三农、土地与生态

基于NDVI的中国海岛县生态系统服务价值时空变化

  • 崔旺来 , 1 ,
  • 奚恒辉 1, 2 ,
  • 蔡莉 1 ,
  • 陈梦圆 1 ,
  • 徐成磊 3
展开
  • 1.浙江海洋大学 经济与管理学院,中国浙江 舟山 316022
  • 2.浙江海洋大学 海洋科学与技术学院,中国浙江 舟山 316022
  • 3.中国海洋大学 国际事务与公共管理学院,中国山东 青岛 266100

崔旺来(1964—),男,甘肃通渭人,硕士,教授,研究方向为海洋资源管理政策与技术、海岛规划与综合管理。E-mail:

收稿日期: 2020-11-27

  修回日期: 2021-06-12

  网络出版日期: 2025-04-01

基金资助

国家社会科学基金项目(20BZZ063)

教育部人文社会科学规划基金项目(19YJA810018)

Spatial and Temporal Change of Ecosystem Service Value in China's Island Counties Base on NDVI

  • CUI Wanglai , 1 ,
  • XI Henghui 1, 2 ,
  • CAI Li 1 ,
  • CHEN Mengyuan 1 ,
  • XU Chenglei 3
Expand
  • 1. School of Economics and Management,Zhejiang Ocean University,Zhoushan 316022,Zhejiang,China
  • 2. Marine Science and Technology College,Zhejiang Ocean University,Zhoushan 316022,Zhejiang,China
  • 3. School of International Affairs and Public Administration,Ocean University of China,Qingdao 266100,Shandong,China

Received date: 2020-11-27

  Revised date: 2021-06-12

  Online published: 2025-04-01

摘要

海岛是陆地生态和海洋生态的汇合,海岛县是海陆生态空间复合系统。文章基于归一化植被指数(NDVI),运用生态系统服务价值(ESV)系数法,分析了1990—2018年中国12个海岛县植被动态和生态系统服务价值的变化。 结果表明:1990—2018年,中国12个海岛县的平均NDVI在0.347~0.380之间,整体上呈下降趋势;生态系统服务价值总额从1990年的8.27亿美元下降到2018年的8.21亿美元,呈现区域差异性。长海县、长岛县、崇明区、平潭县、岱山县、洞头区、嵊泗县和东山县8个海岛县的NDVI呈下降趋势,玉环市、定海区、普陀区和南澳县4个海岛县的NDVI呈增长状态;长海县、长岛县、平潭县、岱山县、东山县、洞头区和普陀区7个海岛县的ESV呈下降趋势,南澳县、定海区、玉环市、崇明区和嵊泗县5个海岛县的ESV呈增长状态。

本文引用格式

崔旺来 , 奚恒辉 , 蔡莉 , 陈梦圆 , 徐成磊 . 基于NDVI的中国海岛县生态系统服务价值时空变化[J]. 经济地理, 2021 , 41(9) : 184 -192 . DOI: 10.15957/j.cnki.jjdl.2021.09.019

Abstract

Island is a combination of terrestrial ecology and marine ecology,and island county is a space composite system of terrestrial ecology and marine ecology. This paper analyzes the changes of vegetation dynamics and ecosystem service value in 12 island counties of China from 1990 to 2018 by using the normalized difference vegetation index (NDVI) and the ecosystem service value (ESV) coefficient method. According to the research results,the average NDVI of China's 12 island counties was between 0.347 and 0.380,showing a downward trend on the whole,and the total ESV declined from USD 827 million to USD 821 million,showing regional difference in the period from 1990 to 2018. In the period above,the NDVI of eight island counties,including Changhai County,Changdao County,Chongming District,Pingtan County,Daishan County,Dongtou County,Shengsi County and Dongshan County,shows a downward trend while that of four island counties,including Yuhuan City,Dinghai District,Putuo District and Nanao County,was on the rise. The ESV of seven island counties,including Changhai County,Changdao County,Pingtan County,Daishan County,Dongshan County,Dongtou District and Putuo District showed a downward trend while that of five island counties,including Nanao County,Dinghai District,Yuhuan City,Chongming District and Shengsi County,was on the rise. The study on the temporal and spatial variations of NDVI and ESV in China's island counties will provide scientific reference for the modernization of China's island governance system and capacity.

