三农、土地与生态

我国农民工城市融入度测度及区域差异研究——来自CHIP数据的经验分析

  • 郭庆然 , 1 ,
  • 陈政 2 ,
  • 陈晓亮 3 ,
  • 丁翠翠 4
展开
  • 1.河南科技学院 经济与管理学院,中国河南 新乡 453003
  • 2.湖南工学院 计算机与信息科学学院,中国湖南 衡阳 421002
  • 3.湖南工学院 经济与管理学院,中国湖南 衡阳 421002
  • 4.河南大学 经济学院,中国河南 开封 475004

郭庆然(1972—),男,河南西华人,博士,教授,硕士生导师。主要研究方向为数量经济与区域发展。E-mail:

收稿日期: 2018-06-16

  修回日期: 2018-10-31

  网络出版日期: 2025-04-25

基金资助

国家社会科学基金项目(16CJL032)

教育部人文社会科学研究青年项目(17YJC840006)

河南省哲学社会科学规划项目(2016BJJ031)

河南省教育厅人文社会科学研究一般项目(2017-ZZJH-272)

河南科技学院高层次人才科研启动项目(2014007)

Measurement and Regional Difference Analysis of Chinese Migrant Workers' Urban Integration:An Empirical Analysis from CHIP Data

  • GUO Qingran , 1 ,
  • CHEN Zheng 2 ,
  • CHEN Xiaoliang 3 ,
  • DING Cuicui 4
Expand
  • 1. School of Economics&Management,Henan Institute of Science and Technology,Xinxiang 453003,Henan,China
  • 2. School of Computer and Information Science,Hunan Institute of Technology,Hengyang 421002,Hunan,China
  • 3. School of Economics and Management,Hunan Institute of Technology,Hengyang 421002,Hunan,China
  • 4. School of Economics,Henan University,Kaifeng 475004,Henan,China

Received date: 2018-06-16

  Revised date: 2018-10-31

  Online published: 2025-04-25

摘要

基于中国居民收入项目第五轮全国范围调查(CHIP2013)的外来务工人员调查数据,构建综合性的农民工城市融入测度指标,运用熵值法对各指标赋权综合测度城市融入程度,并分别使用OLS和分位数回归方法实证研究农民工城市融入的影响因素,最后运用Oaxaca-Blinder分解方法检验不同区域农民工城市融入是否具有歧视效应。结果表明,总体上我国农民工城市融入程度不高,东部地区要高于中部、西部与东北地区;随着农民工城市融入程度分位点的提高,其影响变量的系数绝大多数都有明显的变化,但波动方向与程度差异较大;不同区域农民工的城市融入差异主要是由发达地区农民工和欠发达地区农民工之间的禀赋差异所引起的,没有证据表明存在歧视效应。

本文引用格式

郭庆然 , 陈政 , 陈晓亮 , 丁翠翠 . 我国农民工城市融入度测度及区域差异研究——来自CHIP数据的经验分析[J]. 经济地理, 2019 , 39(1) : 140 -148 . DOI: 10.15957/j.cnki.jjdl.2019.01.017

Abstract

Based on migrant workers survey data from the fifth round of nationwide survey of the China House Income Projects (CHIP2013), this paper constructs a comprehensive index to measure the migrant workers' urban Integration in china and computes the weight of various indicators using entropy value method. This paper also analyzes the influence factors of migrant workers' urban integration on the basis of the OLS and quantile regression method and tests discrimination effect in different regions by Oaxaca-Blinder decomposition method. The results show that the urban integration degree of migrant workers in China is not high, and the eastern region is higher than the central, western and northeast regions. With the increase of the urban integration degree of the migrant workers, the influence coefficients on the variables change obviously, but it shows the difference in the fluctuation direction and degree of the changes. There is no evidence of discrimination effect because the difference of migrant workers' urban integration is mainly caused by the difference of regional endowment.

