统适应性演化的重要支持。政府职能履行在区域高质量、现代化进程中作用显著,陆海经济复合系统适应性演化影响因素探测结果表明政府调控韧性的驱动作用较强。近年来,随着海洋主体地位的上升,海洋政策逐渐成为中国沿海地区政府调控、施政的重点内容。政府积极引导陆海经济协同发展,将政府的“有形之手”与市场、企业的“无形之手”相结合,充分发挥政府激发沿海地区民间活力、建设经济社会发展薄弱环节、改革完善投融资体制与企业科技创新主体的作用,实现系统内部经济要素的多元有效配置。
④内核提升机制是影响陆海经济复合系统适应性演化的主要核心。劳动力潜力在陆海经济复合系统适应性演化中具有较强的解释力,劳动力集聚于沿海地区源于其经济优势的吸引力,与此同时,劳动力“质”与“量”双向提升反馈于复合系统适应性,增强面对扰动的协调应对能力。在劳动力资源错配、劳动力结构性失衡的现实状况下,只有实施多样化的产业集聚、优化靶向型劳动力供给体系,才能有效发挥效率优势,提升系统适应性发展的稳定性。

5 结论与讨论

5.1 结论

本文基于适应性循环理论构建包含三维度(潜力、关联度和韧性)与四阶段(开发、维持、释放、重组)的陆海经济复合系统适应性研究框架,并以中国沿海地区11个省份为例,挖掘和分析了2007—2021年中国沿海地区陆海经济复合系统适应性演化的时空特征、阶段特征及驱动因素。主要结论如下:
①结合适应性循环理论,通过计算投影值可将中国陆海经济复合系统适应性整体划分为3个发展阶段:2007—2011年为波动释放期、2012—2015年为快速增长期和2016—2021年为重组发展期。
②中国陆海经济复合系统三维属性空间演化差异性显著:潜力属性空间上呈现山东、广东高水平集聚的分布特征;关联度属性呈现高值区向长三角、珠三角集聚的分布格局;韧性属性呈现以环渤海为低水平集聚区,长三角、珠三角为高水平集聚区的分布特征。
③基于中国陆海经济复合系统适应性循环演化过程及阶段判别方法,发现沿海地区各省份所处适应性循环阶段各异,其中处于重组阶段的省份有4个,主要集中于环渤海地区;处于开发阶段的省份为海南、福建、江苏和上海;处于维持阶段的省份数量相对较少,仅有浙江、山东和广东。
④中国沿海地区陆海经济复合系统适应性循环演化的驱动力源于多因素的交互作用,空间联动机制、生态导向机制、政府调控机制和内核提升机制是陆海经济复合系统适应性演化的主要驱动机制。

5.2 讨论

目前,学界针对适应性理论中“潜力—关联度—韧性”三维属性及“开发—维持—释放—重组”4阶段变化的具体释义及阶段划分尚未达成广泛共识,学者们往往根据所研究系统的具体内涵来理解适应性循环,当遇到无法解释的情况时,会对模型进行改进[34]。本研究结合Sundstrom等的做法[36]来阐述陆海经济复合系统适应性循环,并对其进行拓展与改良。由于适应性理论起源于生态学,多应用于生态风险评估方面,其研究认为重组阶段的生态风险变化趋势是由高到低,而维持阶段的生态风险是由低到高,变化趋势与陆海经济复合系统循环发展一般认识相悖。此外,在陆海经济复合系统适应性的归因与机理解释上,尚未形成统一的评价指标体系与理论分析框架,导致适应性的发生机制尚存在争议,尤其是以先期系统运行状态与区域优势进行趋势外推的思路缺乏充分的实证。
为此,本文在以下方面进行了尝试和拓展:①将适应性循环理论应用到陆海经济复合系统,是对理论本身适用范围的拓宽,为陆海经济系统适应性发展的研究提供新视角。②更加清晰地界定了陆海经济复合系统潜力、关联度、韧性三维属性内涵,及其与适应性循环阶段的对应关系。本文构建由三维属性适应性能力配置的竞合形态来分析系统适应性循环阶段与特征,力求提高系统适应性循环阶段判别的科学性。③结合地理探测器明晰了沿海省份陆海经济复合系统的驱动机制,进一步使研究结果更符合系统发展实际,为突破原有路径锁定困境提供科学借鉴。
[1]
Folke C, Carpenter S, Elmqcist T, et al. Resilience: Now more than ever[J]. Ambio, 2021, 50(10):1774-1777.

[2]
李加林, 田鹏, 李昌达, 等. 基于陆海统筹的陆海经济关系及国土空间利用:现状、问题及发展方向[J]. 自然资源学报, 2022, 37(4):924-941.

DOI

[3]
盖美, 徐玉梅, 斯铁鑫. 陆海统筹视角下中国沿海地区陆海多要素的匹配测度及影响因素[J]. 自然资源学报, 2023, 38(7):1863-1879.

DOI

[4]
孙慧莹, 张坤珵, 余静. 陆海统筹背景下胶州湾陆海系统耦合协调发展评价研究[J]. 海洋通报, 2024, 43(2):275-288.

[5]
阴曙升. 人海系统适应性研究进展与展望[J]. 资源开发与市场, 2022, 38(12):1427-1433,1482.

[6]
唐红祥, 张祥祯, 王立新. 中国海陆经济一体化时空演化及影响机理研究[J]. 中国软科学, 2020(12):130-144.

[7]
应超, 高扬, 汪海峰, 等. 陆海统筹背景下海岸带复合系统协调发展水平及影响机制研究——以温州市为例[J]. 地理科学进展, 2022, 41(10):1899-1912.

