旅游经济与管理

黄河流域旅游流网络结构特征研究

  • 吴姗姗 ,
  • 王录仓 , ,
  • 刘海洋
展开
  • 西北师范大学 地理与环境科学学院,中国甘肃 兰州 730070
※王录仓(1967—),男,甘肃天水人,博士,教授,博士生导师。主要研究方向为城市发展与城市规划。E-mail:

吴姗姗(1997—),女,河南临颍人,硕士研究生。主要研究方向为城市发展与城市规划。E-mail:

收稿日期: 2020-02-19

  修回日期: 2020-07-13

  网络出版日期: 2025-04-21

基金资助

国家自然科学基金项目(41261042)

Study on the Structural Characteristics of Tourism Flow Network in the Yellow River Basin

  • WU Shanshan ,
  • WANG Lucang , ,
  • LIU Haiyang
Expand
  • College of Geography and Environmental Science,Northwest Normal University,Lanzhou 730070,Gansu,China

Received date: 2020-02-19

  Revised date: 2020-07-13

  Online published: 2025-04-21

摘要

文章以黄河流域68个地级市(州、盟)为研究区域,运用社会网络分析法对旅游流(总量、汽车、火车、飞机)网络结构特征及其分异机制进行了分析。结果表明:①各节点城市的中心性在三种中心度下表现出明显差异,省会城市和典型旅游城市的中心性明显高于一般城市;除飞机路径网络外,其余网络中各节点城市的中心性相对一致。②旅游流网络整体呈“大松散、小聚簇”结构特征,形成以省会城市为核心的旅游流子网,中下游地区子网众多,上游地区的子网相对稀疏,省际接壤区几乎没有成形的子网;核心—边缘特征明显,核心区对边缘区的“涓滴效应”有限。③网络结构洞水平在四种网络中差异显著,西安、郑州等核心城市表现出强大的桥梁纽带作用。④旅游流流量分配的不均衡性、流向的非对称性及其不同网络的连通性差异共同塑造了网络结构。

本文引用格式

吴姗姗 , 王录仓 , 刘海洋 . 黄河流域旅游流网络结构特征研究[J]. 经济地理, 2020 , 40(10) : 202 -212 . DOI: 10.15957/j.cnki.jjdl.2020.10.024

Abstract

In this paper, 68 prefecture-level cities (states and leagues) in the Yellow River Basin are taken as research areas, and the social network analysis method is used to analyze the network structure characteristics and differentiation mechanisms of tourism flows (gross path, car path, train path and airplane path). The results show that 1) the centrality of each node city shows obvious difference under three centrality degrees.The centrality of provincial capitals and typical tourism urban are higher than ordinary cities.In addition to the airplane path network, the centrality of each node city in the other networks is relatively consistent. 2) The overall network structure is characterized by "large loose and small clusters ", forming sub-networks with provincial capitals as its core.There are many sub-networks in the middle and lower basin, the sub-networks in the upper basin are relatively sparse, and there are almost no formed sub-networks in the inter-provincial border areas.The network feature of four paths clearly match the core-edge model,but the "trickle effect" is limited. 3) The level of structural holes of each node city shows significant difference among the four networks. Core cities which show strong bridge links are Xi'an, Zhengzhou,et al. 4) The network structure is shaped by the uneven distribution of tourism flow, the asymmetry of flow direction and the connectivity difference of different networks.

黄河流域是中华文明的主要发祥地,在悠远的历史发展长河中,不仅孕育了丰富多彩的自然景观,而且形成了辉煌灿烂的文化和浓郁的民族风情,它们相互映衬,使黄河流域历来就成为中国最主要的旅游目的地。在中国旅游区划中[1],黄河流域九省(区)分别属于丝路寻踪民族风情旅游区、华夏文明仿古旅游区、西南奇山秀水民族风情旅游区和世界屋脊猎奇探险旅游区,旅游特色鲜明突出。“黄河流域生态保护和高质量发展”已成为国家战略,习近平总书记强调:要保护、传承、弘扬黄河文化,推动文化和旅游融合发展。中国旅游研究院院长戴斌表示,“我们需要以生态的名义保护黄河,以文化的名义传承黄河,以旅游的名义弘扬黄河”,弘扬文化需要主体参与,这里的主体即为游客。国家战略的实施,不仅对发展流域文化和旅游业有着深远的影响,而且对创造新的经济增长点、增强旅游经济实力具有举足轻重的战略意义。
旅游流是旅游活动和旅游业发展的基础,它是连接客源地—旅游目的地的神经中枢或纽带。对于旅游流方面的研究,国外的研究相对较早,近年来主要集中在旅游流空间模式[2-3]、旅游流时空间演化[4-5]、影响因素[6-7]、旅游需求[8-9]等方面,注重借助多源数据分析旅游的个体属性特征。而旅游流从个体到整体具有多样的属性,其观察维度涉及流质、流势、流量、流向等方面[10],属性叠加会使问题复杂化,如流量、流向叠加会形成复杂网络结构。针对旅游流网络结构的研究兴起于近些年,主要从旅游流特征出发对旅游流网络及动力机制进行分析[11-13]。研究区域涉及省(区)[14-16]、城市(群)[17-22]、景点(区)[23]等尺度,对网络结构的分析多以旅游流总量数据为主,而对具体的旅游通道(即不同交通方式)网络却较少涉及。针对黄河流域的旅游研究,研究区域涉及整个流域[24-30]、流域片段[31-36]、省(市)[37-41]、景点(区)[42-43],研究内容涉及旅游质性特征、旅游经济、旅游资源、旅游形象、旅游合作等方面,学者们通过区域科学、旅游科学及数学等不同的方法,对黄河流域旅游进行了相关研究并提出了相应对策。总体来看,针对该流域的旅游研究尚少,尤其是整个流域的旅游流网络结构特征及其路径分异研究更是存在缺口。
因此本文站在黄河流域的高度,采用腾讯迁徙大数据,对黄河流域旅游流总量及其不同交通方式(汽车、火车、飞机)下形成的网络结构特征及其分异机制进行系统研究,以期反映流域内各城市在旅游流网络中的地位及作用,从流量、流向及其连通性三方面分析网络分异机制,进而为黄河流域旅游业发展提供对策建议。