植被是生态系统极其重要的生态因子,植被覆盖度及其变化是反映生态系统变化的重要指标[1]。归一化植被指数(Normalized Difference Vegetation Index,NDVI)是植被生长状况及植被覆盖度的最佳指示因子,是监测地区或全球植被和生态环境的有效指标[2-3]已广泛应用于植被动力学研究[4]、植被动态分析[5]、土地覆盖变化监测[6]、生态系统评估[7]等领域。植被贯穿于生态系统的物质循环、能量流动和信息传递过程,联结大气、土壤和生物各要素[8],是影响生态系统服务的重要因素。生态系统服务的经济价值取决于生态系统的供给与社会需求之间的相互作用,通常使用直接利益转移方法进行量化[9]。目前,NDVI在生态系统服务价值的评估方面已得到有效应用[10],研究主要集中在森林、草地、湿地等领域,围绕海岛地区的研究相对缺乏。
海岛是陆地生态和海洋生态的汇合[11],植被是海岛岛陆生态系统的主体和构造基础[12]。每个海岛都是一个相对独立而完整的生态环境地域[13]。海岛生态系统区位特殊、空间隔离、基岩裸露[14],植被覆盖率低,生态脆弱性特征显著[15]。海岛特殊的生境、植被组成以及植被生态系统易受到多种多样的干扰[16],海岛生态系统一旦被破坏,难以自我修复,恢复和治理难度增大[16],已成为海岛生态空间管控的重要内容。在海岛生态系统中,野生动物种类和数量相对稀少,植被占据着主体地位,海岛植被修复是保护和改善海岛生态系统的关键环节[17],加强对海岛地区NDVI和生态系统服务价值的研究显得尤为重要。
海岛县是把中国沿海的群岛、列岛或独立海岛,以有人岛群为主体,包括邻近分散的无人岛,按县级行政单元的要求组成的一个整体区域[18],是海陆的重要衔接,是海陆统筹规划的关键环节[19]。作为特殊的自然综合体,海岛县域陆地狭小,相对封闭,自成体系[20],发展呈现出经济脆弱性、环境脆弱性和社会脆弱性相互交织的状态[20-21],在一定程度上反映了中国岛屿生态环境和经济社会发展总体情况,具有典型的代表性[22-23]。学者已经对海岛生态系统服务价值展开相关研究,张天海等研究了滨海城市土地利用格局演变对生态系统服务价值的影响[24],赵江对海岛生态系统服务价值评估及其时空变化进行了探讨[25],尹锴等对海岛型城市森林景观格局及其生态系统服务进行了研究[26]。但是从NDVI的变化来探讨中国海岛县生态系统服务价值的研究还十分罕见。
本研究选取中国12个海岛县 (市、区)作为研究对象。首次将Landsat系列遥感数据应用于中国海岛县的植被分析,在时间和空间尺度上计算1990—2018年中国海岛县年平均NDVI及其变化趋势。基于NDVI的土地覆盖类型得出中国海岛县生态系统服务价值,揭示1990—2018年中国12个海岛县生态系统服务价值的变化情况及其趋势,为中国海岛治理体系和治理能力现代化提供科学参考。