随着我国工业化和城镇化的发展以及经济体制改革的逐渐深入,农村大量剩余劳动力转移进城市后,逐渐实现定居并融入城市。国家统计局农民工市民化监测数据显示,我国2016年农民工数量达到28 171万人[1]。农民工是我国产业工人家庭中重要的一员,为中国经济高速增长做出了巨大贡献,一度成为中国经济社会发展活力的重要来源。然而我国城镇化与西方发达国家城镇化的显著差异在于,西方发达国家城镇化是人口从农村迁出与迁入到城市是同时完成的,我国农民工进城打工却无法享受城市居民同等教育、医疗和社保等福利待遇,导致农民工游走于城市与农村的边缘,难以融入城市社会。农民工的城市融入不仅关系到我国城镇化与工业化建设,而且已经成为我国社会经济发展中极不平衡的一面,关系我国和谐社会构建和可持续发展。为此习近平总书记在十九大报告中再次强调要“实施区域协调发展战略,加快农业转移人口市民化”。因此,准确测度农民工城市融入水平并研究其区域差异特征,对于我国加快推进农民工市民化和制定解决我国新常态下发展不平衡不充分问题政策具有重要的意义。
国际上关于社会融入研究大多针对发展中国家迁移到发达国家移民的社会融入状况[2-3]。学者们认为融入国语言的熟练掌握程度与教育水平、高收入和融入居住时间等都能提高国际移民的社会融入程度[4]。国外相关研究为我国农民工城市融入问题提供了理论依据,国内学者研究主要集中在农民工城市融入水平测度与农民工城市融入影响因素研究两个方面。学者们均认可农民工城市融入是一个多维的概念,应该从不同角度全方位进行综合测度,但测量方法与测量指标受到数据获取等原因限制而差异较大。朱力认为城市融入度的经济、社会和心理三个维度具有依次递进关系[5];任远等从自我身份的认同、对城市的态度、与本地人的互动以及感知的社会态度四个维度来测量[6];何军从行为方式、价值观念和归属感三方面测度了江苏省农民工城市融入程度[7];韩俊强则从城市生活满意度、对所在城市的态度和自我意识的转变三个维度来测量[8];张蕾等从经济整合、行为适应和心理认同维度分析了杭州市新生代农民工的城市融入水平[9];刘红斌等将农民工城市融入划分为经济融入、社会融入、文化融入和心理融入四个维度[10];卢海阳等将农民工城市融入划分为经济、社会、文化、心理和身份五个维度[11]。国内学者将影响农民工融入城市的因素归结为宏观制度因素和微观个人层面因素。影响农民工融入城市的宏观制度因素主要有户籍制度、就业制度与社会保障等,影响农民工城市融入微观个人层面因素主要有自身人口学特征、社会交往以及公平感等心理方面[7]
以往学者对农民工城市融入研究取得了一定进展,达成了一定共识,学者们逐渐认同农民工城市融入测度应从单一指标转向多维指标,但具体包括哪些维度并未达成共识,测度指标选择与实际操作存在着较大的分歧[12];多数文献实证研究的样本范围仅仅是某个城市或地区[10-11,13],不仅代表性不足,更难以反映我国东中西部不同经济区域社会经济发展极不平衡这一事实,现有研究较少关注农民工城市融入的区域差异问题,农民工城市融入的异质性并没有得到应有的重视[14]。本文基于中国居民收入项目第五轮全国范围调查的外来务工人员调查数据,构建一个综合性的农民工城市融入测度指标,运用熵值法确定各指标权重进行综合测度,分别使用普通最小二乘法(OLS)和分位数回归方法(Quantile Regression)实证研究农民工城市融入的影响因素,运用Oaxaca-Blinder分解方法检验区域差异特征。

1 农民工城市融入测度

1.1 数据来源

本文研究所用数据来自城乡居民收入分配与生活状况调查(中国家庭收入调查)针对外来务工住户的调查数据。中国家庭收入调查(CHIP)自1989年至今已经进行了五次入户调查,第五轮全国范围调查(CHIP2013)的样本来自国家统计局2013年城乡一体化常规住户调查大样本库,该样本库覆盖了我国大陆全部31个省(直辖市、自治区)的16万户居民。CHIP项目组按照东、中、西分层,根据系统抽样方法抽取得到CHIP 2013样本。样本覆盖了从15个省份126个城市234个县区抽选出的18 948个住户样本和64 777个个体样本,其中包括7 175户城镇住户样本、11 013户农村住户样本和760户外来务工住户样本[15]。本文主要利用外来务工住户样本,筛选出年龄在16周岁以上的1 705个个体样本进行实证研究。

1.2 测度指标体系构建

农民工是我国城乡二元经济结构体制下的一个特殊社会群体,一般是指进城务工“离土又离乡”的农民,具有“农民和工人”的双重使命,他们户籍仍在农村,却长期在城市就业[16]。农民工的城市融入是指农民工在城市获得相对稳定职业和生活收入后,理解和认同城市居民的生活方式、行为模式和价值观念,与城市居民交往并接受他们的价值理念[17]。因而,学者们在构建农民工城市融入测度的多维度指标体系时,包括经济生活、社会文化、心理感受以及身份认同等多个层面。参考已有的研究,本文测度农民工城市融入分别从经济融入、社会文化融入、心理融入与身份融入四个递进维度构建指标体系。农民工背井离乡进入城市工作首先是需要获得相对稳定职业和生活收入,即经济融入是农民工城市融入的基础,涉及收入、消费、储蓄与应对经济风险能力[18];其次是社会文化融入,是农民工文化需要与医疗保障等方面的进一步要求,是农民工在城市谋生、立足的基础,可增强农民工对城市社会的认同感和归属感,反映农民工融入城市生活后能否持久[19];再次是心理融入,是较高层次的融入,反映农民工在心理上和感情上能够主动适应城市生活,是自身融入意愿与融入能力的统一,这一阶段的实现需要很长一段时间;最后是身份融入,是城市融入的最高标准和最终目的,真正反映城市融入程度[20]。这四个维度层次指标的具体测量方法见表1表1中三级指标是分类指标的在CHIP 2013问卷调查中多采用李克特(LIKERT)量表法进行测度,如幸福感与信任度等指标是采用的五级量表法,关于幸福感的回答选项有“非常幸福”、“比较幸福”、“一般”、“不太幸福”和“很不幸福”,关于信任度的回答选项有“很不可信”、“不太可信”、“一般”、“比较可信”和“非常可信”……本文对分类指标测度值进行了整理并简化成取值为“1”或“0”的虚拟变量形式。
表1 农民工城市融入的指标体系及指标权重

