城市地理与新型城镇化

1959年以来日喀则市发展与空间演化的尺度逻辑

  • 杨永春 , 1, 2, 3 ,
  • 孙燕 1 ,
  • 王伟伟 4, 5
展开
  • 1.兰州大学 资源环境学院,中国甘肃 兰州 73000
  • 2.西北大学 城市与环境学院,中国陕西 西安 710127
  • 3.兰州大学 西部环境教育部重点实验室,中国甘肃 兰州 73000
  • 4.中国科学院 西北生态环境资源研究院,沙漠与沙漠化重点实验室,中国甘肃 兰州 730003
  • 5.中国科学院大学,中国北京 100049

杨永春(1969—),男,陕西白水人,博士,教授,博士生导师。主要研究方向为城市与区域发展、转型与规划。E-mail:

收稿日期: 2018-10-08

  修回日期: 2019-06-08

  网络出版日期: 2025-04-18

基金资助

国家自然科学基金项目(41571155)

国家自然科学基金项目(41971198)

第二次青藏高原综合科学考察研究资助(2019QZKK1005)

The Scale Logic of Shigatse City's Development and Urban Spatial Evolution Since the Year of 1959

  • YANG Yongchun , 1, 2, 3 ,
  • SUN Yan 1 ,
  • WANG Weiwei 4, 5
Expand
  • 1. College of Earth and Environmental Sciences,Lanzhou University,Lanzhou 730000,Gansu,China
  • 2. College of Urban and Environmental Science,Northwest University,Xi'an 710127,Shaanxi,China
  • 3. Ministry of Education Key Laboratory of West China’s Environmental System,Lanzhou University,Lanzhou 730000,Gansu,China
  • 4. Key Laboratory of Desert and Desertification,Northwest Institute of Eco-Environment and Resources,Lanzhou 730000,Gansu,China
  • 5. University of Chinese Academy of Sciences,Beijing 100049,Beijing,China

Received date: 2018-10-08

  Revised date: 2019-06-08

  Online published: 2025-04-18

摘要

对日喀则市城市发展实施反梯度、跨越式发展战略是国家力量的核心体现。基于尺度理论,运用质性、数理统计、空间分析法,研究投资对城市发展、空间演化的效应、特征及治理模式。结果表明:①1995年后城市空间开始快速扩张。2005—2014年,城市空间扩展的变化幅度和速度最大。1959—2016年,城市空间结构逐渐优化和功能逐渐完善,且居住、公共管理和公共服务职能最终占据了主导地位。2015—2016年,城市发展转向内部更新及绿色建设阶段。②国家、援藏投资对促进经济发展和建成区扩张具有合力作用,但国家投资对城市发展和空间演化的效应大于援藏投资对应的效应。③中央、中东部发达省市、西藏地市不同等级政府之间进行尺度生产组成两种治理模式:中央政府—东部发达省市—西藏地方政府垂直治理模式,中央政府—中央企业/东部发达省市—西藏地方政府组成的协调治理模式。④计划经济时期,实施国家—地方两级尺度治理模式,建设居住空间、公共管理和服务设施、基础设施等构筑物,促进了城市空间扩展和结构变化。⑤改革开放以来,国家投资、对口援建共同作用来推动日喀则城市建设,形成国家—发达省市—地方三级尺度模式,且对口援建对城市空间扩展是一种强化过程。

本文引用格式

杨永春 , 孙燕 , 王伟伟 . 1959年以来日喀则市发展与空间演化的尺度逻辑[J]. 经济地理, 2019 , 39(12) : 48 -61 . DOI: 10.15957/j.cnki.jjdl.2019.12.006

Abstract

The anti-gradient and leapfrog development strategy in Shigatse's urban development is the core national strength. This paper discusses the similar and different effects of state investment and counterpart aiding to the urban development and urban spatial expansion in Shigatse. The objective explores the procedure related scale production of People's Republic of China (PRC), developed provinces (prefecture) and local government in Tibetan urban development and city spatial expansion. Based on scale theory, the qualitative research method, mathematical statistics technology and GIS spatial analysis are used to seek for the characteristics, evolution features and governance models. The results show that: 1) After the year of 1995, urban space began to expand rapidly. From 2005 to 2014, the variable quantity and rate of urban spatial expansion are the largest. The urban spatial structure and function are gradually optimized and improved. Resident and public service facilities are the dominant property. In 2014, industrial functions exceed public service facilities uses. In the year of 2015 to 2016, urban spatial development is turning to internal renewal and green development strategy. 2) The assistant investment of state and developed provinces all promotes the economic development and urban spatial expansion. The urban developed and spatial evolutional effects of national investment are greater than what coming from developed provinces assistant investment to Tibet. 3) The Central government, developed provinces in middle and eastern China and Tibetan local government apply scale production forming two kinds of governance model: vertical governance model and coordinate governance style. Meanwhile, the vertical governance model is defined as three hierarchical scales: Central government-China developed prefectural provinces government-Tibetan local government. Coordinate governance model is consists of four levels about the Central government-China developed provinces government- Central enterprise-Local government. 4) At the socialist planned economic time, the governance political scale is two level of central-local government. The constructive aspects in residential space, public service facilities and infrastructure boost urban spatial expansion and urban land use structure variation. 5) At the reform and opening period, it is concluded that the three level political governance of state government-developed provinces government-local government. The state investment and counterpart construction from developed areas jointly furthers urban construction. Counterpart assistance to the urban spatial expansion is a strengthening process.