1 研究区域、数据来源及研究方法

1.1 研究区域

本文通盘考虑了黄河流经的青海、四川、甘肃、宁夏、陕西、内蒙古、山西、河南、山东9省(区)的自然、人文旅游资源丰度、空间组织,及其对流域旅游发展的贡献,最终选取九省(区)中旅游关联性较强的68个地级市(州、盟)作为研究区域。其中拥有“三江源”美誉的青海省,广阔壮丽,多元民族风情散发着独特的魅力;川西北自然风光秀丽,民族风情独特;古丝绸之路上的甘肃,承载着悠久的历史;宁夏神秘的西夏文明,雄浑的大漠风光,有“塞上江南”之称,是影视综艺取景的热门地区;借助短视频网络平台成为网红旅游打卡地的陕西,历史厚重,文化灿烂辉煌;内蒙古辽阔的草原、热情豪放的民族;山西壮丽的太行山水、晋商文化;河南的四大古都、寻根觅祖和闻名于世的少林寺;山东的齐鲁文化和五岳之尊,赋予了黄河流域多样的文化及美景。该区域上、中、下游横贯中国西北、西南和华北地区,无论是自然条件、经济社会发育水平,还是交通区位均存在着较大的差异和差距。从空间和经济关联的角度,检视全流域的旅游网络结构特征和分异机制,对打破区域分离和壁垒,整合区域旅游要素与设施、重构区域联系与协作,共同推动旅游健康持续发展具有重大的现实意义。

1.2 数据来源

旅游流网络研究要求强大的“关系数据”来支撑,因此本文选择连接客源地(O)—目的地(D)的腾讯人口迁徙大数据作为数据源。该数据是在大数据时代背景下依托“位置服务技术”发展起来的,能够精确地反映O-D间人口流动的流量、流向及路径依赖,且具有实时动态性、多向性和连续性。在该数据的实际使用过程,关键的问题是如何剔除非旅游流数据、识别出真正的旅游流数据。在对全年数据进行深刻挖掘和梳理后发现,腾讯人口迁徙大数据在节假日期间(尤其是“五一”“十一”黄金周期间)会出现暴增现象,而节假日后又恢复正常,如果再与中国特定的“黄金周旅游”相联系,就能够判断出“暴增”就是旅游流短期“顶托”的结果。因此本文采用了2018年9月8日—9月16日期间的日常流动数据代表“常态流动数据”(即人口日常出行数据),9月29日—10月7日期间(即“十一”黄金周)的流动数据代表“黄金周流动数据”(即在日常出行基础上的典型旅游流数据),两个时间段中采用标准对齐方式,均包括周六、周日,特别避开了其他节假日对数据的影响,各个城市均存在流入、流出两个方向的人口流。
在进行数据预处理时,先统计两个时间段内全国各城市的总迁入量和总迁出量以及不同交通方式(飞机、火车、汽车)下的总迁入量和总迁出量,采用P=迁入量-迁出量的方法,分别计算两个时间段内各城市的净流量(P>0时表示净迁入;P<0时表示净迁出)。对数据进行预处理后,再计算各城市的旅游流量,旅游流量=“黄金周”时段净流量-“常态”时段净流量,即P(9.29-10.7净流动人口)-P(9.8-9.16净流动人口)。如果城市间存在着人口迁徙现象,即意味着O-D间有旅游流,在ArcGIS10.2软件中,将具有联系的城市坐标用直线相连,作为旅游流联系的路径,借以刻画旅游流网络的“边”。基础地图源于自然资源部“标准地图服务”(http://bzdt.ch.mnr.gov.cn/)。

1.3 研究方法

1.3.1 社会网络分析法

网络是由一系列“点”“线”组合形成的网状结构,点表示网络中的节点,线表示节点间相互存在的联系,若两点间存在旅游流,则说明与“网络”相对应的关系数据存在。本文通过Ucinet社会网络分析软件对旅游流网络进行特征分析。
①连接度β指数:反映网络中节点的平均连接数目,公式如下:
β = L / P
式中:L表示交通网络中边的数量;P表示网络中点的数量。β值越大,网络连接度越好。
②连接度γ指数:用来反映网络的连通度,是网络中节点间实际连线数量与可能存在的连线数量之比,公式如下:
γ = L / 3 P - 2
式中:L表示交通网络中边的数量;P表示网络中点的数量。γ指数取值范围介于0~1之间,其值越大,网络连通性越好。