Tab.1 The index system and index weight of migrant workers' urban integration

一级指标 二级指标(代码) 三级指标(代码) 赋值(正向化) 指标权重







经济融入(A) 个人年收入(A1) 按实际值取值 0.0480 0.2330
家庭收入(A2) 按实际值取值 0.0472
家庭消费支出(A3) 按实际值取值 0.0472
家庭金融资产(A4) 按实际值取值 0.0454
应对意外经济能力(A5) 有能力为1,否为0 0.0452
社会文化融入(B) 参加高考(B1) 参加为1,否为0 0.0453 0.2350
医疗保险(B2) 有为1,否为0 0.0611
最低生活保障(B3) 有为1,否为0 0.0344
养老保险(B4) 有为1,否为0 0.0525
劳保福利(B5) 有为1,否为0 0.0417
心理融入(C) 信任亲戚朋友(C1) 信任为1,否为0 0.0541 0.2525
信任其他人(C2) 信任为1,否为0 0.0483
幸福感(C3) 幸福为1,其他为0 0.0515
比较对象(C4) 与城市人比较为1,其他为0 0.0421
生活水平(C5) 舒适为1,不舒适为0 0.0565
身份融入(D) 户口性质(D1) 农业户口为0,其他户口为1 0.0435 0.2795
现住地打算居住多久(D2) 5年以上为1,以下为0 0.0744
就业情况(D3) 就业为1,否为0 0.0576
劳动合同(D4) 长期合同为1,短期为0 0.0448
不在本户居住时间(D5) 12-实际值取值的月份 0.0592

注:1.赋值是依据CHIP 2013问卷调查数据合并整理得到的。2.指标权重是根据熵值法赋权原理计算得到的。

1.3 指标权重计算

1.3.1 权重计算方法

本文应用熵值法综合评价原理测度农民工城市融入度测度指标的权重,熵值法是根据指标的变异信息量确定权数,这是该方法与其他客观赋权法的根本的区别[15]
在信息论中,信息熵 H x = - H x = - i = 1 n p ( x i ) l n p ( x i )是系统无序程度的度量,信息是系统有序程度的度量,二者绝对值相等,符号相反。熵值法的原理是对于某项指标 x j,指标值 x i j的差异越大,则该指标所起的作用越大,就应赋予较大权重。某项指标的指标值变异程度越大,信息熵越小,该指标提供的信息量越大,该指标的权重也应越大;反之则反。所以,可以根据各项指标值的变异程度,利用信息熵这个工具,计算出各指标的权重,为多指标综合评价提供依据。本文运用熵值法方法计算得到的测度指标权数计算农民工城市融入程度的值为:
I n t e g r a t i o n i = j = 1 n w j p i j
式中: I n t e g r a t i o ni表示农民工的城市融入程度;wj是测度指标的权重; p i j为农民工在某一评价指标上的具体得分值。

1.3.2 测度结果

根据熵值法的基本原理和确定权重的步骤,得到各个指标的相应权重向量,以及二级指标综合权重(表1)。农民工城市融入测度的四个二级指标权重均在0.23~0.28之间,权重分布较为均匀,其中身份融入占据最重要位置,权重最大为0.2795,心理融入的重要性次之,权重为0.2525,社会文化融入与经济融入再次之,权重分别为0.2350和0.2330。从三级指标权重来看,决定农民工城市融入的20个具体指标中,在“现住地打算居住多久”(D2)处在最重要位置,权重为0.0744,其次为“医疗保险”(B2),权重为0.0611。“最低生活保障”(B3)与“劳保福利”(B5)的权重最低,分别为0.0344和0.0417。
根据熵值法计算得到各指标权重后,使用加权法计算得到我国农民工城市融入指数,最后运用功效系数法将指数值归为0~100之间,指数分布值见表2。从指数值上来看,总体上我国农民工城市融入程度不高,东部地区农民工的城市融入程度平均己经接近达到“半”市民化水平[21];经济较发达的东部地区均值与标准差均高于中部、西部和东北地区,表现出明显的区域差异特征[22]。东部比中西部的农民工城市融入度要高些,可能的原因是东部发达地区工资高、就业机会多、基础设施完善吸引力大、市民心态更开放、政府相对更开放和有效率[23]
表2 农民工城市融入测度结果

Tab.2 The measuring results of migrant workers' urban integration

区域 样本 均值 标准差 最小值 最大值
全部 1705 42.9663 15.5775 0.0000 100.0000
东部 564 46.5113 17.2456 0.0000 99.1794
中部 731 42.8137 14.2463 7.7342 100.0000
西部 270 38.3278 14.6437 9.3532 82.7359
东北 140 38.4273 13.2505 0.2508 71.4532
中部、西部、东北 1 141 41.2140 14.3715 0.2508 100.0000