1 研究区域、数据处理与研究方法

1.1 研究区域

中国是海洋大国,有海岛11 000余个[27],其中有人岛多达400多个。中国12个海岛县分布于黄海、东海和南海3个海域(图1),自北而南有长海县、长岛县、崇明区、定海区、普陀区、岱山县、嵊泗县、玉环市、洞头区、平潭县、东山县和南澳县[22,28],总共拥有大小岛屿1 738个,占全国海岛数量的26.7%,其中有居民海岛176个,占全国有居民海岛的42%[29]。各县域土地总面积达0.42万km2,人口总量为341万,人口密度为812人/km2。其中崇明区面积最大,为1 413km2,长岛县面积最小,为56.35 km2;平潭县人口密度最大,长海县人口密度最小;玉环市的GDP最高,达到580.77亿元,南澳县的GDP最低,为19.18亿元。其气候类型由北向南分布为暖温带半湿润季风性气候,暖温带大陆性季风气候,亚热带季风气候,亚热带海洋性季风气候,亚热带季风气候和南亚热带季风气候。每个海岛县的资源和环境条件不同(表1)。
图1 研究区域位置

Fig.1 The location of study areas

表1 中国海岛县面积、人口和自然环境描述

Tab.1 Description of the area,population and natural environment of China's island counties

海岛县 所在省份 面积(km2 人口(人) 气候类型 GDP(亿元)
长海县 辽宁省 120.76 71 226 暖温带半湿润季风性气候 95.00
长岛县 山东省 56.35 41 489 暖温带大陆性季风气候 74.37
崇明区 上海市 1 413.00 678 000 亚热带季风气候 351.14
嵊泗县 浙江省 80.70 74 389 亚热带海洋性季风气候 114.30
岱山县 浙江省 278.40 176 425 亚热带海洋性季风气候 215.50
定海区 浙江省 568.80 496 100 亚热带海洋性季风气候 548.93
普陀区 浙江省 459.00 393 100 亚热带海洋性季风气候 437.50
玉环市 浙江省 378.00 628 000 亚热带海洋性季风气候 580.77
洞头区 浙江省 172.50 102 000 亚热带季风气候 101.15
平潭县 福建省 319.26 451 700 亚热带季风气候 282.85
东山县 福建省 221.59 221 716 亚热带季风气候 257.68
南澳县 广东省 106.17 7 6248 南亚热带季风气候 19.18

注:数据来源于各县(市、区)2018年《国民经济和社会发展统计公报》。

1.2 数据处理

本研究中使用的遥感影像为Landsat系列产品,来源于United States Geological Survey(USGS),空间分辨率均为30 m,时间分辨率为16天。其中1990、2000、2010年的遥感影像使用的是Landsat4-5TM卫星数字产品,2018年的遥感影像使用的是Landsat8 OLI_TIRS 卫星数字产品。运用ENVI5.3软件将一年中云量少于3的遥感影像进行辐射定标、大气校正、几何校正和影像剪裁等预处理,并进行NDVI计算。随后运用ArcGIS10.2空间分析工具将一年中各期NDVI影像进行像元叠加统计,得到NDVI年度合成值。12个海岛县总共使用了216张遥感影像。此外,人口、经济、土地覆盖等相关数据来源于各海岛所在城市的国民经济和社会发展统计公报以及统计年鉴。

1.3 研究方法

1.3.1 NDVI计算

NDVI是衡量区域植被覆盖情况的常用指数,NDVI的值在[-1,1]范围内,与植被生物量呈正相关[30-31]。本研究运用ENVI5.3软件中的波段运算工具计算中国海岛县的NDVI值,运算公式如下:
N D V I = I R - R / I R + R
式中: I R为遥感影像中的近红外波段;R为红外波段。

1.3.2 基于NDVI计算ESV

不同生态系统的NDVI值不同。根据Uddin等的研究[32],森林的平均NDVI大于0.5,农地的平均NDVI为0.3~0.5,草地的平均NDVI为0.1~0.3,但贫瘠地平均NDVI小于0.1,包括湖泊,河流和建筑等[33]表2)。
表2 平均NDVI和相应的土地覆盖类型

Tab.2 Average NDVI and corresponding land type

NDVI 相应土地覆盖类型
>0.5 森林
0.3~0.5 农地
0.1~0.3 草地
<0.1 贫瘠地
根据Xie等的研究[34]计算各海岛县的生态系统服务价值(表3)。
表3 不同生态系统类型的生态系统服务价值系数