1.3.2 GIS空间分析法

GIS具有对纷繁复杂的地理信息进行系列处理、分析和可视化表达的功能,本文运用其刻画旅游流网络。

2 研究结果

2.1 旅游流网络结构特征

2.1.1 网络节点中心性

网络节点的中心性是控制网络结构的关键要素,一般而言,中心性越大,对旅游流的吸引力越强,吸引范围越大,网络等级越高、网络腹地也越广。依托Ucinet软件,分别计算总量及不同路径(汽车、火车、飞机)条件下旅游流网络(简称四种网络,下同)节点的中心性。
①程度中心性。四种网络下,所有节点的平均程度中心度分别为406 363、154 141、250 718、1 438(图1),火车路径>汽车路径>飞机路径,意味着黄河流域旅游流主要依托火车完成出行。除省会城市(西安、郑州、济南、兰州、太原、西宁)拥有较高的中心性外,咸阳、渭南、宝鸡、运城、晋城、洛阳、安阳、焦作等著名的旅游城市,其程度中心性也较高。进一步比较节点城市的入度与出度,发现一些旅游城市(如宝鸡、安阳、焦作等)的入度大于出度,是旅游流高度关注的城市。大部分节点城市的入度、出度在总量、汽车和火车路径网络中保持相对一致,而与飞机路径相去较远,且一般而言,总量条件下中心性越高的城市,这种差距越大,这与黄河流域航空港和铁路线的严重分布不均衡密切相关,航空路径下,网络节点的中心性普遍较低,部分节点甚至为0,在网络中处于孤立状态。这表明,流域内许多节点城市,尤其是位置偏僻、又缺少现代快速交通(如高铁、高速公路和航空)的城市很难获得旅游发展机会。整体来看,程度中心度体现了节点城市与其他城市的联系程度,说明了城市的集散能力,三种交通方式下火车网络集散能力最强,西安、郑州、济南、兰州等入、出度大的城市,作为流域的旅游集散中心,对旅游流空间流动起到了关键作用。
图1 程度中心度

Fig.1 Degree centrality

②接近中心性。四种网络下,所有节点的平均入、出接近中心度分别为45、42、43、2和45、42、43、3,总量路径>火车路径>汽车路径>飞机路径,上游地区一般大于中下游(图2)。接近中心度刻画的是节点间的联系紧密程度,城市间的邻近关系和组织关系决定了接近中心度的大小。流域内除西安和郑州外,其余各节点城市的接近中心度整体相差不大,均处在低水平状态。上游地区的果洛、黄南州、甘南等,中游地区的鄂尔多斯、运城、咸阳等接近中心性较高,说明这些城市易与其他城市发生旅游联系;而下游地区的山东省大部分城市接近中心性较低。这与流域内旅游资源的独特性密切相关,上游地区是典型的少数民族地区,尽管区位条件很差,但独特的“雪域高原”自然景观和浓郁的民族风情还是突破了地理空间的阻隔,类似地,中游地区的内蒙古草原景观同样对旅游流产生了强大的吸引力。而下游地区,尽管城市数量众多,分布密集,但旅游景观的同质性较强,受到流域经济差异的影响,中上游经济发展落后的地区出游力较弱,且受距离影响导致下游的客源市场有限,从而阻断了下游的客源市场,使接近中心性表现不足。对比不同路径条件下的接近中心性,就会发现除飞机路径较低外各节点基本一致,这与黄河流域路网格局、路网密度直接相关。由于流域内航空港有限,承载的旅游流较少,导致飞机路径下的城市接近中心性较低,不利于城市间旅游流流动。但从联系方向上考察,部分城市的内向接近中心性高于外向接近中心性,如果洛、黄南、阿坝、石嘴山、鄂尔多斯、朔州等,说明这些城市因旅游资源丰富更易于旅游流进入,但反过来其出游受阻。因此要想促进边远地区旅游业的发展,必须想方设法突破交通条件的瓶颈约束。
图2 接近中心度

Fig.2 Closeness centrality

③中介中心性。四种网络中,所有节点的平均中介中心度分别为86.04、95.44、92.21、49.03,汽车路径>火车路径>总量路径>飞机路径,且同样中下游地区一般高于上游地区(图3)。各节点城市差距较大,一般而言,综合性交通枢纽城市的中介中心性高于一般城市,尤其是高铁线和国家骨干铁路线贯穿的城市(如郑州、西安)其中介中心性更高,这意味着在旅游网络格局中,这些城市发挥着极为关键的中转和纽带作用。由于上游地区的许多城市缺少航空港,因此与中下游城市相比,其中介中心性要低得多。郑州在汽车路径网络中的中介中心度(1 034.42)最大,成为旅游流的集散中心,另有菏泽、鄂尔多斯等城市;在火车路径网络中郑州的中介中心性最高,这与其铁路铁路枢纽的地位密切相关,西安、菏泽、兰州等也是铁路网中中转能力较强的城市;飞机网络中,果洛的桥梁作用最强,是甘川青接壤区(主要是安多藏区)旅游流中转的枢纽,西安、郑州、菏泽是中下地区游旅流中转的桥梁。在汽车、火车和飞机三种网络下,由于铁路和航空发育普遍不足,因此汽车中转能力较强,发挥着不可替代的桥梁和纽带作用。
图3 中介中心度