2 农民工城市融入影响因素分析

2.1 变量选择与模型

本文研究的因变量为农民工城市融入程度,即运用上文中熵值法计算得到的农民工城市融入程度值。自变量分别选取农民工人口学特征(年龄、教育程度、民族、兄弟姐妹个数、婚姻、户口等)、经济生活(就业、收入、消费、存款等)、社会保障(合同、医保、最低生活保障、社保、劳保福利等)、心理感受(信任、幸福感、生活舒适度等)以及老家特征(自住房、到城市距离、小孩学校距离等)方面的变量[24],见表3。由于篇幅所限,本文实证分析结果仅保留了统计检验显著的变量。
表3 我国农民工城市融入程度的OLS回归结果

Tab.3 OLS regression results of Chinese migrant workers' urban integration

农民工城市融入指数 模型1 模型2 模型3 模型4 模型5
系数 标准误 系数 标准误 系数 标准误 系数 标准误 系数 标准误
年龄 -0.10* 0.05 -0.27*** 0.09 0.06 0.09 0.19 0.14 -0.31** 0.15
年龄平方 0.00** 0.00 0.00*** 0.00 0.00 0.00 0.00 0.00 0.00** 0.00
户口登记地 -0.65*** 0.16 -0.30 0.33 -0.95*** 0.30 0.65 0.41 -1.16** 0.47
老家是否有自住房 -0.52** 0.21 -0.20 0.44 -0.80** 0.32 0.01 0.57 0.19 0.39
兄弟姐妹个数 0.11** 0.05 0.08 0.09 0.13 0.10 0.05 0.12 0.01 0.16
是否单身 0.67*** 0.24 1.02** 0.44 0.82** 0.39 0.48 0.52 -0.43 0.75
家庭收入对数 5.30*** 0.20 6.34*** 0.38 5.07*** 0.30 5.87*** 0.63 5.32*** 0.79
家庭消费支出对数 3.99*** 0.19 3.62*** 0.28 4.04*** 0.31 3.10*** 0.52 3.97*** 0.68
家庭存款余额对数 1.38*** 0.07 1.54*** 0.13 1.42*** 0.11 1.20*** 0.18 0.76*** 0.18
个人年收入对数 2.82*** 0.15 3.35*** 0.29 2.79*** 0.24 2.26*** 0.31 1.70*** 0.43
应对意外经济能力 7.66*** 0.27 7.06*** 0.38 8.22*** 0.50 6.86*** 0.60 6.07*** 1.23
是否参加高考 7.08*** 0.26 7.60*** 0.41 6.77*** 0.38 7.41*** 0.70 5.20*** 1.02
是否有医疗保险 9.25*** 0.27 9.45*** 0.42 8.93*** 0.61 9.39*** 0.78 10.08*** 0.63
是否有最低生活保障 16.72*** 0.80 16.93*** 0.74 19.05*** 2.64 16.37*** 1.05
是否有养老保险 5.65*** 0.19 5.84*** 0.36 5.19*** 0.29 6.08*** 0.37 4.42*** 0.75
是否有劳保福利 8.44*** 0.25 8.88*** 0.35 7.23*** 0.62 9.49*** 0.81 9.17*** 0.77
是否信任亲戚朋友 5.74*** 0.17 5.39*** 0.31 5.50*** 0.28 7.00*** 0.34 6.89*** 0.62
是否信任其他人 5.16*** 0.18 5.31*** 0.32 4.86*** 0.28 5.70*** 0.56 5.64*** 0.60
幸福感 5.09*** 0.17 4.81*** 0.32 5.20*** 0.25 5.28*** 0.42 4.30*** 0.61
与谁比较 8.26*** 0.27 7.75*** 0.57 8.36*** 0.40 7.64*** 0.88 8.47*** 0.63
生活舒适程度 6.76*** 0.18 6.93*** 0.35 7.32*** 0.26 6.09*** 0.42 6.97*** 0.57
是否为城市户口 7.85*** 0.30 7.81*** 0.49 7.80*** 0.56 6.78*** 0.62 8.63*** 0.85
现住地打算居住多久 16.82*** 0.21 16.66*** 0.40 17.13*** 0.40 17.76*** 0.46
是否就业 5.76*** 0.52 5.24*** 1.07 5.80*** 0.67 5.72*** 0.97 8.42*** 0.68
是否有长期合同 6.48*** 0.22 5.57*** 0.33 7.37*** 0.36 5.70*** 0.55 6.26*** 0.46
一年在现住地住多久 0.77*** 0.02 0.84*** 0.04 0.67*** 0.04 0.87*** 0.04 0.80*** 0.07
常数 -154.74*** 3.02 -166.53*** 5.19 -154.41*** 4.94 -152.07*** 6.93 -120.25*** 11.13
样本 1 211 426 480 213 92
R2 0.971 0.976 0.969 0.978 0.985