尺度是一种空间化的前定结构,具有水平范围和垂直层级的双重结构以及同心圆与梯子的双重隐喻[1],带有等级、规模、关系、实践等含义[2]。尺度的关系网络形成了交织的立体结构,该结构涵盖了连接任意数量尺度上的结点,同时将水平、垂直层次的制度、文化、关系和尺度纳入在一个综合认识世界的立体网络结构中[3-5],即任何空间尺度本身是更为广泛的过程与社会关系的产物[6-8]。因此,后结构主义认为尺度是建构当前社会空间序列的根本的认识论,强调尺度的空间与空间性及其动力机制与融合路径[9]。本质上,尺度是对基本地理维度(如地方、网络和领土)的二次抽象,是一种建构的概念。尺度的划分不单纯是容器,而是与各种社会—权力关系相交织,并被不断重构和利用,从而形成了各种尺度重构和尺度政治[10]。尺度重构常用来分析城市/区域管制[11],尺度的可变性、多维叠加性以及社会关系/政治经济权力互动中的动态重构性,为尺度重组提供了客观条件[12],且地方根植性、空间动力是尺度生产与尺度重构的主要因素[13]。尺度重构也是权力与控制力在不同尺度之间的变动[14]。尺度重构不仅是空间范围的加总组合或内部分割的碎片化,而且是一种社会建构和经济建构的过程,其必会带来区域与空间单元在国土空间图景中“权重”的变化,也要求相应的空间权力调整和治理结果的重新塑造,即尺度重组是一个空间与附着其上的经济、社会、政治关系再结构化的过程[15]。因此,尺度政治模式是制度、治理以及领土的集合[2]。尺度政治理论将“尺度”视为地理学的一个基本维度,如尺度上推、下推需要通过多孔的边界以实现政治治理的目的[16]。现代人文地理学者们往往将不同规模的空间进行抽象化,并藉此探讨空间权力与空间规模变化之间的共生模式[17]
城市作为区域经济增长的引擎,也是政策集中实施的区域,一方面,城市是社会生产的场所[18],另一方面,城市发展与空间演化受人口、产业、地域分异等因素的综合调控[19-20]。城市空间演化通常主要存在由内向外同心圆式扩展、沿主要交通轴线呈放射状扩展以及跳跃式呈组团式扩展三种模式[21],结果是促使城市发展,诸如城市规模扩大、产业升级、功能置换等[22]。由人口、居住、工作、服务设施、基础设施以及交通等组成的复杂城市系统以及由居住、商业、工业、单位、生态景观、公共管理机构、交通、信息、能量等组成的城市空间系统具有复杂性[23-24],尺度理论成为研究城市发展与空间演化的逻辑支撑[25]。另外,城市的发展还受制度的影响[26],政治经济学认为决定城市空间形态演变过程的主要动力是资本和权力[27]。政府必须提供激励补偿先行者的外部性和协调软硬基础设施来支持其投资、运行,并降低交易费用,以促进经济增长[28]
城市发展和空间演化实质是一种尺度现象[29]。尺度理论通过运用作用者—网络理论来挑战对传统空间的理解,空间被比喻为地方、尺度和网络。城市发展和空间演化是一种尺度重构和生产的全过程,通过实施尺度政治及尺度重构策略,来体现中央政府对地方各项事业全面投资和深度干预[30]。国家通过政策、经济、制度等方面的安排实施行政—空间策略以实现等级、规模、关系尺度的转换,并促进城市发展和空间扩展[31-32]。实际上,城市空间扩展或重构是尺度变化的一种外在表现形式[33],且多样化和多层级的尺度联系网络有利于既有空间边界的扩张以及促使新空间建构[34]。因此,尺度不仅是对竞争和合作的权力关系变化的表达,也是主体相互交往过程中实施的策略[35]。多种经济主体和组织通过空间嵌入形成的“空间依赖”以及通过外部空间中的可获得资源和设施的利用形成的“空间嵌入”策略共同作用了城市空间演化。而且,尺度可通过建立“空间嵌入”的联系网络来减弱实施主体的“空间依赖”,进而促进空间塑造和转型[36-37]
区域非均衡增长理论认为政府的行政干预力量是缩小区域差距的有效方式,总投入要素生产率的增长是推动经济增长的主要动力,其中资本投入所起的作用最为明显,投资能够直接拉动经济增长[38],通常通过大型项目的落实来引导“资本流向”并促进政府驱动大规模的城镇开发。国家力量通过政策设计促进产业资本、人力资本相互融合及提高城市创新的引领功能[39]。政府驱动城市发展与空间演化正是体现国家制度力量的项目价值循环与大价值循环以及集中与分散力之间互动的结果[40]。因此,城市发展与空间演化的尺度治理模式是由中央政府主导的综合治理模式,通过中央—地方的关系、体制机制、联盟、学习、制度厚度来分析城市—区域政治经济活动的位置、具体情景和政治建构的过程以及城市治理的多样性和多尺度的网络化特征[2]
传统性、全球化、现代化、后现代化、多元化、自由主义以及新自由主义混合发展背景下的城市研究问题常以尺度实践的形式出现,如运用尺度政治理论来研究慈善资助[18]、事件[41]、跨国移民、性别[42]、价格设置、劳资关系、企业利润[43]、产业发展[44]、公园建设、城市规划[45]及环境保护[46]等领域。尺度政治理论与应用促使相关研究领域从等级化向扁平化的地理尺度的变化、从单一性向多元性尺度效应的转化、从自由市场向民族特色经济发展尺度的转向[47],以及通过经济、社会、制度、文化与生态方面的综合集成视角来探讨研究对象在时空间尺度上的关系转向。然而,学术界运用尺度理论解释我国内陆/边疆城市的发展及其演化的研究成果罕见[48]。本文基于尺度理论理解我国西藏日喀则市的发展与空间演化的特征与规律,尝试归纳其内在的尺度逻辑,回答如下科学问题:国家投资与对口援建如何影响了日喀则市的发展,二者又如何作用于日喀则市空间演化并进行尺度生产?

1 研究区范围、数据来源与研究方法

1.1 研究区范围

日喀则市是一座具有600多年历史的古城和藏区中心之一(图1)。封建农奴制时期的日喀则城经历了绕宗山单中心、宗山—扎什伦布寺双中心、宗山单中心发展历程。民主改革后,中央先后召开六次西藏工作座谈会,确定国家和中央政府支援西藏经济发展与社会稳定的相关政策,尤其是中央第三次西藏工作座谈会(1994年)正式确定了对口支援[49]。因此,在民主改革前,日喀则市的基础设施建设相对欠缺,经济社会发展落后[50]。1959年,日喀则主城区的主要经济基础是农牧业,具有显著的“寺庙经济”特征;用地功能不齐全,整个城市基本被农田包围;基础设施缺乏,街巷表现为枝状和曲折变化,市民用水靠水井供应,并在水井周围形成了一定的商品交易场所[51]。1959年后,日喀则的经济社会实现了跨越式发展[52]。当代,日喀则市发展成了一座美丽、端庄、敦厚、包容与独特的高原城市,其具有现代性与民族性的双重特色,故研究日喀则城市发展与空间演化具有良好的典型性[53-54]。基于研究需求,本文选择日喀则主城区为研究区(图1)。
图1 日喀则市与研究区范围

Fig.1 Shigatise and the study area

1.2 数据来源

从《日喀则市统计年鉴》(2003,2008—2016)、《日喀则统计公报》《日喀则市志》获取了相关经济社会数据,包括GDP、农民人均收入、市民人均收入、城镇人口、非农业人口等[55]。也有一些关于援藏对城市经济社会发展、城市空间变化的访谈数据来自于2017年8月的实地调研以及网络。在地理空间数据云(http://www.gscloud.cn/)上可下载到Landsat 5、7对应的TM/ETM+系列日喀则遥感影像,获取到1988、1992、1996、2001、2005、2010、2013和2016年等8个年份无云或少云的遥感影像,并在ENVI软件中提取建成区面积数据。另外,根据《日喀则市历史文化名城规划》《日喀则市志》及《日喀则市城市总体规划》,并参考日喀则市政府所提供的相关资料,获取1959、1994、2004、2014、2016年建成区的现状用地图及其相关数据。对涉及城市各功能用地参照《城市与城乡用地分类2011版》的大类进行分类。对统计计算中对相关指标对应的缺失数据采用条件平均值法、条件组合化的方法[56]进行补齐。
以1959、1994、2004、2014、2016年为时间节点,将研究分五个阶段,这是因为:一是1959年西藏进行民主改革,彻底推翻了封建农奴制度,从此西藏进入了具有中国特色、西藏特点的社会主义发展阶段。二是1994和2001年分别确定了“四省市两企业”(黑龙江省、山东省、上海市、吉林省、中国石油天然气集团有限公司和中国石油化工集团)的对口援助政策,并且2004年由青岛市规划设计研究院编制的第二版日喀则市城市总体规划正式启用,城市现状用地较为完整。三是2014、2016年日喀则市进行第三版城市总体规划,设计单位对城市用地现状进行调研,故2014、2016年的现状地图较容易获取且完整。
笔者在2017年8月进行了问卷调研。结果显示,92.71%的市民认为中央政策、国家财政支持促进了城市空间的扩展和演替,有72.92%的市民认为对口援建对城市空间的扩展也具有重要作用。

1.3 研究方法

城市空间具有尺度依赖性,无特征尺度对城市空间来说具有时间、空间、规模尺度之分[57]。无特征尺度是分形性质的具体表征,且幂函数通常是无特征尺度的测度,幂指数是无特征尺度系统的信息体现[57]。国家力量与援藏力量的强弱表征了受控成分的大小,受控成分大,城市自组织能力减弱,但城市空间仍具有分形性质[58]。分形维数是结合城市中各类土地利用类型及宗教用地(寺庙经济形态)的组织和功能在时空尺度上变化的定量指标。因此,分形维数是将城市空间的无特征尺度和城市空间演化的时间尺度联系起来的有效指标,国家投资和援藏投资是城市各类土地利用时空尺度变迁的投影。陈彦光和冯健运用盒子维数(D)研究城市空间形态特征具有理论上的可行性及实践上的可操作性[59-60],故本文基于盒子法的分形维数(D)分析城市空间演化特征。综上,我们采用Pearson相关、线性回归分析、因子分析、RS&GIS技术及盒子维数法分析日喀则市城市发展与空间演化的尺度逻辑,具有可行性与科学性。