Fig.3 Betweenness centrality

2.1.2 网络结构

旅游流网络整体呈“大松散、小聚簇”结构特征。所谓“大松散”指整个网络结构相对松散,这可以通过网络密度看出来,总量、汽车、火车、飞机网络密度依次为0.364、0.349、0.344、0.068,尤其是飞机路径下的网络,映射出黄河流域空运非常落后的现实。相比较而言,由于公路网和铁路网密度较大,导致旅游流进出通道较多,因此网络结构相对紧凑。所谓“小聚簇”指基本以省会城市和重要旅游城市为核心,形成结构相对紧凑、呈放射状分布的子网,中下游地区子网众多、分布较集中,上游地区的子网相对稀疏,省际接壤区几乎没有成形的子网,青海、宁夏、内蒙古也表现出相对孤立状态。全流域以兰州、西安(咸阳)、郑州(洛阳)、太原、济南五大节点为核心形成大流量旅游流网络,最高流量网络围绕西安、郑州都市圈建构,但连接的城市有限、辐射范围狭小,仅限于西安—咸阳—宝鸡—商洛网络,郑州—洛阳—新乡—焦作—安阳网络,且构不成旅游回路,多呈单线联系。次级网络围绕兰州、太原和济南建构,相对而言,济南—泰安—聊城—荷泽—济宁—淄博旅游流网络更完整。但总体来看,主要大流量旅游网络主要局限在省内,说明黄河流域各自为阵、“行政区旅游”的色彩非常显著。由于不同交通方式具有不同的经济距离和时间距离,且均遵循距离衰减规律,因此不同路径条件下的网络结构也不尽相同。总体而言,由于汽车适合短途运输、公路网密度大,因此网络范围更狭小、但网络完整性更强。汽车路径下的旅游流网络集聚特征明显,流动距离较短且多为省内子网,与飞机交通路径下的旅游流子网反差明显;火车路径下的旅游流网络与总量网络最为相似,流量也多于汽车和飞机,可以说明火车是旅游流出行选择最多的交通方式,对时间和距离等的满足度最高。
正是这一宏观结构特征,导致黄河流域旅游流网络表现出典型的核心—边缘结构特征。借助Ucinet软件,对旅游流总量及其不同交通方式下的网络结构进行核心—边缘分析(表1)。从相关系数(总量、汽车、火车和飞机网络分别为0.774、0.674、0.825、0.779)来看,拟合效果较好,说明四种不同状态下的旅游流网络均符合核心—边缘模型。
表1 黄河流域旅游流网络的核心—边缘分析结果及其关联效应矩阵

Tab.1 The core-edge analysis result and correlation effect matrix of tourism flow network in the Yellow River Basin

网络 核心/边缘 城市 核心 边缘
旅游流总量网络 核心 海东、呼和浩特、济南、兰州、聊城、洛阳、太原、泰安、乌兰察布、西安、西宁、咸阳、忻州、新乡、郑州 0.385 0.086
边缘 阿坝州、安康、安阳、巴彦淖尔、白银、包头、宝鸡、滨州、大同、德州、定西、东营、鄂尔多斯、甘南、固原、果洛、海北、海南州、汉中、菏泽、鹤壁、黄南州、济宁、济源、焦作、晋城、晋中、开封、莱芜、临汾、临夏、陇南、吕梁、平凉、濮阳、庆阳、三门峡、商洛、石嘴山、朔州、天水、铜川、渭南、乌海、吴忠、延安、阳泉、银川、榆林、运城、长治、中卫、淄博 0.073 0.282
旅游流汽车网络 核心 安阳、滨州、海东、汉中、呼和浩特、济南、济宁、兰州、平凉、濮阳、太原、泰安、乌兰察布、西安、新乡、延安、榆林、郑州 0.307 0.145
边缘 阿坝州、安康、巴彦淖尔、白银、包头、宝鸡、大同、德州、定西、东营、鄂尔多斯、甘南、固原、果洛、海北、海南州、菏泽、鹤壁、黄南州、济源、焦作、晋城、晋中、开封、莱芜、聊城、临汾、临夏、陇南、洛阳、吕梁、庆阳、三门峡、商洛、石嘴山、朔州、天水、铜川、渭南、乌海、吴忠、西宁、咸阳、忻州、阳泉、银川、运城、长治、中卫、淄博 0.081 0.271
旅游流火车网络 核心 海东、呼和浩特、济南、晋中、兰州、聊城、洛阳、太原、
泰安、乌兰察布、西安、西宁、咸阳、郑州
0.352 0.080
边缘 阿坝州、安康、安阳、巴彦淖尔、白银、包头、宝鸡、滨州、大同、德州、定西、东营、鄂尔多斯、甘南、固原、果洛、海北、海南州、汉中、菏泽、鹤壁、黄南州、济宁、济源、焦作、晋城、开封、莱芜、临汾、临夏、陇南、吕梁、平凉、濮阳、庆阳、三门峡、商洛、石嘴山、朔州、天水、铜川、渭南、乌海、吴忠、忻州、新乡、延安、阳泉、银川、榆林、运城、
长治、中卫、淄博
0.071 0.180
旅游流飞机网络 核心 菏泽、呼和浩特、西安、西宁、新乡、榆林 1.000 0.105
边缘 阿坝州、安康、安阳、巴彦淖尔、白银、包头、宝鸡、滨州、大同、德州、定西、东营、鄂尔多斯、甘南、固原、果洛、海北、海东、海南州、汉中、鹤壁、黄南州、济南、济宁、济源、焦作、晋城、晋中、开封、莱芜、兰州、聊城、临汾、临夏、陇南、洛阳、吕梁、平凉、濮阳、庆阳、三门峡、商洛、石嘴山、朔州、太原、泰安、天水、铜川、渭南、乌海、乌兰察布、吴忠、咸阳、忻州、延安、阳泉、银川、长治、运城、郑州、中卫、淄博 0.092 0.697
从旅游流总量网络的核心—边缘模型中可以看出:①旅游流网络分异现象明显,除银川外,其余省会城市(包括与省会联系紧密的个别城市)构成网络的核心,而剩下的绝大部分处于“边缘”或“附属”地位。②核心区与边缘区的互动较弱,核心—边缘联接的密度仅为0.086,而边缘—核心为0.073,说明核心区对边缘区的带动作用有限,而边缘区向核心区集聚的势能同样不足;相对而言,核心区内部和边缘区内部联系较紧密。
图4 流域内旅游流网络