Tab.3 Ecosystem service value coefficients of different ecosystem types

土地覆盖类型 生态系统服务价值(美元/hm2·年)
沼泽/湿地 8 939.26
森林 2 168.84
灌木丛 1 089.19
草地 565.88
农地 699.37
贫瘠地 59.83
河流/湖泊 6 552.97
雪/冰川 59.83
由于表3中的系数是2003年的研究成果,且12个海岛县的区域发展差异明显,为了进一步体现生态系统服务价值的时空差异,本文对单位面积生态系统服务价值系数进行了修正。谢高地等确定1个生态服务价值当量因子的经济价值量等于当年全国平均粮食单产市场价值的1/7,且计算了2003年全国尺度1个标准当量因子的经济价值为884.90元/hm2。查阅各海岛县2019年统计年鉴相关数据,通过计算得出各海岛县2018年1个标准当量因子的经济价值(表4)。
表4 中国海岛县ESV标准当量因子

Tab.4 ESV standard equivalence factor of China's island counties

海岛县 1个标准当量因子的经济价值(美元/hm2·年)
长海县 1 371.36
长岛县 1 950.65
崇明区 2 616.03
嵊泗县 1 664.71
岱山县 1 664.71
定海区 1 664.71
普陀区 1 664.71
玉环市 2 039.94
洞头区 1 986.78
平潭县 1 805.93
东山县 2 178.95
南澳县 2 536.16

数据来源:各海岛县所在地级市2019年统计年鉴。

运用公式(2)对各海岛县生态系统服务价值系数进行修正。
V C k ' V C k = E a ' E a
式中: C k '为修正后的生态系统服务价值系数(美元/hm2·年); V C k为修正前的生态系统服务价值系数(美元/hm2·年); E a '为修正后的标准当量因子; E a为修正前的标准当量因子。修正后的各海岛县生态系统服务价值系数见表5
表5 修正后各海岛县生态系统服务价值系数

Tab.5 The revised ecosystem service value coefficient of each island county

海岛县 森林 农地 草地 贫瘠地
长海县 3 361.126 1 083.838 876.964 92.721
长岛县 4 780.933 1 541.673 1 247.411 131.888
崇明区 6 411.742 2 067.548 1 672.911 176.875
嵊泗县 4 080.110 1 315.683 1 064.557 112.555
岱山县 4 080.110 1 315.683 1 064.557 112.555
定海区 4 080.110 1 315.683 1 064.557 112.555
普陀区 4 080.110 1 315.683 1 064.557 112.555
玉环市 4 999.778 1 612.242 1 304.510 137.925
洞头区 4 869.486 1 570.228 1 270.515 134.330
平潭县 4 426.233 1 427.295 1 154.865 122.103
东山县 5 340.484 1 722.107 1 393.405 147.324
南澳县 6 215.985 2 004.423 1 621.835 171.475
运用生态系统服务价值系数,计算各海岛县生态系统服务价值:
E S V = A k × V C k '
式中: E S V是生态系统服务价值; A k=每个对应的土地覆盖类别“k”的面积(hm2)。此外,还使用倒数关系计算各海岛县ESV与人口数的关系:
E S V U S D / h e a d = E S V t o t a l N
式中: E S V t o t a l是生态系统服务总价值(美元/年);N是海岛县人口。

1.3.3 ESV敏感性分析

利用敏感性指数(Coefficient of Sensitive,CS),来确定生态系统服务价值随时间的变化对于价值系数变化的依赖程度。敏感性指数是指生态服务价值系数变化1%对生态服务价值造成的影响[25,35-36],计算公式如下:
C S = E S V j - E S V i / E S V i V C j - V C i / V C i
式中:CS代表敏感性指数; E S V i E S V j分别表示初始的生态系统服务价值和调整后的生态系统服务价值; V C i V C j分别为调整前与调整后的生态系统服务价值系数。如果CS>1,则表明ESVVC是富有弹性的,即1%的自变量变动将引起因变量大于1%的变动,则其准确度差、可信度较低;如果CS<1,则说明ESVVC是缺乏弹性的,结果是可信的。