1.3.1 Pearson相关、因子分析及回归分析法

利用SPSS计算变量之间的Pearson相关系数。为排除社会经济发展指标对应的变量之间的共线性,分别对1959—2016、1959—1994及1995—2016年三个时间段对应的指标进行因子分析(KMO值分别为0.804、0.759和0.709),并提取特征根大于1的成分,这分别可解释92.994%、89.782%和89.922%的信息。分别以经济社会发展指标y(以上5个指标的因子得分值)及建成区面积y为因变量,以国家投资(x1)和援藏投资(x2)为自变量进行线性回归,旨在揭示国家投资、对口援建对城市发展和空间演化的效应。

1.3.2 RS&GIS空间分析法

根据1959—2016年建成区的面积,分析城市空间扩展特征。并运用GIS空间技术,在ArcGIS 10.2中对1959、1994、2004、2014、2016年的城市土地利用进行矢量化,计算扩展变化量(K1)、扩展变化幅度(K2)、变化速度(K3[61]。以上指标的计算公式如下:
K 1 = U b - U a
K 2 = U b - U a T
K 3 = U b - U a U a T
式中:UaUb表示a年和b年的两个年份建成区的面积;T表示ab两个年份的时间差值。

1.3.3 分形维数法

城市发展和空间演化的内部结构变化是自组织过程,分形理论是描述复杂系统空间形态的重要方法[62],即城市用地功能组成部分及空间演化的分形维数直观表达了城市系统的无特征尺度特征。计算日喀则市区1959、1994、2004、2014和2016年5个年份的城市建设用地和以上城市建设用地的8类土地利用类型对应不同年份的分形维数(D)、拟合优度(R2)标准误差(δ)。根据格子维数(D)、拟合优度(R2)、标准误差(δ),进而比较总的建设用地及各类用地的演化特征。主要技术方法是将城市的建成区用边长为单位1的矩形框覆盖,城市建成区的斑块都落在矩形框中,然后将矩形的边框每条边分别r=1/2nn=1,2,3,4,5,6,7,8,9)等分,计算建成区或者各类用地落在r=1/2nn=1,2,3,4,5,6,7,8,9)矩形矩形框的个数[63]
N r r - D
式中:Nr)指格子数和r指格子边长,借助最小二乘法进行估计分形维数,以ln(r)为横坐标和 l n N r为纵坐标进行线性模型拟合。在一定标度区范围内,基于格子数 N r和格子边长(r)双对数拟合线性关系是一条直线,标度区越完整表示城市建设用地或者具体用地类型的时空演变越好。标准误差(δ)与拟合优度(R2)存在严格的函数关系,可根据δR2对分形维数的计算结果的可信程度进行估价,δ越小R2越大。整个城市形态的分形维数不能超过所在空间的维数(D=2),但各个职能类的分形维数却不受此局限[64]

2 概念化模型:西藏城市发展与空间扩展的尺度逻辑

解放后,面对日喀则等藏区城市发展相对落后的客观现实,与尺度政治模式相结合的反梯度理论、新增长理论、追赶型经济理论以及基于资本、技术、制度、结构、经济和精神有关的后发优势理论、内生化理论与干中学理论均可为国家战略的具体实施提供重要且有效的参考模式。尺度政治模式的实施有助于弱化区域内部本身存在的制度壁垒的阻力并创造制度红利,这也可有效解释由资本与权力组构起来的尺度政治与尺度实践有关的人的逻辑在城市发展与演化过程相联结起来的物的时空尺度的动态演化。垂直与水平、内与外、人与物辩证相关的尺度上推、尺度下推、尺度锁定、多孔边界及尺度跳跃的政治治理逻辑是党和国家、中央部委、对口援藏的内地各级发达省市政府与企事业单位、对口援藏的中央国有企业以及西藏各级地方政府实施的系列优惠政策、基础设施投入、招商引资、开发区建设以及体制机制改革等相关的制度创新的政治经济理论基础。这有助于打破西藏城市发展与空间演化的路径依赖而进行有效的路径创造[65],促进城市经济社会发展的“造血”功能(图2)。
图2 西藏城市发展及其空间演化的概念化尺度逻辑

Fig.2 The scale logic of conceptualization about the Tibetan city's development and spatial evolution

西藏民主改革前,基础设施建设欠缺,经济社会发展落后[66]。1959年西藏民主改革后,中央实施国家宏观调控政策,并先后召开六次西藏工作座谈会,确定相关发展和保护政策。尤其中央第三次西藏工作座谈会正式确定了对口支援。中央第五次西藏工作座谈会后,援藏资金的80%主要向农牧区、基层倾斜[67]。财政补贴对西藏的宏观经济的影响是明显的,其财政支出的90%来自中央财政的支持[23],这在推动西藏经济发展方面所起的作用远大于先天作用。国家力量使得西藏经济持续高速增长、产业结构不断优化、西藏居民(农牧民)均等享受发展的成果。21世纪应从对资源开发、资本密集型产业投资转向对人力资本和改善生活条件设施的投资,确立新的现代化追赶战略[50],促进西藏实现跨越式发展。中央、中东部发达省市、地市不同等级之间进行尺度上推、下推、固定及跳跃,推动了尺度的生产和重构。这初步形成了中央—东部发达省市—(西藏)地方垂直治理模式,以及中央政府—中央企业/东部发达省市—(西藏)地方组成的协调治理联盟,如通过基础设施完善、园区建设、公共服务以及居住、单位空间扩展,使城市在时空尺度上表现为用地功能调整及空间扩展和演变(图2)。因此,通过实施尺度政治及尺度重构策略,来体现中央政府对地方各项事业全面投资和深度干预[68]。国家通过推行垂直及跨部门跨域协作以及推行规模、等级及关系尺度政治的治理模式[38]以实现西藏城市发展及空间扩展的尺度生产、跳跃及重构。国家、中央、地方政策、资金投入、规划、重大项目建设等行政干预行为可认为是对具有特征尺度的控制成分实施的尺度政治模式,这有利于突出“横向”制度规划、破除部门利益[2],促进西藏城市的发展和空间演化。
国家通过行政力量转移资源到西藏,以促进西藏的经济总量的提升,实现区域均衡发展,同时国家制定对口援建的政策事实上是实现发达省市与欠发达的西藏地区之间实现产业、人才、技术、资本等转移的“收敛”模式,发挥区域比较优势,促进西藏和谐稳定发展[69]。1959—1994年,国家对西藏实行经济上长期补贴的办法并确定中央定额补助持续增长的政策措施。国家对西藏免征农业税,并对西藏农牧民从事民族手工业、交通运输业、建筑业、服务业等免征工商税[70]。这促进了日喀则等西藏城市的经济增长和发展转型、人口变化、社会转型、制度变革以及重塑和扩展了城市空间[71]。1994年以后,中央制定了特别优惠政策、对口援藏政策,并继续执行并完善“收入全留、补助递增、转向扶持”的财政政策,加大转移支付力度,继续实行“税制一致、适当变通”的税收政策[72]。这一系列的政策通过尺度下推的模式得到了西藏城市政府及各行业部门的贯彻和落实。对口援藏力量进一步通过尺度上推与尺度下推的双重力量联系了国家和地方政府。同时,西藏城市根据发展实际进行相关项目建设的立项和申报,这分别关联起了与对口援建省市之间的“垂直—水平”或立体网络化的尺度联系以及与中央政府之间形成的尺度上推的模式。因此,国家力量和对口援建力量组成的社会关系的建构是尺度政治在西藏城市发展与空间演化的有效体现,通过社会关系网络、发展实践活动以及城市建设行为是对不同等级的实施主体组成尺度的定义,这反映在城市外部、前定以及本体的环境中。社会和日常生活中的历史的、地理的以及物质的组成部分通过社会生产来框定城市发展与空间演化的现实框架和环境边界[73]。在不同的发展阶段和制度背景下,城市发展与空间演化实施的不同的尺度建构策略促使城市发展与转型。这使得日喀则等西藏城市加速要素集聚和优化土地利用结构,并促使城市空间更加有序[74]