Fig.4 Network of tourist flows in the basin

进一步比较三种路径下形成的核心—边缘网络结构,还可以发现:①核心区的节点城市受交通方式和线路分布的影响明显,如汽车路径网络中的平凉、濮阳等,火车路径网络中的泰安、海东等,飞机网路径网络中的新乡、榆林等,这些城市深受交通网的地位等因素的影响。但整体上,重要的交通节点城市都处在核心区,如兰州、太原、西安、郑州、济南等。②边缘区向核心区的集聚作用较弱,核心区对边缘区的“涓滴效应”从大到小依次为汽车(0.145)、飞机(0.105)和火车(0.080)网络,飞机网络核心区内部和边缘区内部联系紧密,火车和汽车网络在核心区内部联系相对紧密。

2.1.3 网络结构洞

运用Ucinet软件对四种网络中的节点进行结构洞分析(表略)。Burt认为,个人在网络的“位置”比关系的强弱更重要,“位置”决定了个人的信息、资源与权力[44]。因此,不管关系强弱,如果存在“结构洞”,那么将无直接联系的两个行动者联系起来的“第三者”则拥有信息和控制优势,反过来,“第三者”能够为自己提供更多的服务和回报。因此,个人(或组织)要想在竞争中保持优势,就必须建立广泛的联系,同时占据更多的“结构洞”。在旅游流网络中,若一个城市的效能越大、约束越小,则与其他城市存在的联系越强,区位优势越明显,网络中的核心地位越突出。
总量网络中,西安在网络中以高效能、低约束远超其他城市,除此之外,郑州、兰州、鄂尔多斯、榆林等城市也同样表现出高结构洞水平,具有较高的核心地位,但也易因缺乏替代性旅游城市而出现旅游流瓶颈问题。聊城、鹤壁、乌兰察布、安康、莱芜、滨州、商洛、海东等城市的结构洞水平较低,这些节点城市应加强自身旅游服务和设施建设,并和周边结构洞水平高的城市保持紧密联系。
三种交通路径下的网络节点结构洞与总量网络相比,部分城市的结构洞水平存在明显差异,尤其表现在飞机网络中,如郑州、兰州,大部分城市还存在效能为0的现象,表明仅个别节点城市在飞机网络中的区位优势明显。汽车、火车和飞机网络中节点城市的结构洞水平也存在差异,同一节点城市的三种路径中,某种路径下效能越大且约束性越小,则说明该城市在该种路径的区位优势越明显,与其他城市联系越便利,在网络中处于核心位置,如果洛、黄南州等城市的飞机结构洞水平相比较大,表明飞机为该城市最便利的旅游通道;不同城市的同一路径下,结构洞水平越大,在网络中的区位优势越明显,西安、郑州、兰州等城市交通便利,旅游流流动频繁,在网络中发挥着重要作用,而远离旅游集散中心及其吸引力和出游力较弱的城市其结构洞水平也较低,与其他节点城市的联系较弱,如海东、商洛等。

2.2 旅游流网络分异机制

之所以形成上述的网络结构特征,与众多因素的综合影响密切相关。但无论如何,旅游流网络刻画的是“点”与“线”的空间组织关系,因此“点”的引力大小与“线”的分布状态从本质上决定了网络的结构特征。即旅游流是依托现实的旅游通道实现从客源地到目的地的空间位移,因此客源地和目的地的分异(决定流量的分配和流向)、交通网络的通达性是影响旅游流网络结构的关键性因素。

2.2.1 流量分配的不均衡性

黄河流域内旅游流流量差异显著、空间不平衡性明显。整体上看,中下游旅游流流量多于上游地区,省会城市较省内其他城市的流量多。从省区看,河南、山东、山西、陕西的旅游流流量远远大于其他省(区)。这与经济发展水平、基础设施状况、旅游资源丰度等密切相关,河南、山东、山西处于中东部地带,受中原城市群、山东半岛城市群、晋中城市群的强烈辐射和带动,经济发展水平明显高于流域内其他省(区),且豫、陕、晋、鲁历来就是中国北方地区的旅游大省,不仅旅游资源丰富、品质高、空间组织合理,且区位条件较佳、路网密度大,为旅游流集散提供了非常便利的条件;而西部地区的青海、甘肃、宁夏、川西北位置偏僻,经济落后,远离中国传统的客源地,导致旅游流量相对较小。从节点城市看,西安、郑州、兰州、济南的流量明显高于其他城市,旅游流极化效应明显,除此之外,洛阳、咸阳等一些城市的流量也较多,是流域内的主要旅游城市,同时也是上述分析中的核心城市,部分旅游城市因区位环境和经济条件等因素旅游流流量较少,如甘南、果洛等(图5),成为网络的边缘部分。另外,流量较多的城市与其他城市的旅游流联系比较紧密,其中心性和结构洞水平一般也较高,如西安、郑州、兰州等。
图5 黄河流域旅游流流量空间分布