注:“*”、“**”和“***”分别表示1%、5%和10%的水平上显著。

本文基于农民工城市融入测度及其影响因素变量数据,建立如下模型:
I n t e g r a t i o n i = c + β X i + ε i
式中: I n t e g r a t i o ni表示农民工的城市融入程度,通过熵值法计算得到;方程右边的解释变量 X i是影响农民工城市融入的各种影响因素;常数项 c和回归系数 β是待估参数; ε i是随机误差项。为了消除数据异方差性,本文将收入、消费与人民币金融资产变量取对数处理。本文首先使用OLS方法估计参数,但OLS估计的参数仅能考察各因素对农民工城市融入的条件期望 E I n t e g r a t i o n | X的影响,反映的是影响因素在平均水平上对农民工城市融入的影响。条件期望的假设前提是估计参数在整个样本区间内是相同的,并且误差项的分布特征也要求相同,因此如果条件分布 I n t e g r a t i o n | X不是对称分布,则条件期望很难反映整个条件分布的全部特征。分位数回归(Quantile Regression)是由Koenker和Bassett最早提出的,利用估计条件分布 I n t e g r a t i o n | X的重要的条件分位数(Conditional quantiles)对其有更全面的认识,是对OLS等均值回归的很好补充[25]。此外,分位数回归使用残差绝对值的加权平均作为最小化的目标函数,不易受极端值影响,因此分位数回归比OLS回归有更好的稳健性。当分位点从0增加到1时,分位数回归便能够提供X所决定的Integration(农民工融入度)的全部条件分布,所以分位数回归方法对条件分布的刻画更细致,计量结果也更全面,可以更加深入地考察农民工城市融入的影响因素[26]。本文首先使用OLS回归方法分析农民工城市融入的影响因素,然后使用分位数回归方法考察各影响因素对农民工城市融入度不同分位数的影响。

2.2 实证分析

2.2.1 OLS回归结果

从农民工城市融入测度结果来看,东部地区农民工的城市融入程度平均值高于中部地区,中部地区要高于西部地区和东北地区,西部地区与东北地区平均值差距不大。因此本文在研究农民工城市融入影响因素时分别就全体样本与各区域分地区样本进行回归,以反映不同地区农民工城市融入程度影响因素的差异。表3中,模型1~模型5分别是全国样本、东部地区样本、中部地区样本、西部地区样本与东北地区样本。
模型1中我国各地区全样本OLS回归结果表明,对农民工城市融入度有显著影响的变量有年龄、年龄平方、户口登记地、老家是否有自住房、兄弟姐妹个数、是否单身、家庭收入对数、家庭消费支出对数、家庭存款余额对数、个人年收入对数、应对意外经济能力、是否参加高考、是否有医疗保险、是否有最低生活保障、是否有养老保险、是否有劳保福利、是否信任亲戚朋友、是否信任其他人、幸福感、与谁比较、生活舒适程度、是否为城市户口、现住地打算居住多久、是否就业、是否有长期合同和一年在现住地住多久[27];而在模型2东部地区样本OLS回归结果中,户口登记地、老家是否有自住房与兄弟姐妹个数3个变量影响不显著;在模型3中部地区样本OLS回归结果中,年龄、年龄平方项与兄弟姐妹个数3个变量影响不显著;在模型4西部地区样本OLS回归结果中,年龄、年龄平方项、户口登记地、老家是否有自住房、兄弟姐妹个数与是否单身变量均不显著;在模型5东北地区样本OLS回归结果中,老家是否有自住房、兄弟姐妹个数、是否单身、是否有最低生活保障与在现住地打算居住多久变量不显著。

2.2.2 分位数回归结果

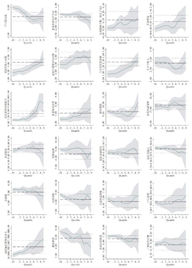
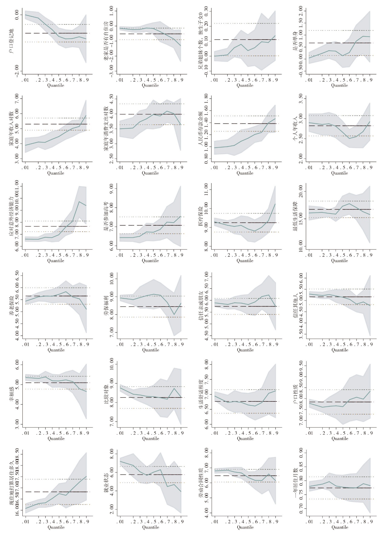
采用bootstrap方法对我国农民工城市融入程度进行分位数回归,同时为进一步解释自变量对农民工城市融入程度影响的完整情况,图1列出了除年龄外所有自变量在全部农民工城市融入程度分位上边际贡献的变化情况。从图1可以看出,从低分位到高分位,影响农民工城市融入程度变量的系数绝大多数都有明显的变化,但变化方向与波动程度差异较大。随着农民工城市融入程度分位点的提高,对其城市融入程度的影响没有明显趋势特征的只有“一年在现住地住多久”这一个变量,其分位数回归结果与OLS回归结果相类似。“个人年收入对数”、“是否有医疗保险”与“生活舒适程度”变量对农民工城市融入程度的影响呈现“U型”变化特征,即当其城市融入程度在低分位点向高分位点移动时,这些变量的提高反而会降低农民工城市融入程度;而当农民工城市融入程度高于某个中间分位点后,这些变量的提高会进一步提升第农民工的城市融入程度,如“是否有医疗保险”从第60个分位点开始出现拐点。家庭消费支出对数、是否有最低生活保障、是否有养老保险、是否有劳保福利与是否信任亲戚朋友这5个变量对农民工城市融入程度的影响呈现“倒U型”变化特征,即当其城市融入程度在低分位点向高分位点移动时,这些变量的提高先是提高农民工城市融入程度;而当农民工城市融入程度位于某个中间分位点后,这些变量的提高反而会降低农民工的城市融入程度。随着农民工城市融入程度分位点的提高,“兄弟姐妹个数”、“是否单身”、“是否为城市户口”与“现住地打算居住多久”四个变量对其城市融入程度的影响基本呈现上升的趋势,即当农民工城市融入程度在低分位点向高分位点移动时,这些变量的提高会逐渐提高农民工城市融入程度。其余变量都是总体下降的,即当农民工城市融入程度在低分位点向高分位点移动时,这些变量的提高反而会逐渐降低农民工城市融入程度。
图1 农民工城市融入分位回归系数变化情况