3 国家投资、援藏投资对日喀则市发展及其空间扩张的影响

3.1 城市发展效应

国家投资、援藏投资对促进日喀则经济发展和建成区面积扩张具有显著的相关性,但不同发展时间段具有不同程度的相关性(表1)。1959—2016年,总体来看,国家投资在建成区面积、GDP、农民人均收入方面的相关性(以上3个指标对应的国家投资的相关性分别为0.889、0.961和0.953)明显大于援藏投资与相关指标的相关性(以上3个指标对应的援藏投资的相关性分别为0.703、0.958和0.886)。市民人均收入、城镇人口和非农业人口对应的国家投资的相关性(以上指标与国家投资之间的相关系数分别为0.931、0.801和0.853)小于以上指标对应的援藏投资(以上指标与援藏投资之间的相关系数分别为0.948、0.932和0.980)的相关性。1959—1994年,日喀则市的经济发展、城市空间扩展主要是国家力量主导的发展,国家投资与建成区面积、GDP、农民人均收入、市民人均收入、城镇人口以及非农业人口之间的相关性分别为0.684、0.882、0.729、0.498、0.545和0.588。1995—2016年,国家投资与建成区面积、农民人均收入(相关系数分别为0.896、0.933)相较于援藏投资对应的相关性(相关系数分别为0.703、0.873)大;国家投资与生产总值、市民人均收入、城镇人口和非农业人口之间相关系数(分别为0.946、0.902、0.691和0.829)小于援藏投资与以上相应4个指标的相关系数(分别为0.977、0.935、0.807和0.933)。
表1 国家投资、援藏投资与经济相关指标的Pearson相关分析

Tab.1 Pearson correlation analysis about the state and aid-Tibetan investment with the related economic index

指标 1959—2016年 1959—1994年 1995—2016年
国家投资 援藏投资 国家投资 援藏投资 国家投资 援藏投资
建成区面积 0.889** 0.703** 0.684** - 0.896** 0.703**
GDP 0.961** 0.958** 0.882** - 0.946** 0.977**
农民人均收入 0.953** 0.886** 0.729** - 0.933** 0.873**
市民人均收入 0.931** 0.948** 0.498** - 0.902** 0.935**
城镇人口 0.801** 0.932** 0.545** - 0.691** 0.807**
非农业人口 0.853** 0.980** 0.588** - 0.829** 0.933**

注:“**”表示Pearson相关系数在0.01显著性水平上;“-”表示1959—1994年援藏投资数据缺失。

3.2 城市经济社会及空间扩展效应

1959—2016年,日喀则空间扩展了20.750 km2,打破了围绕扎什伦布寺、宗山等集政教、经济于一体的空间格局。1959年,建成区面积仅有2.200 km2,2016年为20.950 km2,变化幅度为0.358 km2/year,变化速度为0.163(表2)。国家投资与援藏投资共同作用才会对经济发展及城市空间扩展具有更好的发展效应,国家投资与援藏投资之间存在一种相辅相成的关系。实际上,国家投资与援藏投资之间的Pearson相关系数为0.833,这也在一定程度上验证了国家投资与援藏投资相互搭配过程中对落后地区的作用更加明显(表3)。1959—2016年,每增长1单位的国家、援藏投资分别对经济发展的效应是0.648、0.342单位;每增长1单位的国家、援藏投资分别对建成区空间扩展的效应是0.681、0.249单位。1959—1994年,每增长1单位的国家投资对经济发展的效应是0.683单位,对城市空间扩张的效应是0.684单位。1995—2016年,每增长1单位的国家、援藏投资分别对经济发展的效应是0.701、0.279单位;每增长1单位的国家、援藏投资分别对建成区空间扩张的效应是0.836、0.080单位。
表2 1959—2016年日喀则市城市空间扩展特征统计结果

Tab.2 The characteristic of urban spatial expansion’s statistical results about Shigatse in 1959-2016

时间段 K1(km2 K2(km2/year) K3(1/year)
1959—2016 20.750 0.358 0.163
1959—1994 3.980 0.114 0.050
1988—1994 1.700 0.243 0.054
1995—2016 16.385 0.745 0.113
1995—2004 4.445 0.445 0.068
2005—2014 10.473 1.047 0.088
2015—2016 0.263 0.132 0.006
表3 国家、援藏投资对经济社会综合发展、建成区空间扩展的效应分析

Tab.3 Effect analysis of the state and aid-Tibetan investment on the economic and social development and built-up area’s expansion

时间段 经济社会综合发展效应 建成区空间扩展效应
经济指标对应的模型 拟合优度(R2 经济指标对应的模型 拟合优度(R2
1959—2016 y=0.648x1+0.342x2 0.907 y=0.681x1+0.249x2 0.809
1959—1994 y=0.683x1 0.467 y=0.684x1 0.467
1995—2016 y=0.701x1+0.279x2 0.861 y=0.836x1+0.080x2 0.806

4 1959年以来城市空间演化

4.1 社会主义计划经济时期:1959—1994年

1959—1994年,中央政府通过财政扶持大量建设门类齐全的政府部门(单位)、公共服务设施(学校、医院)、基础设施(道路网)以及依托当地资源和文化特色发展具有资源禀赋优势的特色产业。地方政府积极配合现代行政职能单位的组建和基础设施的建设,这有效促进了城市空间的扩展和功能的优化。另外,中央政府和地市两级政府积极实施内地人才引进计划并将相关人员安排到地方行政职能部门、企事业单位进行工作。因此,城市空间的扩展主要用地类型为公共管理和服务设施用地,促使公共管理和服务设施用地的分形维数比工业、物流仓储和公用设施用地的分形维数较大。在国家、地方两级尺度治理的双重作用下,日喀则的经济、制度模式迅速从寺庙—宗政府—传统聚落构成的政教合一的传统方式转变为社会主义计划经济的城市发展新方式(图3)。
图3 日喀则市1959、1994年的城市用地结构以及国家援建区