Fig.5 Spatial distribution of tourism flow in the Yellow River Basin

计算各城市分别在四种不同路径下对应的旅游流流量占比。发现省会城市的流量占比均较高,除飞机路径外,其他三种路径保持较高一致性,这与流域内航空交通落后有很大关系(图6)。相对总量来说,除省会城市外,果洛、咸阳、洛阳、榆林等在飞机路径下的占比较高,三门峡、临汾等在火车路径下占比较高,菏泽、新乡、聊城等在汽车路径下占比较高,这些城市控制了三种路径下的大部分流量,中心性较高。对比上述的核心—边缘和结构洞分析结果,发现在不同状态下占优势的节点城市绝大部分也处于网络的核心位置,导致不同网络下的核心区存在差异,且结构洞水平也呈现出差异,如兰州、太原。
图6 城市旅游流占比

Fig.6 Proportion of urban tourism flow

2.2.2 流向的非对称性

为清晰表达目的地与客源地的差异性,以净流入(出)量Xi为依据,如果Xi为净流入量,当Xi>X+δX为净流入(出)量平均值,δ为净流入(出)量标准差),表明该城市以净流入为主,属于旅游目的地型;如果Xi为净流出量,当Xi>X+δ,表明该城市以净流出为主,属于客源地型;若同时符合上述两种条件,则归类为旅游目的地—客源地兼具型。通过ArcGIS软件按照自然断裂点法将旅游目的地和客源地再细分为4级(图7)。按以上原则划分,西安、郑州、兰州、济南是目的地—客源地兼具型,依靠垄断性、特色鲜明的旅游资源(尤其是人文旅游资源)吸引了大量的旅游流,同时其自身又具有强大的出游力,在流域内处于支配地位;其他城市如西宁、宝鸡、洛阳、焦作等城市的迁入量较多,为典型的目的地型。整体上看,上游地区旅游流吸引力薄弱,中下游吸引力强大,目的地空间分布存在着明显的不均衡性。与目的地对比来看,大部分客源地与目的地在空间上存在不对等性,尤其表现在中下游地区。总体格局表现为省会城市及其周围变化明显,下游地区存在明显的不对称性,从而使旅游流在城市间的流动更加多样化,形成的网络也相对较复杂,迁入量和迁出量较多的城市其中心性也较高,在网络中起主导作用。
图7 目的地与客源地分布

Fig.7 Distribution of destinations and source areas

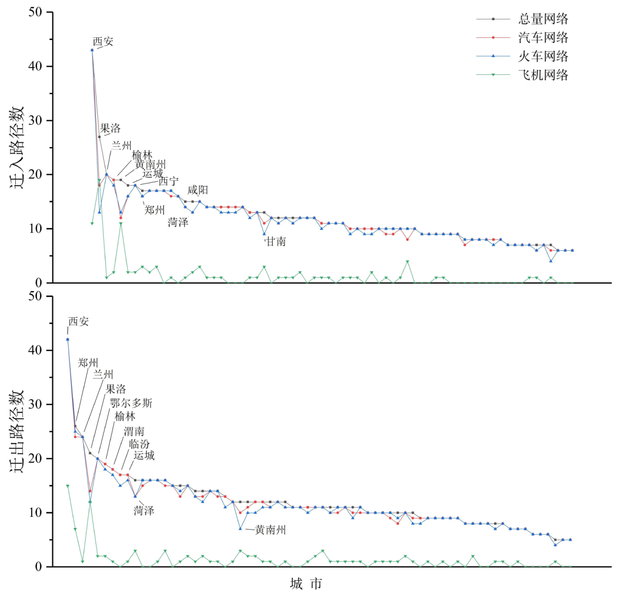
将各城市迁入和迁出路径数进行统计,可以发现部分城市的迁入、迁出路径数存在差异,如郑州、鄂尔多斯等城市的迁出路径多于迁入路径,黄南、西宁等城市的迁入路径大于迁出路径,西安、兰州、果洛、榆林等城市的迁入迁出路径均较多,与其他城市存在较强的关联性。结合各城市的迁入量和迁出量,可以更加清楚地解释节点的中心性和结构洞特征,一个城市联系的城市越多,流量越大,其在网络中的地位就越重要,中心性越高,桥梁作用越明显(图8)。
图8 城市迁移路径数

Fig.8 Number of urban migration paths

2.2.3 连通度的差异性

β指数主要反映网络中节点的平均连接数目,γ指数度量网络中实际存在的边与可能存在的边的比例,两者均刻画网络的连通性。
从四种网络的连通性对比来看,β指数和γ指数的态势基本相同,表明通过两个指数来验证连通性的可行性(表2)。连通性:总量>汽车>火车>飞机,表明不同交通方式间彼此互补、相互衔接时,能使总量连通性最大。汽车和火车的连通性也较大,从而说明汽车和火车网络密度较大,成为主要的出游交通方式,部分拥有综合交通优势的节点城市(即综合交通枢纽),其连通度也较高。而适宜长距离运输的飞机,其平均连通度不足2,通达性很差,不足以带动流域的旅游流。
表2 四种网络的连通性