注:图中横轴是分位点,实线是各个解释变量的分位回归估计结果,粗虚线表示解释变量的OLS估计值。

Fig.1 Variation of quantile regression coefficient of migrant workers' urban integration

3 农民工城市融入的区域差异与检验

3.1 Oaxaca-Blinder分解方法

从分区域农民工城市融入测度结果可知,由于我国各区域经济发展不平衡,农民工城市融入也存在一定差异,为进一步分析各区域城市融入程度的差异及其影响因素,本文运用Blinder和Oaxaca的分解架构,对不同区域农民工之间的城市融入程度差异进行分解。由于我国区域发展存在显著的东部沿海城市较发达,而中西部与东北地区仍处于欠发达位置,而且从我国农民工城市融入程度综合测度结果来看,东部地区的农民工城市融入要显著高于其他地区,因此本文将全国分为两大区域,一是东部发达地区,其余为中西部与东北欠发达地区。
Oaxaca-Blinder分解方法是基于Becker雇主歧视模型推导出来的,后来众多学者进一步对这一方法进行了修正[28]。根据Oaxaca和Ransom研究方法,对数形式表示的农民工城市融入程度差异可分解为:
      l n G 12 + 1 = X - 1 β ^ 1 - β * + X - 2 β * - β ^ 2 + X - 1 - X - 2 β *
式中: G 12为两个不同区域农民工城市融入程度的总差异; X -为以向量形式表示的解释变量的均值; β为估计系数向量; β *为表示估计的非歧视的结构,也被成为权重。由歧视部分造成的差异又进一步可以分解为偏向发达地区的部分和歧视欠发达地区的两部分,公式中右边部分的第一项即为市场偏向发达地区的部分,第二项为市场歧视欠发达地区的部分,这两项合称为未被解释的部分,可以看作是市场歧视造成的,也称作系数差异;第三项为个体生产率特征解释的部分,为可以解释的差异部分(禀赋差异),即发达地区农民工和欠发达地区农民工之间的禀赋差异对城市融入程度差异的影响。

3.2 Oaxaca-Blinder分解结果

表4是在不同区域农民工城市融入程度的回归结果的基础上,运用Oaxaca-Blinder分解对发达地区和欠发达地区农民工之间的城市融入程度差异的分解结果。可以发现,发达地区农民工和欠发达地区农民工的城市融入差异的98.06%可由其在禀赋上的差异得到解释,不可解释部分仅占1.94%,总体来看,不同区域农民工的城市融入差异主要是由发达地区农民工和欠发达地区农民工之间的禀赋差异所引起的。
表4 农民工城市融入程度差异Oaxaca-Blinder区域分解结果

Tab.4 Results of migrant workers' urban integration by Oaxaca-Blinder decomposition

影响因素 禀赋差异值 百分比/% 系数差异值 百分比/%
年龄 0.0421 -0.84 4.4740 -89.38
户口登记地 -0.1807 3.61 -0.1465 2.93
老家是否有自住房 0.0381 -0.76 -0.3225 6.44
兄弟姐妹个数 0.0012 -0.02 0.1573 -3.14
是否单身 -0.0233 0.47 0.0945 1.89
家庭收入对数 -0.7415 14.81 -16.0229 320.10
家庭消费支出对数 -0.4032 8.06 3.8373 -76.66
家庭存款余额对数 -0.1803 3.60 -2.1614 43.18
个人年收入对数 -0.5032 10.05 -8.2732 165.28
应对意外经济能力 -0.5642 11.27 0.1631 -3.26
是否参加高考 -0.1455 2.91 -0.1219 2.44
是否有医疗保险 0.8553 -17.09 -0.4048 8.09
是否有最低生活保障 -0.2075 4.15 0.0013 -0.03
是否有养老保险 -0.1593 3.18 -0.2861 5.72
是否有劳保福利 -0.8971 17.92 -0.0759 1.52
是否信任亲戚朋友 -0.3383 6.76 0.3875 -7.74
是否信任其他人 0.0023 -0.05 -0.0762 1.52
幸福感 -0.4829 9.65 0.2766 -5.53
与谁比较 0.2696 -5.39 0.0244 -0.49
生活舒适程度 -0.2939 5.87 -0.1866 3.73
是否为城市户口 -0.1839 3.67 -0.0059 0.12
现住地打算居住多久 0.6231 -12.45 0.2767 -5.53
是否就业 -0.1329 2.65 0.7024 -14.03
是否有长期合同 -0.6421 12.83 0.2922 -5.84
一年在现住地住多久 -0.6603 13.19 -0.9729 19.44
合计 -4.9085 98.06 -0.0971 1.94