Fig.3 Urban land use in 1959, 1994 and national aiding area in Shigatse

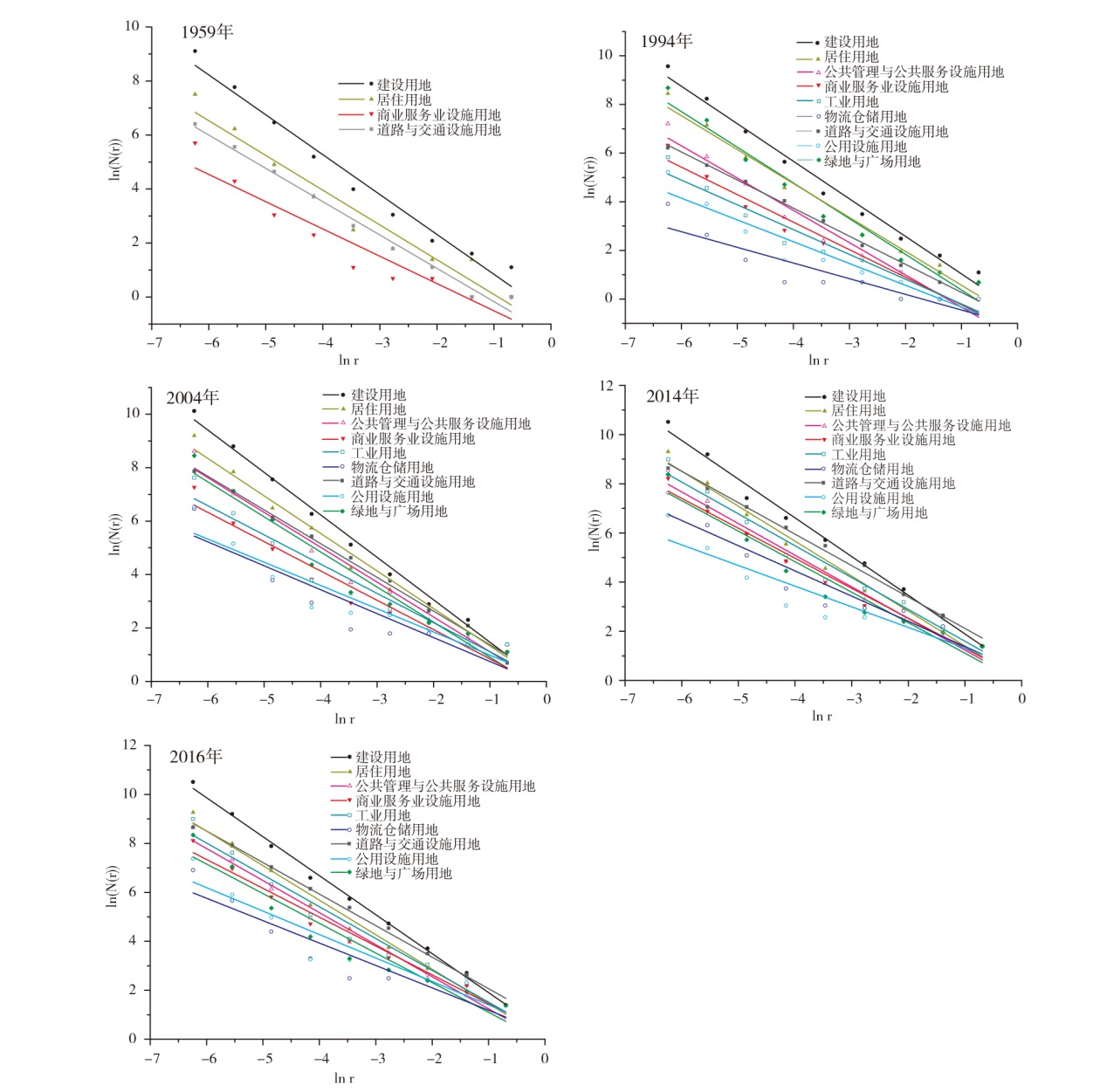
1959年,居住、交通及商业与服务业用地为主要用地类型;1994年,绿地、居住、公共管理及道路交通用地构成城市主要用地类型,其中,建设、居住、商业服务业以及道路与交通设施用地的分形维数分别为1.490、1.490、1.010和1.234,对应的拟合优度分别为0.975、0.981、0.904和0.990,标准误差分别为0.087、0.109、0.122和0.052。并且,商业服务业设施、道路与交通设施用地的无标度区间分别为k4~k7k2~k9。在该阶段,总的建设用地的分形维数基本与居住用地的分形维数相同;新增加了公共管理和公共服务设施、工业、物流仓储及公用设施用地,对应的分形维数分别为1.327、1.019、0.644和0.896,拟合优度分别为0.971、0.950、0.816和0.915,标准误差分别为0.087、0.088、0.116和0.102。另外,总的城市建设、居住、道路与交通及绿地与广场用地的维数分别为1.543、1.394、1.155和1.467,各用地类型对应的拟合优度分别为0.985、0.974、0.996和0.970,标准误差分别为0.071、0.086、0.021和0.096(表4图4图5)。
表4 日喀则市城市建设用地及其各土地利用类型的分形特征统计(1959—2016年)

Tab.4 Statistics on the fractal characteristics of urban construction land and its land use types in Shigatse city(1959-2016)

年份 统计计算类别 建设
用地
居住
用地
公共管理与公共
服务设施用地
商业服务业设施用地 工业
用地
物流仓储用地 道路与交通设施用地 公用设施用地 绿地与广场用地
1959 无标度区 k2~k9 k2~k7 - k4~k7 - - k2~k9 - -
分形维数 1.490 1.490 - 1.010 - - 1.234 - -
拟合优度 0.975 0.981 - 0.904 - - 0.990 - -
标准误差 0.087 0.109 - 0.122 - - 0.052 - -
分形维数下限 1.284* 1.210* - 0.696* - - 1.111* - -
分形维数上限 1.696* 1.770* - 1.324* - - 1.357* - -
分形维数误差范围 0.411* 0.560* - 0.627* - - 0.246* - -
1994 无标度区 k1~k9 k1~k9 k2~k9 k2~k9 k2~k9 k6~k9 k1~k9 k6~k9 k1~k9
分形维数 1.543 1.394 1.327 1.131 1.019 0.644 1.155 0.896 1.467
拟合优度 0.985 0.974 0.971 0.967 0.950 0.816 0.996 0.915 0.970
标准误差 0.071 0.086 0.087 0.079 0.088 0.116 0.021 0.102 0.096
分形维数下限 1.375* 1.191* 1.121* 0.944* 0.811* 0.370* 1.105* 0.655* 1.240*
分形维数上限 1.641* 1.496* 1.425* 1.206* 1.090* 0.687* 1.178* 0.963* 1.586*
分形维数误差范围 0.266* 0.306* 0.303* 0.261* 0.279* 0.317* 0.073* 0.308* 0.346*
2004 无标度区 k1-k9 k1~k9 k1~k9 k1~k9 k1~k9 k4~k9 k1~k9 k2~k9 k1~k9
分形维数 1.588 1.404 1.303 1.097 1.094 0.895 1.262 0.869 1.312
拟合优度 0.991 0.986 0.975 0.958 0.942 0.861 0.995 0.881 0.956
标准误差 0.055 0.074 0.085 0.086 0.103 0.136 0.033 0.120 0.106
分形维数下限 1.458* 1.229* 1.102* 0.894* 0.850* 0.573* 1.184* 0.585* 1.061*
分形维数上限 1.718* 1.579* 1.504* 1.300* 1.338* 1.217* 1.340* 1.153* 1.563*
分形维数误差范围 0.260* 0.350* 0.402* 0.407* 0.487* 0.643* 0.156* 0.568* 0.501*
2014 无标度区 k1~k9 k1~k9 k1~k9 k1~k9 k1~k9 k1~k9 k1~k9 k1~k9 k1~k9
分形维数 1.574 1.421 1.287 1.219 1.295 1.025 1.279 0.840 1.241
拟合优度 0.992 0.983 0.975 0.977 0.970 0.912 0.993 0.863 0.947
标准误差 0.053 0.062 0.076 0.070 0.086 0.120 0.038 0.126 0.111
分形维数下限 1.449* 1.274* 1.107* 1.053* 1.092* 0.741* 1.189* 0.542* 0.979*
分形维数上限 1.699* 1.568* 1.467* 1.385* 1.498* 1.309* 1.369* 1.138* 1.503*
分形维数误差范围 0.251* 0.293* 0.359* 0.331* 0.407* 0.568* 0.180* 0.596* 0.525*
2016 无标度区 k1~k9 k1~k9 k1~k9 k1~k9 k1~k9 k1~k9 k1~k9 k1~k9 k1~k9
分形维数 1.592 1.410 1.309 1.178 1.300 0.915 1.288 0.958 1.212
拟合优度 0.996 0.986 0.977 0.979 0.966 0.884 0.996 0.895 0.932
标准误差 0.036 0.062 0.074 0.065 0.091 0.125 0.029 0.124 0.124
分形维数下限 1.507* 1.263* 1.134* 1.024* 1.085* 0.619* 1.219* 0.665* 0.919*
分形维数上限 1.677* 1.557* 1.484* 1.332* 1.515* 1.211* 1.357* 1.251* 1.505*
分形维数误差范围 0.170* 0.293* 0.350* 0.307* 0.430* 0.591* 0.137* 0.586* 0.586*

注:“*”表示分形维数下限、上限以及分形维数误差范围通过了0.05的显著性水平;“-”表示该时期对应的土地利用类型缺失,故无法进行相关土地利用类型的统计计算。

图4 建设用地及各功能用地的lnr与ln(N(r))双对数的幂函数拟合结果

Fig.4 Power function fitting results of lnr and ln(N(r)) about construction land and kinds of functional lands

图5 1959—2016年建设用地以及各类用地的分形维数、拟合优度变化趋势

Fig.5 Fractal dimension and goodness of fit trend of construction land and various land use in 1959-2016