Tab.2 Connectivity of the four networks

网络 β指数 γ指数
总量 12.21 4.19
汽车 11.71 4.02
火车 11.53 3.96
飞机 1.79 0.62

3 结论与建议

3.1 结论

本文以黄河流域68个城市为研究区域,以腾讯位置大数据为支撑,运用社会网络分析法对旅游流(总量、汽车、火车、飞机)网络结构特征及其分异机制进行了分析,基本结论如下:
①各节点城市在三种中心度中表现出明显的差异,程度中心度和中介中心度通常表现为中下游城市的中心性大于上游城市,而接近中心度相反。中心性较高的多为省会城市及重要的旅游城市;同一中心度下,除飞机网络外,其余网络均表现出相对一致性,火车网络与总量网络中各节点城市的中心性高度一致。
②旅游流网络整体呈“大松散、小聚簇”结构特征,“大松散”指网络结构简单、密度较低,“小聚簇”指形成以省会城市(兰州、西安、郑州、太原、济南)为核心的旅游流子网。三种交通路径下的网络结构受到距离等因素限制与总量网络存在差异,尤其飞机网络表现突出;四种网络状态下的旅游流网络均符合核心—边缘模型,总量网络中核心区偏好省会城市,其他三种网络的核心区则受交通地位的影响,核心区对边缘区的“涓滴效应”有限。
③除飞机路径网络外,其余网络中各节点城市的结构洞水平大体保持一致,整体上高结构洞水平的城市多为联系紧密、桥梁作用强且具有旅游优势的节点城市,受交通线路分布及其建设水平的影响,不同交通方式下的各城市结构洞水平存在差异。
④旅游流流量分配的空间不均衡性、流向的非对称性及不同交通路径的连通性差异,是影响黄河流域旅游流网络的根本原因。

3.2 建议

针对以上分析为黄河流域旅游流网络结构优化提出三点建议:
第一,加强核心区与边缘区的旅游合作。从上述对总量网络的核心—边缘分析中可以看出,流域内旅游流网络结构分异特征明显,省会城市起决定性作用,但其他城市发展不足,核心与边缘联系不紧密,省际联系不足。因此,远离省会城市和交通便利城市的其他城市在旅游发展策略上应积极向核心区靠近,研发游娱项目,借助邻域的区位优势,促进旅游流跨区域流动,同时,核心城市也要发挥在旅游集散作用下的宣传引导力,使旅游流流向周边城市和地区,均衡旅游流网络结构。
第二,完善旅游流交通建设。在三种交通方式下的旅游流网络中可以发现,不同交通方式对应的核心区有差异,且三种交通方式互补作用不显著,各节点城市的区位优势在不同交通方式下的存在差异。因此,流域内应根据节假日旅游流最大流量、流向和各城市在不同交通方式下的约束性,结合地理环境对交通网络进行完善,加强地区间三种交通方式的衔接,需要特别加强各地的优势交通建设,提高不同交通之间的互补作用,同时也可以使网络结构更加均衡。
第三,建设特色旅游线路。综合上述对旅游流空间结构、整体网络和节点的拓扑特征分析,可以发现部分网络空间结构以兰州、西安、郑州、太原、济南五个省会城市为核心成为核心旅游集群,节点城市在网络中的作用显著,结构洞水平差异显著。因此,可以通过建设以核心省会城市为核心的旅游集散中心,以及周边临近节点城市在不同交通方式下的便利性,制定针对交通方式的旅游线路,以此带动更多的城市更好地融进旅游流网络,同时强化核心节点引擎作用。
[1]
吴国清. 中国旅游地理(第二版)[M]. 上海: 上海人民出版社, 2006.

[2]
Reyhan Arslan Ayazlar. Flow phenomenon as a tourist experi-ence in paragliding:a qualitative research[J]. Procedia Economics and Finance, 2015,26:792-799.

[3]
Ping Yin, Zhibin Lin, Bruce Prideaux.The impact of high-speed railway on tourism spatial structures between two adjoining metropolitan cities in China:Beijing and Tianjin[J]. Journal of Transport Geography, 2019, 80(10):102495.

[4]
Cheng Jin, Jing Xu, Zhen Fang huang.Spatiotemporal analysis of regional tourism development:a Semiparametric Geographically Weighted Regression model approach[J]. Habitat International, 2019, 87(5):1-10.

[5]
Degen Wang, Yu Niu, Jia Qian. Evolution and optimization of China's urban tourism spatial structure:A high speed rail perspective[J]. Tourism Management, 2018, 64(2):218-232.

[6]
Peixue Liu, Honglei Zhang, Jie Zhang, et al. Spatial-temporal re-sponse patterns of tourist flow under impulse pre-trip information search:From online to arrival[J]. Tourism Management, 2019, 73(8):105-114.

[7]
Yunyun Li, Bin Zhou, Ling-en Wang, et al. Effect of tourist flow on province-scale food resource spatial allocation in China[J]. Journal of Cleaner Production, 2019, 239(12):117931.

[8]
Yang Yang, Honglei Zhang. Spatial-temporal forecasting of tourism demand[J]. Annals of Tourism Research, 2019, 75(3):106-119.

[9]
Haiyan Song, Richard T. R.Qiu, Jinah Park. A review of research on tourism demand forecasting:launching the Annals of Tourism Research Curated Collection on tourism demand forecasting[J]. Annals of Tourism Research, 2019, 75(3):338-362.

[10]
陈海波. 旅游流的概念界定与理论内涵新论[J]. 旅游研究, 2017, 9(1):22-31.

[11]
王录仓, 严翠霞, 李巍. 基于新浪微博大数据的旅游流时空特征研究——以兰州市为例[J]. 旅游学刊, 2017, 32(5):94-105.