1.3.4 基于监督分类计算ESV

为了比较基于NDVI计算出的生态系统服务价值,基于海岛县遥感影像的监督分类对土地覆盖类型进行分类从而计算各海岛县的生态系统服务价值。根据遥感影像地物的波普属性和Google Earth的影像将各海岛县的土地覆盖分为森林,草地、农地、贫瘠地(包括建筑和荒地)、水系和湿地。然后运用公式(3)计算生态系统服务价值。并通过公式(6)计算两种方法计算结果的差异性。
D R = E S V N D V I - E S V S C E S V S C
式中:DR是两种ESV计算结果的差异率(Difference rate);ESVNDVI是基于NDVI计算出的ESV结果;ESVSC是基于遥感影像监督分类计算出的ESV结果。

2 结果与分析

2.1 1990—2018年中国海岛县NDVI时空变化

1990—2018年,中国12个海岛县的平均NDVI总体呈下降趋势,下降率为8.79%(表6)。从海岛县个体来看,12个海岛县中有8个海岛县的NDVI呈下降趋势,其中长海县的下降率最大,达到45.24%,其次为长岛县和崇明区,下降率分别为37.57%、17.91%。而定海区、普陀区、玉环市、南澳县4个县的NDVI有所增长,其中,玉环市的NDVI增长率最大,达到37.71%,其次为定海区、普陀区和南澳县。
表6 1990—2018年中国海岛县NDVI变化

Tab.6 NDVI changes of island counties in China from 1990 to 2018

海岛县(市、区) 1990 2000 2010 2018 变化率(%)
长海县 0.497 0.405 0.353 0.272 -45.24
长岛县 0.384 0.458 0.464 0.239 -37.57
崇明区 0.188 0.164 0.159 0.154 -17.91
嵊泗县 0.391 0.403 0.320 0.361 -7.51
岱山县 0.382 0.509 0.471 0.327 -14.38
定海区 0.448 0.526 0.567 0.495 10.51
普陀区 0.486 0.394 0.410 0.535 10.11
玉环市 0.202 0.257 0.245 0.278 37.71
洞头区 0.253 0.172 0.210 0.218 -13.87
平潭县 0.463 0.301 0.296 0.391 -15.67
东山县 0.365 0.329 0.333 0.343 -6.12
南澳县 0.504 0.599 0.567 0.547 8.60
平均 0.380 0.376 0.366 0.347 -8.79
从空间上看,各海岛县的NDVI在分布上有显著差异(图2)。但总的来看,各海岛中央地区的NDVI值普遍较高,而海岛边缘地区的NDVI值普遍较低,这与海岛地形和生态系统特性有关,海岛边缘地区由于长期受到海风和浪潮等影响,植被覆盖率会普遍低于海岛中央地区。
图2 1990—2018年中国海岛县NDVI空间分布

Fig.2 Spatial distribution of NDVI in island counties of China from 1990 to 2018

中国12个海岛县NDVI的时空变化与人类活动和自然环境特征息息相关。下降的主要原因包括两点:一是海岛建设用地不断扩张,过度开发导致森林大面积减少,植被覆盖度整体呈现出下降趋势;二是海岛县生态系统本身比较脆弱,自我恢复能力不强,不合理开发造成的破坏,很难恢复到原来状态。而南澳县等4个海岛县NDVI值的增长离不开当地对海岛生态环境的大力保护与修复。