这个时期,中国特色社会主义制度建设和社会建设是日喀则等西藏城市发展的首先任务。同时,国家对西藏政策也处于探索阶段。西藏在这个阶段本身经历了民主改革、计划经济和市场经济制度的快速转型。制度变革、社会建设及经济转型促使国家、西藏自治区人民政府以及城市政府之间形成了一种垂直的尺度治理模式。国家主要通过尺度下推进行大政方针的传达、实施以及重大项目的建设计划,西藏各级政府主要是运用尺度上推的方式提出政治、社会及经济方面转型与发展的客观诉求。而内地援藏力量属于自发自愿的支援西藏建设,这与国家、西藏各级政府形成了源于民间的水平尺度,实质上是对国家援藏的一种补充。

4.2 改革开放时期:1995—2004年

国家通过单位空间、公共服务设施、公用设施、产业发展、基础设施等方面的大量资金支持进行尺度下推,地方政府根据发展实际需求进行城市建设,促进了城市空间的扩展。上海市、山东省通过高档住宅小区、商业、单位、基础设施的建设促进了城市空间的延伸。事实上,上海、山东对城市空间的扩展是一种强化的过程,而地方也在此过程中通过直接效仿学习发达省市的建设、管理经验直接作用于城市的实际建设,通过不断的“试错”过程,进行尺度上推,促进了城市各项事业的落地实施,完善了城市功能(图6)。
图6 日喀则市2004年的城市用地结构以及国家、省级建设区

Fig.6 Urban land use in 2004 and national aiding area, provincial assistant space in Shigatse

2004年,居住、绿地、公共管理与公共服务设施、道路与交通设施仍是城市的主要建设用地类型。物流仓储、公用设施的无标度区间相较于1994年延长了,无标度区间分别为k4~k9k2~k9,对应的分形维数分别为0.895、0.869,拟合优度分别为0.861、0.881,标准误差分别为0.136、0.120。建设、居住、公共管理与服务设施、商业服务业设施、工业、道路与交通设施及绿地与广场用地分形维数分别为1.588、1.404、1.303、1.097、1.094、1.262和1.312,对应的拟合优度分别为0.991、0.986、0.975、0.958、0.942、0.995和0.956,标准误差分别为0.055、0.074、0.085、0.086、0.103、0.033和0.106(表4图4图5)。
该阶段,日喀则市发展和建设进入了规范化的发展阶段。2004年,日喀则市人民政府编制了城市总体规划。党和国家制定了进一步对口援建西藏的政策。其中,上海市和山东省作为首批援建日喀则市的直辖市和省,初步形成了国家、对口援建省(市)、日喀则市政府以及相关行业部门的“垂直—水平”结构的尺度模式。同时,城市所获取的援助多寡取决于与内地援建省(市)政府及各利益集团之间所建立的良性关系[47]。因此,国家投资、对口援建两股力量共同作用推动了日喀则市建设,形成国家—发达省市—地方三级尺度的发展模式,基础设施、公共管理与服务设施(包括企事业单位)、居住小区的用地面积继续增长。

4.3 改革开放时期:2005—2014年

2005—2014年,日喀则市实现了最快速的发展。城市空间逐渐向南扩张,主要是第一批公共管理和服务设施的南迁以及新建居住小区向南迁移,以及政府周转房的建设,带动了政府、企事业单位人员的向南居住。同时,拉日铁路的建设,拉开了整个城市发展的格局,基本确定了城市发展的边界。这个时期,主要是基础设施空间的继续向南蔓延,居住用地空间继续扩展,工业和物流空间的兴起,促进了城市空间的蔓延。国家通过资金支持,促进了单位空间、公共服务设施以及政府公租房等的南迁,并进行城北工业园区建设和河东新区建设,促进了城市空间扩展。同时,对口援建省市(上海、山东、黑龙江和吉林)通过资金、项目、技术、人才、招商引资等服务于园区、新区的规划建设(图7)。对口援建省市建设了上海路、山东路、黑龙江路以及吉林路,确立了城市的新“骨架”,并为城市配套了绿化、亮化等设施,提升了城市的人居环境质量。而且,对口援建省市在工业园、新区发展规划建设的基础上,依托当地资源优势,引进大型企业进驻园区,通过“园区—企业、产业—基地”的模式,激发城市经济发展活力。同时,日喀则市政府通过援藏力量启动了新一轮的城市总体规划和历史文化名城保护规划。由此,中央政府和省市援藏力量显然进一步加强了前期的“垂直—水平”结构的尺度模式,即中央、援建省市、日喀则市政府及其相关行业部门所组成的等级与关系尺度联盟建构了关于日喀则城市发展与空间演化相对一致的话语,如各级政府注重(民族)产业发展和实施产城融合发展战略等。
图7 日喀则市2014年的城市用地结构以及国家、省级建设区

Fig.7 Urban land use in 2014 and national aiding area, provincial assistant space in Shigatse

2014年,居住、工业、公共管理与公共服务设施及道路交通设施用地占城市总建设用地的主体部分。其中,工业用地的分形维数超过了公共管理和公共服务设施的分形维数。所有功能用地的无标度区间均为k1~k9。建设用地的分形维数为1.574,拟合优度为0.991,标准误差为0.053。居住、公共管理与公共服务设施、商业服务业设施、工业、物流仓储、道路与交通、公用设施以及绿地与广场用地的分形维数分别为1.421、1.287、1.219、1.295、1.025、1.279、0.840和1.241,对应的拟合优度分别为0.983、0.975、0.977、0.970、0.912、0.993、0.863和0.947,对应的标准误差分别为0.062、0.076、0.070、0.086、0.120、0.038、0.126和0.111(表4图4图5)。

4.4 改革开放时期:2015—2016年

2015—2016年,响应国家“六城共创”,日喀则市启动了新一轮城市总体规划,推进卫生、生态、森林、科技城等建设,达成扶贫攻坚、全面小康、生态安全等目标,其发展主要表现为内部调整或填充过程,如功能提升、旧城更新、产业升级、风貌改造等。这个时期,主要通过工业、物流、公用设施空间的调整以及老旧居住区的升级改造,城市发展战略转向绿色、文明、和谐、生态建设方向(图8),如关闭了不适宜的工业,鼓励发展藏药产业、民族特色手工业等。
图8 日喀则市2016年的城市用地结构以及国家、省级建设区

Fig.8 Urban land use in 2016 and national aiding area, provincial assistant space in Shigatse

2016年,居住、公共管理与公共服务设施、工业、道路与交通设施、绿地、商业与服务业设施、公用设施及物流仓储用地的分形维数依次递减。建设用地以及各功能用地的无标度区间均为k1~k9。建设用地的分形维数为1.592,拟合优度为0.996,标准误差为0.036。居住、公共管理与公共服务设施、商业服务业设施、工业、物流仓储、道路与交通设施、公用设施以及绿地与广场用地的分形维数分别为1.410、1.309、1.178、1.300、0.915、1.288、0.958和1.212,对应的拟合优度分别为0.986、0.977、0.979、0.966、0.884、0.996、0.895和0.932,标准误差分别为0.062、0.074、0.065、0.091、0.125、0.029、0.124和0.124(表4图4图5)。
国家投资主要用于城市空间中单位、公共服务设施等的修缮、改扩建,城市街道两边建筑物的风貌改造,历史文化核心区的功能提升以及棚户区改造。同时,国家投资也用于城市污水管网的维修以及公用、安全、环境、供应设施等建设。旨在促进城市功能合理、设施优化、环境优美、风貌具有后藏文化特色。另外,城市空间进入扩展的瓶颈期,政府积极规划文化创意园区、开发开放实验区进行尺度重建。对口援建在该阶段是一种尺度强化与固定的综合过程:一方面对吉林路、黑龙江路和贡觉林路进行功能提升的改造,另一方面对园区和实验区规划提供人才、技术、咨询等方面的服务。
这个时期,日喀则的城市发展与空间演化是一种以各级政府、国有企业、私有企业之间形成的一种城市增长联盟——由政府主导的等级化尺度模式向多个不同实施主体之间所形成的网络化且扁平化的尺度模式转型。城市的空间演化更多体现在内部更新和特色塑造以及尺度重构,旨在促进城市空间的合理、有序和生态化的发展。城市建设更强调宜居和宜业,注重绿色发展,如珠峰开发开放实验区建设、物流中心建设、棚户区改造、社会福利设施建设、绿地广场建设、公共厕所及停车场建设等。城市景观塑造和面貌更注重民族文化在城市空间中的展示,如文体活动场地。这些大型建设项目/计划往往由地方政府根据城市发展需要并结合国家发展战略先进行地方论证或立项,后通过尺度上移向国家和对口援藏省(市)申报,再通过尺度下移方式进行投资或建设,即市政府进行招投标,私有或国有企业可参与建设。事实上,援藏力量促进了发达省(市)的知识、技术、资本、先进理念和社会治理思想等向日喀则等西藏城市的溢出,这是一种尺度下推。这使得各级政府与企业之间基于尺度重组,形成了一个内外连接、日益复杂化的立体化网络。