注:*以混合回归系数作为基准,且混合回归方程中不加入区域变量作为控制变量;年龄概括了年龄与年龄平方项。

从解释变量中的影响因素来看,在禀赋差异中,最重要的是“是否有劳保福利”导致的不同区域农民工之间的城市融入程度差距,其可以解释不同区域城市融入差异的17.92%,其次是“家庭收入对数”、“一年在现住地住多久”、“是否有长期合同”、“应对意外经济能力”和“个人年收入对数”变量,这些都是增加不同区域城市融入程度差距的重要因素,而“是否有医疗保险”、“现住地打算居住多久”和“与谁比较”则有助于减少两者之间的城市融入程度差距,其他因素影响较小。在系数差异中,“家庭收入对数”、“个人年收入对数”、“家庭存款余额对数”和“一年在现住地住多久”差异扩大了不同区域农民工之间的城市融入程度差异,这其中“家庭收入对数”的回报率贡献力度最大,而“家庭消费支出对数”和“是否就业”则缩小了不同区域之间的差异。

4 结论与政策建议

4.1 主要结论

第一,总体上来看,我国农民工城市融入程度不高,东部地区农民工的城市融入程度平均己经接近达到“半”市民化水平,高于中部、西部与东北地区。第二,在所有筛选的影响因素变量里,除了年龄项、户口登记地、老家是否有自住房、兄弟姐妹个数以及是否单身变量对全体与对各区域影响有差异外,其他变量对不同区域农民工城市融入影响都是显著的,这些显著变量是对不同区域农民工城市融入影响的核心要素,主要包括家庭收入对数、家庭消费支出对数、家庭存款余额对数、个人年收入对数、应对意外经济能力、是否参加高考、是否有医疗保险、是否有最低生活保障、是否有养老保险、是否有劳保福利、是否信任亲戚朋友、是否信任其他人、幸福感、与谁比较、生活舒适程度、是否为城市户口、现住地打算居住多久、是否就业、是否有长期合同和一年在现住地住多久。第三,从低分位到高分位,影响农民工城市融入程度变量的系数绝大多数都有明显的变化,但变化方向差异较大。第四,基于Oaxaca-Blinder区域分解结果来看,不同区域农民工的城市融入差异主要是由发达地区农民工和欠发达地区农民工之间的禀赋差异所引起的,没有证据表明存在歧视效应。

4.2 政策建议

从实证研究结论来看,促进农民工的城市融入须考虑不同区域农民工在城市融入程度影响因素上的差异,有针对性地制定政策措施,以提升他们的城市融入程度。此外,由于不同区域农民工的城市融入差异主要是由发达地区农民工和欠发达地区农民工之间的禀赋差异所引起的,而人力资本和社会资本是农民工城市融入的重要禀赋,因此,政府部门可以增加和引导对农民工的公共教育和培训支出,从而提高农民工的人力资本,同时构建有利于农民工城市融入的社会资本体系,并创造有利于农民工城市融入的制度环境,政府、企业、社区等相关部门单位应加强合作,不仅要改革户籍制度,还要完善社会保障制度和深化收入分配制度改革[29]

4.2.1 增加和引导对农民工的公共教育和培训支出

科技水平日新月异的同时,城市对农民工技术水平和文化素养要求越来越高,因而农民工自身学习要求对融入城市至关重要。当农民工意识到必须要学习时,政府应增加和引导对农民工的公共教育和培训支出。一方面,政府部门可以帮助农民工提高自身学历教育,城市部门的优质教育资源应允许农民工同等享用[30];另一方面,政府部门需要引导农民工的职业技术培训,部分促进再就业培训项目可针对性地服务员农民工群体。农民工短期务工的特点造成了企业和农民工对其职业培训需求投入较低,进而影响农民工在城市获得长期的劳动合同。此外,网络时代信息资源和教育资源更加容易获得,农民工可利用网络带来的便捷与优势,学习新知识和技术,参加相关职业技能培训,提高自身素养与技术,这也是融入城市生活所必须的再学习能力要求。

4.2.2 完善涵盖农民工主体在内的社会保障制度

在禀赋差异中,“是否有劳保福利”导致的不同区域农民工之间的城市融入程度差距最大,说明农民工在城市中生活并没有得到应有的保障。这不仅关系到农民工自身合法权益是否得到保障,更是我国社会保障制度完善的当务之急。中央和地方各级政府应做好统筹规划与顶层设计,全方位地完善社会保障制度,将农民工这一主体纳入到全社会社会保障体系中。

4.2.3 改革收入分配制度,保障农民工收入水平

绝大多数农民工外出务工是由经济因素驱动,农民工进城能够获得较高的收入,以此改善生活质量和增加自身和子女的人力资本投资。但农民工工资水平整体上要低于城市居民,政府应保障农民工收入水平,完善涵盖农民工群体的最低工资制度,维护农民工应得利益。城市融入能够有最基本保障,才能够解决农民工融入城市的后顾之忧。
[1]
国家统计局. 2016年农民工监测调查报告[EB/OL]. 2017-11-18.