2.2 1990—2018年中国海岛县ESV时空变化

1990—2018年中国12个海岛县的ESV总额分别为8.27亿美元、8.10亿美元、7.89亿美元、8.21亿美元,总体上呈现“V”字形变化趋势。2010年的ESV总额低于1990、2000和2018年。最高的ESV出现在森林中,2018年森林的ESV为4.30E+8美元,低于1990、2000和2010年,草地的ESV高于农地和贫瘠地(表7)。目前,ESV在森林中有所减少,1990—2018年森林的ESV减少了0.46E+8美元,但是农地、草地和贫瘠地的ESV有所增加,农地的ESV增加了1.54%,草地的ESV增加了16.51%,贫瘠地的ESV增加了31.79%(表7)。
表7 1990—2018年中国海岛县不同生态系统的ESV变化

Tab.7 Changes in ESV of different ecosystems in island counties of China from 1990 to 2018

生态系统类型 ESV(美元/年) ESV变化(%)
1990 2000 2010 2018 1990—2000 2000—2010 2010—2018 1990—2018
森林 4.76E+08 4.64E+08 4.58E+08 4.30E+08 -2.52 -1.29 -6.11 -9.66
农地 1.30E+08 1.32E+08 9.60E+07 1.32E+08 1.54 -27.27 37.50 1.54
草地 2.12E+08 2.02E+08 2.21E+08 2.47E+08 -4.72 9.41 11.76 16.51
贫瘠地 8.65E+06 1.16E+07 1.42E+07 1.14E+07 34.10 22.41 -19.72 31.79
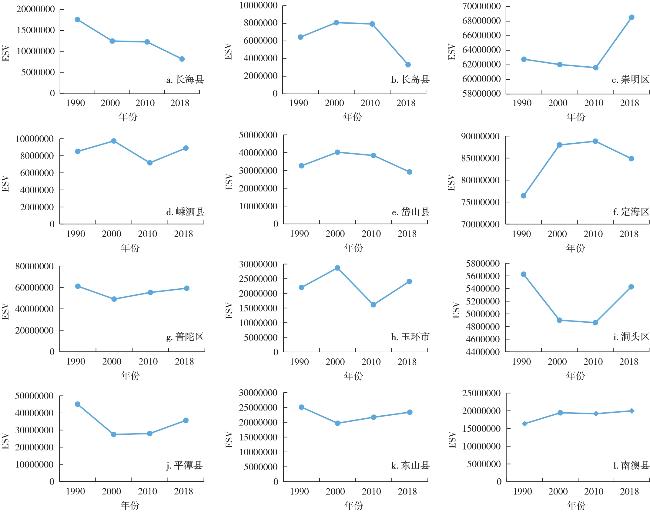
从海岛县个体来看,12个海岛县中有7个生态系统服务价值呈下降趋势(图3)。其中长海县的ESV下降幅度最大,达到53.14%,其次为长岛县,下降幅度为48.58%。此外,岱山县、普陀区、洞头区、平潭县、东山县的ESV分别下降了10.57%、3.04%、3.54%、21.02%和6.77%。而崇明区、嵊泗县、定海区、玉环市和南澳县5个海岛县的生态系统服务价值有所增长。其中,南澳县的ESV增长幅度最大,达到22.03%。崇明区、嵊泗县、定海区和玉环市的ESV分别增长了9.16%、4.55%、11.06%和9.36%。
图3 1990—2018年中国海岛县ESV变化

Fig.3 ESV changes of island counties in China from 1990 to 2018

此外,从人均ESV来看,2018年南澳县的人均ESV最大,达到750.76美元/人,其次为定海区和岱山县。此外,崇明区、普陀区和东山县的人均ESV超过了平均水平。人均ESV最低的是玉环市,仅为88.42美元/人。从经济发展和生态系统服务价值的比较来看,各海岛县的人均ESV远远少于人均GDP(表8)。
表8 1990—2018年中国海岛县生态系统服务价值、人均ESV、人均GDP(美元)

Tab.8 Ecosystem service value,per capita ESV,and per capita GDP (USD) of island counties in China from 1990 to 2018