5 结论

理论上,中央政府、援藏省市、(西藏)城市的不同等级之间所进行的尺度上推、下推、固定及跳跃,有效推动了西藏城市发展和空间演化的尺度生产和重构,促成了中央—东部发达省市/央企—西藏地方的尺度模式,即中央—东部发达省市—(西藏)地方垂直治理模式和中央政府—中央企业/东部发达省市—(西藏)地方组成的协调治理联盟。通过实施尺度政治及尺度重构策略,中央政府实现了对西藏地方发展的深度干预,即国家通过推行垂直、水平及跨部门、跨地域协作以及推行规模、等级及关系尺度政治的治理模式,实现了西藏城市发展及空间扩展的尺度生产、跳跃及重构。
实践上,国家投资、援藏投资对促进日喀则经济发展和建成区面积扩张具有显著的相关性,但不同发展时间段具有不同程度的相关性。而且,两者对促进城市经济发展和建成区扩张具有合力作用。整体上,国家投资大于援藏投资对城市发展及空间扩展的效应。1959—2016年是城市空间不断进行功能填充及城市更新的过程。1959年,仅可识别出居住、商业服务业设施、道路与交通;1994年新增加了公共管理与服务设施、工业、物流仓储以及公用设施用地;2004年,居住、绿地、公共管理与公共服务设施、道路与交通设施仍是城市的主要建设用地类型。2005—2014年,城市空间逐渐向南扩张,主要是基础设施空间的继续向南蔓延,居住用地空间继续扩展,工业和物流空间的兴起,促进了城市空间的蔓延。2014年,工业用地的分形维数超过了公共管理和公共服务设施的分形维数。2015—2016年,主要通过工业空间、物流空间、公用设施空间的调整以及老旧居住区的升级改造,城市发展转向了绿色和生态建设阶段。2005—2014年,城市空间扩展变化幅度、变化速度最大,且其空间扩展特征存在时空差异性。
计划经济时期,日喀则市在国家—地方两级尺度治理模式上,国家投资建设的一批行政单位、公共服务等构筑物促进了城市空间扩展和结构变化,城市社会经济形态也从封建农奴制的传统模式转变为社会主义计划经济模式。改革开放以来,国家投资、对口援建两股力量共同作用来推动城市建设,形成了国家—发达省市—地方三级尺度发展模式,基础设施、公共管理与服务设施(包括企事业单位)、居住小区的用地面积继续增长。并且,对口援建对城市空间扩展是一种强化过程。日喀则市在此过程中通过直接效仿和学习发达省市的建设、管理经验,通过不断的“试错”过程进行尺度生产和重构,促进了城市的现代化建设和发展转型。事实上,日喀则市城市发展与空间演化的尺度模式已由最初的“垂直—水平”结构发展到当代的立体化的多元网络结构。
[1]
王丰龙, 刘云刚. 尺度政治理论框架[J]. 地理科学进展, 2017, 36(12):1 500-1 509.

[2]
Macleod G, Goodwin M. Reconstructing an urban and regionalpolitical economy:on the state,politics,scale,and explanation[J]. Political Geography, 1999, 18(6):697-730.

[3]
覃学茹. 实践·物的尺度·人的尺度[J]. 中国人民大学学报, 1998(3):32-37+129.

[4]
蔡晓梅, 刘美新. 后结构主义背景下关系地理学的研究进展[J]. 地理学报, 2019, 74(8):1 680-1 694.

[5]
贺灿飞, 毛熙彦. 尺度重构视角下的经济全球化研究[J]. 地理科学进展, 2015, 34(9):1 073-1 083.

[6]
刘云刚, 叶清露, 许晓霞. 空间、权力与领域:领域的政治地理研究综述与展望[J]. 人文地理, 2015, 30(3):1-6.

[7]
赵西君. 京津冀区域协同发展的尺度政治分析与路径研究[J]. 中国市场, 2019(15):1-5.

[8]
Wood A. Comparative urban politics and the question of scale[J]. Space and Polity, 2005, 9(3):201-205.

[9]
MacKinnon D. Reconstructing scale:Towards a new scalar poli-tics[J]. Progress in Human Geography, 2010, 35(1):21-36.

[10]
王丰龙, 刘云刚. 尺度概念的演化与尺度的本质:基于二次抽象的尺度认识论[J]. 人文地理, 2015, 30(1):9-15.

[11]
王丰龙, 张衔春, 杨林川, 等. 尺度理论视角下的“一带一路”战略解读[J]. 地理科学, 2016, 36(4):502-511.

DOI

[12]
张争胜, 刘玄宇, 牛姝雅. 尺度政治视角下中菲黄岩岛争端[J]. 地理研究, 2017, 36(10):1 915-1 924.

[13]
Marston S A. The social construction of scale[J]. Progress inHuman Geography, 2000, 24(2):219-242.

[14]
殷洁, 罗小龙. 尺度重组与地域重构:城市与区域重构的政治经济学分析[J]. 人文地理, 2013, 28(2):67-73.

[15]
张永姣, 方创琳. 地域尺度重组下的我国城市与区域规划体系改革[J]. 人文地理, 2015, 30(5):9-15.

[16]
Sheppard E. The Spaces and Times of Globalization:Place,Scale,Networks,and Positionality[J]. Economic Geography, 2002, 78(3):307-330.

[17]
安宁, 马凌, 朱竑. 政治地理视野下的粤港澳大湾区发展思考[J]. 地理科学进展, 2018, 37(12):1 633-1 643.

[18]
Heynen N. Bending the bars of empire from every Ghetto forsurvival:The black panther party's radical antihunger polotics of social reproduction and scale[J]. Annals of the Association of American Geographers, 2009, 99(2):406-422.

[19]
蒋海兵, 祁毅, 李传武. 中国城市高速铁路客运的空间联系格局[J]. 经济地理, 2018, 38(7):26-33.

DOI

[20]
申庆喜, 李诚固, 孙亚南, 等. 基于用地与人口的新城市空间演变及驱动因素分析——以长春市为例[J]. 经济地理, 2018, 38(6):44-51.

DOI

[21]
牟凤云, 张增祥. 城市扩展与空间形态演化动力机制的研究进展[J]. 重庆交通大学学报:自然科学版, 2008(5):826-830.

[22]
杨永春. 中国西部河谷型城市的发展和空间结构研究[D]. 南京: 南京大学, 2003.

[23]
滕明政. 习近平的国家治理现代化思想研究——推进国家治理体系和治理能力现代化[J]. 大连理工大学学报:社会科学版, 2018, 39(1):1-8.

[24]
Chien S. Economic freedom and political control in Post-MaoChina:a perspective of upward accountability and asymmetric decentralization[J]. Asian Journal of Political Science, 2010, 18(1):69-89.

[25]
陈彦光, 刘继生. 城市系统的内部—外部复杂性及其演化的Stommel图[J]. 经济地理, 2007, 27(1):26-29,21.