DOI

[8]
陈琦, 徐源. 我国海洋渔业社会—生态系统脆弱性影响因素分析——基于ISM模型[J]. 科技与管理, 2019, 21(1):21-26,32.

[9]
陈东景, 孙艳. 海洋生态经济系统适应性管理模式构建与实现路径[J]. 中国海洋大学学报(社会科学版), 2021(1):40-48.

[10]
李博, 史钊源, 田闯, 等. 中国人海经济系统环境适应性演化及预警[J]. 地理科学, 2019, 39(4):533-540.

[11]
Feng C C, Ye G Q, Zeng J N, et al. Sustainably developing global bluecarbon for climate change mitigation and economic benefits through internatinal cooperation[J]. Nature Communications, 2023, 14(1):6144.

[12]
刘佳, 陆菊, 刘宁. 基于DEA-Malmquist模型的中国沿海地区旅游产业效率时空演化、影响因素与形成机理[J]. 资源科学, 2015, 37(12):2381-2393.

[13]
Parry M, Canziani O, Palutikof J, et al. Climate Change 2007:Impacts,Adaptation and Vulnerability. Contribution of Working Group II to the Fourth Assessment Report of the Intergovernmental Panel on Climate Change[M]. Cambridge: Cambridge University Press, 2007.

[14]
李连刚, 张平宇, 谭俊涛, 等. 韧性概念演变与区域经济韧性研究进展[J]. 人文地理, 2019, 34(2):1-7,151.

[15]
Sumaila U R, Walsh M, Hoareau K, et al. Financing a sustainable ocean economy[J]. Nature Communications, 2021, 12(1):3259.

DOI PMID

[16]
Simmie J, Martin R. The economic resilience of regions:Towards an evolutionary approach[J]. Cambridge Journal of Regions,Economy and Society, 2010, 3(1):27-43.

[17]
汪永生, 李宇航, 揭晓蒙, 等. 中国海洋科技—经济—环境系统耦合协调的时空演化[J]. 中国人口·资源与环境, 2020, 30(8):168-176.

[18]
尹紫东. 系统论在海洋经济研究中的应用[J]. 地理与地理信息科学, 2003(3):84-87.

[19]
李睿倩, 徐成磊, 李永富, 等. 国外海岸带韧性研究进展及其对中国的启示[J]. 资源科学, 2022, 44(2):232-246.

DOI

[20]
Ren W H, Ji J Y. How do environmental regulation and technological innovation affect the sustainable development of marine economy:New evidence from China' s Coastal provinces and cities[J]. Marine Policy, 2021,128:104468.

[21]
Holling C S. Understanding the complexity of economic,ecological,and social systems[J]. Ecosystems, 2001, 4(5):390-405.

[22]
吕萍, 李忠富. 我国区域经济发展潜力的时空差异研究[J]. 数量经济技术经济研究, 2010, 27(11):37-51.

[23]
黄晋生. 中国经济增长的动力溯源:人口红利还是教育红利?[J]. 当代经济管理, 2024, 46(6):42-52.

[24]
李健. 数字经济、要素市场化与产业结构转型升级[J]. 统计与信息论坛, 2024, 39(5):31-44.

[25]
王新越, 郭利贞. 中国旅游经济适应性循环演化及影响机理[J]. 地理科学, 2024, 44(2):297-308.

DOI

[26]
孙才志, 曹强, 邹玮. 基于熵效率模型的环渤海地区海洋经济系统韧性研究[J]. 宁波大学学报(理工版), 2020, 33(1):10-18.

[27]
代金辉, 王梦恩. 中国海洋经济绿色发展水平测度及收敛性分析[J]. 统计与信息论坛, 2024, 39(4):79-94.

[28]
常玉苗, 成长春. 江苏海陆产业关联效应及联动发展对策[J]. 地域研究与开发, 2012, 31(4):34-36,46.

[29]
汪永生. 中国海洋经济韧性发展的空间网络结构研究[J]. 地域研究与开发, 2023, 42(3):7-12.

[30]
王泽宇, 王焱熙. 中国海洋经济弹性的时空分异与影响因素分析[J]. 经济地理, 2019, 39(2):139-145,151.

DOI

[31]
盛彦文, 苟倩, 宋金平. 城市群创新联系网络结构与创新效率研究——以京津冀、长三角、珠三角城市群为例[J]. 地理科学, 2020, 40(11):1831-1839.

DOI

[32]
梁发超, 朱润苗, 刘黎明. 基于质量评价的乡村振兴类型识别及优化路径——以福建省为例[J]. 经济地理, 2023, 43(3):172-179.

DOI

[33]
谭燕芝, 海霞, 张文哲. 中部地区县域经济韧性空间分异及其驱动因素[J]. 经济地理, 2023, 43(11):17-24,35.

DOI

[34]
杨庆媛, 张浩哲, 唐强. 基于适应性循环模型的重庆市国土空间生态修复分区[J]. 地理学报, 2022, 77(10):2583-2598.

DOI

[35]
王成, 黄宇航. 乡村生产空间系统适应性循环阶段判别及驱动机制——以重庆市为例[J]. 经济地理, 2022, 42(9):155-165.

DOI

[36]
Sundstrom S M, Allen C R. The adaptive cycle:More than a metaphor[J]. Ecological Complexity, 2019,39:100767.

[37]
杨和平, 李红波, 向道艳, 等. 长江中游城市群城乡共同富裕水平测度及区域差异[J]. 经济地理, 2024, 44(8):87-96.

DOI

文章导航

/