海岛县 ESV 1990—2018年
ESV变化率(%)
2018人均ESV 2018人均GDP
1990 2000 2010 2018
长海县 2.73E+07 1.94E+07 1.91E+07 1.28E+07 -53.14 179.71 20 155.66
长岛县 1.42E+07 1.78E+07 1.75E+07 7.30E+06 -48.58 175.94 27 087.99
崇明区 1.86E+08 1.83E+08 1.82E+08 2.03E+08 9.16 298.79 7 826.41
嵊泗县 1.60E+07 1.83E+07 1.35E+07 1.67E+07 4.55 225.05 23 219.32
岱山县 6.14E+07 7.58E+07 7.23E+07 5.49E+07 -10.57 311.14 18 458.61
定海区 1.44E+08 1.66E+08 1.67E+08 1.60E+08 11.06 321.90 16 720.90
普陀区 1.15E+08 9.24E+07 1.04E+08 1.11E+08 -3.04 283.60 16 818.49
玉环市 5.08E+07 6.61E+07 3.72E+07 5.55E+07 9.36 88.42 13 975.15
洞头区 1.26E+07 1.10E+07 1.09E+07 1.22E+07 -3.54 119.47 14 985.72
平潭县 9.21E+07 5.60E+07 5.71E+07 7.27E+07 -21.02 161.04 9 462.76
东山县 6.18E+07 4.85E+07 5.34E+07 5.76E+07 -6.77 259.80 17 562.88
南澳县 4.69E+07 5.57E+07 5.50E+07 5.72E+07 22.03 750.76 3 801.30
总计 8.27E+08 8.10E+08 7.89E+08 8.21E+08 -0.80 240.67 13 640.46
从空间上看,单位面积ESV的空间分布在各个海岛县之间也显示出不同的差异(图4)。长海县东部岛屿的单位面积ESV高于西部岛屿,并且西部岛屿的单位面积ESV逐渐减少。长岛县、嵊泗县、岱山县、普陀区、洞头区和南澳县的单位面积ESV在1990—2018年变化不明显。崇明区、定海区和玉环市单位面积ESV逐渐增加。平潭县单位面积ESV逐渐减少。东山县的单位面积ESV在1990—2000年期间呈现减少趋势,而在2000—2018年又呈现出增加趋势。总体上看各海岛县的ESV空间分布呈现出中心高、边缘低的空间特征。这与海岛地形和生态系统特性有关,海岛边缘地区由于长期受到海风和浪潮等影响,植被覆盖率会普遍低于海岛中央地区,而生态系统服务价值也相对较低。
图4 中国海岛县ESV空间分布(1990、2000、2010、2018)

Fig.4 Spatial distribution of ESV in island counties of China in 1990、2000、2010、2018

1990—2018年,中国12个海岛县的ESV值在时间和空间上均有显著变化,且各海岛县之间存在较大差异。其ESV值的变化取决于海岛县当地土地覆盖状况的变化,而本文主要通过NDVI值的变化来反映土地覆盖的变化。长海县、长岛县等海岛县的ESV有显著下降趋势,主要原因是森林的ESV明显减少,而贫瘠地的ESV显著增加。南澳县等海岛县的ESV呈增长趋势,其主要原因是森林的ESV有较好的增长或回升。