[26]
Yang Y C, Meng Q M, Mc C C, et al. Effects of path dependen-cies and lock-ins on urban spatial restricting in China:A historical perspective on government’s role in Lanzhou Since 1978[J]. Cities, 2016(56):24-34.

[27]
王博祎, 李郇. 深港边界地区的尺度重组研究——以前海地区为例[J]. 人文地理, 2016, 31(3):88-93.

[28]
林毅夫. 新结构经济学的理论基础和发展方向[J]. 经济评论, 2017(3):4-16.

[29]
陈彦光. 城市形态的分维估算与分形判定[J]. 地理科学进展, 2017, 36(5):529-539.

DOI

[30]
杨永春, 宋美娜, 史坤博, 等. 渐进制度变迁模式下中国城市转型测度的空间分异[J]. 地理科学, 2016, 36(10):1 466-1 473.

[31]
Ma L J C. Urban administrative restructuring,changing scalerelations and local economic development in China[J]. Political Geography, 2005(24):477-497.

[32]
杨永春. 中国模式:转型期混合制度“生产”了城市混合空间结构[J]. 地理研究, 2015, 34(11):2 021-2 034.

[33]
朱晓华, 李加林, 杨秀春, 等. 土地空间分形结构的尺度转换特征[J]. 地理科学, 2007, 27(1):58-62.

[34]
Pesqueira L, Glasbergen P. Playing the politics of scale:Ox-fam's intervention in the roundtable on sustainability Palm oil[J]. Geoforum, 2013(45):296-304.

[35]
Weller S. Strategy and the contested politics of scale:Air trans-formation in Australi[J]. Economic Geography, 2007, 83(2):137-158.

[36]
Cox K R. Spaces of demendence,spaces of engagement andthe politics of scale,or:looking for local politics[J]. Political Geography, 1998, 17(1):1-23.

[37]
Smith C M, Kurzt H E. Community gardens and politics ofscale[J]. The Geographical Review, 2003, 93(2):193-212.

[38]
王雪然. 对“三驾马车”拉动我国经济增长结构性突变的实证分析[J]. 时代金融, 2017(32):12-14.

[39]
王磊. 中国“边缘城市”的崛起——以武汉东湖新技术开发区为例[J]. 中国名城, 2015(12):40-46,58.

[40]
汪劲柏. 发展型政府与大规模城镇开发的治理——“两次价值循环”理论的提出[J]. 城市规划, 2016, 40(6):14-22.

[41]
Allen M G. Islands, extraction and violence:Mining and thepolitics of scale in island Melanesia[J]. Political Geography, 2017(57):81-90.

[42]
Silvey R. Transnational migration and the gender politics ofscale:Indonesian domestic workers in Saudi Arabia[J]. Singapore Journal of Tropical Geography, 2004, 25(2):141-155.

[43]
Engels B. Contentious politics of scale:The global food pricecrisis and local protest in Burkina Faso. Journal of Social,Cultural and Political Protest, 2015, 14(2):180-194.

[44]
Park B. Politics of scale and the globalization of the south Ko-rean automobile industry[J]. Economic Geography, 2003, 79(2):173-194.

[45]
Prytherch D L. Urban planning and a Europe transformed:Thelandscape politics of scale in Valencia[J]. Cities, 2003, 20(6):421-428.

[46]
Tynkkynen N. Baltic sea environment,knowledge and the poli-tics of scale[J]. Journal of Environmental Policy & Planning, 2015, 17(2):201-216.

[47]
Cameron J, Hicks J. Performative research for a climate poli-tics of hope:Rethinking geographic scale,“impact” scale,and markets[J]. Antipode, 2014, 46(1):53-71.

[48]
许志桦, 刘开智. 回归后香港城市发展的尺度重组:以广深港高速铁路香港段项目的规划过程为例[J]. 地理学报, 2019, 74(2):253-265.

DOI

[49]
何君.坚定不移贯彻中央援藏工作方针, 努力推进日喀则实现跨越式发展[N]. 青岛日报, 2006-09-11(001).

[50]
帕巴公觉, 张泽, 陈清泰, 等. 政协委员同党和国家领导人共商国是[N]. 人民政协报, 2003-03-05(B02).

[51]
中国建筑科学研究院. 日喀则市城市总体规划(2016—2035)(说明书)[R]. 日喀则市人民政府, 2016(12):159-160.

[52]
温军. 民族与发展:新的现代化追赶战略[D]. 北京: 清华大学, 2001.

[53]
杨永春, 孙燕, 李建新, 等. 藏、汉对比视角下的城市空间环境认知研究——以中国西藏日喀则市为例[J]. 地理科学, 2019, 39(2):334-341.

DOI

[54]
Yang Y C, Sun Y, Wang W W. Cultural adaptive differencesand its influencing factors:Taking Shigatse City,Tibet,China as an example[J]. Sustainability,doi:10.3390/su11071956.

[55]
马戎. 重思援藏项目的经济和社会效益——为靳薇《援助政策与西藏经济发展》序[J]. 青海民族研究, 2011, 22(4):61-64.

[56]
王莎莎, 江峰, 王文鹏. 基于相对决策熵与加权相似性的粗糙集数据补齐方法[J]. 计算机科学, 2014, 41(2):245-248.

[57]
陈彦光, 周一星. 城市化Logistic过程的阶段划分及其空间解释——对Northam曲线的修正与发展[J]. 经济地理, 2005(6):817-822.

[58]
陈彦光. 中国城市发展的自组织特征与判据——为什么说所有城市都是自组织的?[J]. 城市规划, 2006(8):24-30.

[59]
陈彦光, 刘继生. 城市形态分维测算和分析的若干问题[J]. 人文地理, 2007(3):98-103.

[60]
冯健. 杭州城市形态和土地利用结构的时空演化[J]. 地理学报, 2003(3):343-353.

[61]
胡佳, 张维, 李玉桦. 土地利用变化及社会经济驱动因子分析——以广元市剑阁县为例[J]. 西南农业大学学报:社会科学版, 2012, 10(11):12-14.

[62]
宋长青, 程昌秀, 史培军. 新时代地理复杂性的内涵[J]. 地理学报, 2018, 73(7):1 204-1 213.

[63]
罗宏宇, 陈彦光. 城市土地利用形态的分维刻画方法探讨[J]. 东北师大学报:自然科学版, 2002(4):107-113.

[64]
刘继生, 陈彦光. 河南省城镇体系空间结构的多分形特征及其与水系分布的关系探讨[J]. 地理科学, 2003(6):713-720.

[65]
刘云刚, 叶清露. 区域发展中的路径创造和尺度政治——对广东惠州发展历程的解读[J]. 地理科学, 2013, 33(9):1 029-1 036.

[66]
卢汉龙, 吴书松. 社会转型与社会建设[M]. 上海: 上海社会科学院出版社, 2009.

[67]
曾璐. 水资源跨域治理中的政府责任研究[J]. 经济研究导刊, 2018(8):178-179,196.

[68]
杨晓光, 樊杰, 赵燕霞. 20世纪90年代中国区域经济增长的要素分析[J]. 地理学报, 2002(6):701-708.

[69]
陆铭, 刘雅丽. 区域平衡发展:中国道路的“空间政治经济学”思考[J]. 广西财经学院学报, 2019, 32(4):1-10.

[70]
张红梅. 当代中国少数民族经济发展政策研究——兼论西部大开发战略对民族经济政策的完善和发展[D]. 北京: 中央民族大学, 2004.

[71]
Gu C L. Urbanization:Processes and driving forces[J]. Sci-ence China Earth Sciences, 2019(62):1-10.

[72]
李国政, 彭红碧. 西藏共享型经济发展方式的路径选择——基于“全国援藏”的视角分析[J]. 当代经济管理, 2010, 32(8):65-70.

[73]
Brenner N. The urban question as a scale question:Reflectionson Henri Lefebvre,urban theory and the politics of scale[J]. International Journal of Urban and Regional Research, 200, 24(2):361-378.

[74]
Gu C L. Urbanization:Positive and negative effects[J]. Sci-ence Bulletin, 2019(64):281-283.

文章导航

/