[2]
DAVILA A, MORA M.T. The marital status of recent Mexican immigrants in the United States in 1980 and 1990[J]. International Migration Review, 2001, 35(2):506-524.

[3]
Van de RIJT A. Selection and Influence in the Assimilation Process of Immigrants[J]. Advances in Group Processes, 2013, 30(1):157-193.

[4]
Hamermesh D S, Trejo S J. How do immigrants spend their time? The process of assimilation[J]. Journal of Population Economics, 2013, 26(2):507-530.

[5]
朱力. 论农民工阶层的城市适应[J]. 江海学刊, 2002(6):82-88.

[6]
任远, 乔楠. 城市流动人口社会融合的过程、测量及影响因素[J]. 人口研究, 2010(2):11-20.

[7]
何军. 代际差异视角下农民工城市融入的影响因素分析——基于分位数回归方法[J]. 中国农村经济, 2011(6):15-25.

[8]
韩俊强. 农民工住房与城市融合——来自武汉市的调查[J]. 中国人口科学, 2013(2):118-125.

[9]
张蕾, 王燕. 新生代农民工城市融入水平及类型分析——以杭州市为例[J]. 农业经济问题, 2013(4):23-28.

[10]
刘红斌, 王建浩. 珠三角地区社会资本对农民工城市融入的影响研究[J]. 江西社会科学, 2016(12):200-207.

[11]
卢海阳, 郑逸芳, 钱文荣. 农民工融入城市行为分析——基于1 632个农民工的调查数据[J]. 农业技术经济, 2016(1):26-36.

[12]
秦立建, 陈波. 医疗保险对农民工城市融入的影响分析[J]. 管理世界, 2014(10):91-99.

[13]
何军. 江苏省农民工城市融入程度的代际差异研究[J]. 农业经济问题, 2012(1):52-59.

[14]
胡书芝, 陈成文. 城市融入的区域比较与城市化道路选择——基于广州、长沙、柳州900户乡城移民家庭的模型分析[J]. 经济地理, 2014, 34(10):85-89.

[15]
中国收入分配研究院. CHIP数据[EB/OL]. 2017-11-10.

[16]
顾梦蛟, 程名望, 史清华. 农民工城镇就业满意度及其影响因素的实证分析——以上海1 446份农民工调查样本为例[J]. 上海经济研究, 2013(12):63-71.

[17]
王欣, 孔荣. 农民工和农民、城镇居民的收入质量与横向公平比较——基于农民工自我感知调研[J]. 软科学, 2014(1):110-114

[18]
肖璐, 徐益斌. 城市视角下农民工落户行为的决策要素——基于不同类型城市的比较研究[J]. 中国软科学, 2017(8):65-73.

[19]
石智雷. 城乡预期、长期保障和迁移劳动力的城市融入[J]. 公共管理学报, 2013(2):75-84,140.

[20]
许经勇, 黄焕文. 中国特色城镇化、农民工与劳动密集型产业[J]. 财经问题研究, 2005(12):70-74.

[21]
戚伟, 刘盛和, 赵美风. 中国城市流动人口及市民化压力分布格局研究[J]. 经济地理, 2016, 36(5):55-62.

[22]
张永丽, 黄祖辉. 新一代流动劳动力的特征及流动趋势——来自甘肃省10个样本村的调查与分析[J]. 中国人口科学, 2008(2):80-87,96.

[23]
曾鹏, 向丽. 中西部地区人口就近城镇化意愿的代际差异研究——城市融入视角[J]. 农业经济问题, 2016(2):91-99.

[24]
秦昕, 张翠莲, 马力, 等. 从农村到城市:农民工的城市融合影响模型[J]. 管理世界, 2011(10):48-57.

[25]
段瑞君. 中国城市规模及其影响因素研究——来自284个地级及以上城市的经验证据[J]. 财经研究, 2013(9):82-94.

[26]
罗明忠, 卢颖霞. 农民工的职业认同对其城市融入影响的实证分析[J]. 中国农村观察, 2013(5):10-23,95.

[27]
戚迪明, 江金启, 张广胜. 农民工城市居住选择影响其城市融入吗?——以邻里效应作为中介变量的实证考察[J]. 中南财经政法大学学报, 2016(4):141-148.

[28]
郭继强, 姜俪, 陆利丽. 工资差异分解方法述评[J]. 经济学(季刊), 2011(2):363-414.

[29]
孙婧芳. 城市劳动力市场中户籍歧视的变化:农民工的就业与工资[J]. 经济研究, 2017(8):171-186.

[30]
程名望, 史清华, 张帅. 农民工大量占用城市公共资源了吗——基于上海市1446个调查样本的实证分析[J]. 经济理论与经济管理, 2012(8):20-31.

文章导航

/