[12]
刘宏盈, 韦丽柳, 张娟. 基于旅游线路的区域旅游流网络结构特征研究[J]. 人文地理, 2012(4):131-136.

[13]
曹新向. 河南省国内旅游客源市场时空结构分析[J]. 旅游论坛, 2009, 2(2):274-279.

[14]
付琼鸽, 刘大均, 胡静, 等. 湖北省旅游流网络结构的特征与优化[J]. 经济地理, 2015, 35(3):191-196.

[15]
韩冬, 黄丽华. 基于旅游数字足迹的旅游流网络结构研究——以内蒙古自治区为例[J]. 干旱区资源与环境, 2018, 32(3):192-197.

[16]
徐敏, 黄震方, 曹芳东, 等. 基于在线预订数据分析的旅游流网络结构特征与影响因素——以长三角地区为例[J]. 经济地理, 2018, 38(6):193-202.

DOI

[17]
杨兴柱, 顾朝林, 王群. 南京市旅游流网络结构构建[J]. 地理学报, 2007, 62(6):609-620.

[18]
张妍妍, 李君轶, 杨敏. 基于旅游数字足迹的西安旅游流网络结构研究[J]. 人文地理, 2014, 29(4):111-118.

[19]
陈浩, 陆林, 郑嬗婷. 基于旅游流的城市群旅游地旅游空间网络结构分析——以珠江三角洲城市群为例[J]. 地理学报, 2011(2):257-266.

[20]
闫闪闪, 靳诚. 洛阳城区旅游流空间网络结构特征[J]. 地理科学, 2019, 39(10):1602-1 611.

[21]
闫闪闪, 靳诚. 基于多源数据的市域旅游流空间网络结构特征——以洛阳市为例[J]. 经济地理, 2019, 39(8):231-240.

[22]
潘伟安, 马丽君. 张家界旅游网络关注度与客流量时空相关分析[J]. 旅游纵览, 2017(8):60-62.

[23]
蔚海燕, 戴泽钒, 许鑫, 等. 上海迪士尼对上海旅游流网络的影响研究——基于驴妈妈游客数字足迹的视角[J]. 旅游学刊, 2018(4):33-45.

[24]
陈玉英, 程遂营. 沿黄黄金旅游带质性特征及其理性存在[J]. 河南大学学报:社会科学版, 2017, 57(5):24-33.

[25]
周晓艳, 郝慧迪, 叶信岳, 等. 黄河流域区域经济差异的时空动态分析[J]. 人文地理, 2016, 31(5):119-125.

[26]
常卫锋. 不同历史时期人们对黄河流域典型旅游景观资源的开发与保护初探[J]. 开封大学学报, 2014, 28(4):33-38.

[27]
曹新向, 苗长虹. 黄河流域省际旅游合作与互动[J]. 商业研究, 2009(11):167-169.

[28]
刘慧. 先秦时期黄河流域旅行活动研究[J]. 学术界, 2015(12):184-193,334.

[29]
白鹤, 段文科, 紫云. 长江黄河流域观鸟地推荐[J]. 旅游纵览, 2011(3):32-37.

[30]
王开泳, 张鹏岩, 丁旭生. 黄河流域旅游经济的时空分异与R/S分析[J]. 地理科学, 2014, 34(3):295-301.

DOI

[31]
于红, 刘沛林. 晋陕黄河大峡谷山西沿岸俗文化的旅游价值[J]. 经济地理, 2016, 36(10):179-184.

[32]
石正方. 蒙晋陕豫交界地带旅游开发研究[J]. 人文地理, 2004, 19(2):60-63,29.

[33]
朱天奎. 试论黄河中上游及西北地区文化旅游资源的开发[J]. 市场经济研究, 1999(2):18-20.

[34]
石培基, 颉斌斌, 邴广路. 基于地理空间认知规律的旅游形象设计——以黄河沿岸甘肃段为例[J]. 地域研究与开发, 2008, 27(6):66-70.

[35]
廖四顺, 闫静. “丝绸之路经济带”背景下黄河金三角区域旅游合作研究[J]. 经济论坛, 2018(12):54-57.

[36]
晋迪, 王冠孝. 晋陕豫黄河金三角A级旅游景区空间结构特征研究[J]. 经济论坛, 2019(1):118-121.

[37]
张志强. 陕西沿黄公路对沿线旅游资源的整合研究[D]. 西安: 陕西师范大学, 2019.

[38]
岳瑞波. 山西黄河旅游景点可持续开发问题与对策分析[J]. 林业经济, 2018, 40(9):77-82.

[39]
高倩倩. 山西黄河流域文化旅游资源开发的建议[J]. 旅游纵览(下半月), 2018(2):161-162.

[40]
史本林. 商丘市黄河故道湿地生态旅游资源开发初探[J]. 生态经济, 2006(1):101-103.

[41]
李小丽. 运城市黄河文化旅游区的开发策略初探[J]. 国土与自然资源研究, 2010(5):80-81.

[42]
王录仓, 杨志鹏, 武荣伟, 等. 甘肃黄河三峡景区旅游资源空间结构研究[J]. 干旱区研究, 2016, 33(1):215-222.

[43]
王丽丽, 马晓龙. 基于规划文本分析的地质旅游资源价值演化研究——黄河石林案例[J]. 资源科学, 2016, 38(9):1653-1 662.

[44]
Burt R.S. Structural holes:the social structure of competition[M]. Cambridge: Harvard University Press,1992.

文章导航

/