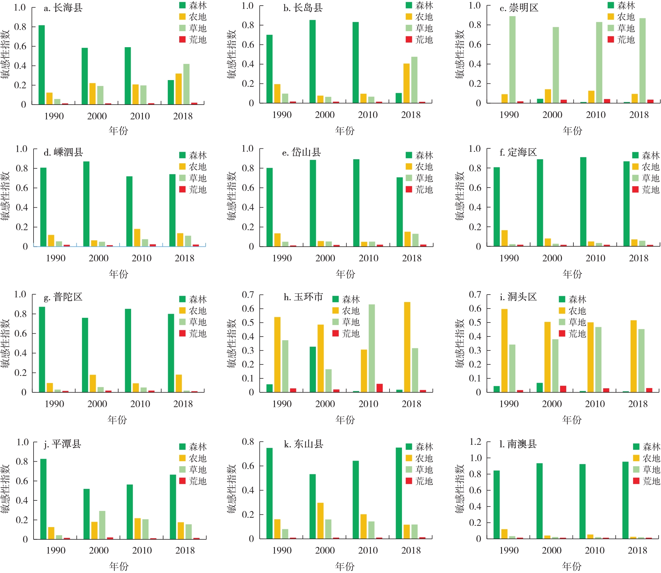
2.3 ESV敏感性分析

应用公式(5)先将各生态系统类型的生态系统服务价值系数调整50%,随后对中国12个海岛县ESV敏感性指数进行计算,得到的结果如图5所示。可以发现在长海县、长岛县等9个海岛县中森林的敏感性指数是最高的,这是由于森林的面积优势使得其在总生态系统服务价值中所占比例最大造成的。而在崇明区,草地的敏感性指数最高,在玉环市和洞头区农地的敏感性指数最高。所有的敏感性指数均小于1,也就是说研究区域的生态系统服务价值系数是缺乏弹性的,研究结果是可信的。
图5 ESV敏感性指数分析

Fig.5 ESV sensitivity coefficient analysis

2.4 基于监督分类的中国海岛县ESV比较

基于监督分类计算的1990—2018年中国海岛县ESV结果见表9。可知1990—2018年中国海岛县ESV总体呈下降趋势,从1990年的7.62亿美元/年,下降到2018年的7.54亿美元/年,这与基于NDVI计算的ESV具有相同的发展趋势。此外,基于NDVI计算的ESV比基于监督分类计算的ESV高,且差异率在4.65%~8.89%之间,其中2000年的差异率最小为4.65%,2018年差异率最大为8.89%,两种方法计算结果的差异率较小,保持在合理范围之内。
表9 两种ESV计算结果的差异性

Tab.9 Calculation results of the two type of ESV

年份 基于NDVI的ESV 基于监督分类的ESV 差异率(%)
1990 8.27E+08 7.62E+08 8.53
2000 8.10E+08 7.74E+08 4.65
2010 7.89E+08 7.43E+08 6.19
2018 8.21E+08 7.54E+08 8.89

3 结论与讨论

中国12个海岛县因空间位置不同决定了海岛生态的差异,呈现出显著的地域分化格局,突显各海岛县独具特色。结果显示:①1990—2018年,中国12个海岛县的平均NDVI呈现持续下降趋势,2/3海岛县的NDVI下降尤为明显。②1990—2018年中国海岛县ESV总额总体上呈现“V”型变化特征,最低值为2010年的7.89亿美元。③各海岛县NDVI和ESV的空间分布存在区域差异,但总体上都呈现出中心高,边缘低的空间特征。
海岛县作为海陆国土空间复合系统,已成为推进陆海统筹、保护海洋环境、维护生态平衡的重要平台。本文基于NDVI运用生态系统服务价值系数法,对中国12个海岛县的生态系统服务价值及其时空变化进行了研究,同时运用敏感性系数,验证其可靠性。该方法有较好的适用性且操作简明,具有一定的可行性和科学性,但是仍存在一些局限。
首先,Landsat系列遥感影像虽然经过辐射定标、大气校正等处理,但计算出的NDVI仍然会受到云层、水汽等影响。其次,本文运用森林、农地、草地和贫瘠地(非植被,包括所有NDVI小于0.1的土地)的NDVI值计算海岛县的ESV,但是,非植被生态系统还包括水体、建筑和湿地等不同生态系统类型,这在一定程度上限制了ESV计算的精确性。第三,目前生态系统服务价值系数法虽然已被较广泛的使用,但是其系数的科学性和可靠性仍受到一定的质疑,区域生态系统服务不仅受到自然环境的影响,还受到人类活动的影响,因此在接下来的研究中需要进一步考虑这些因素,以改进和完善生态系统服务价值评估体系。
[1]
温小乐, 李洋, 林征峰. 海岛建设引发的植被覆盖度变化的遥感分析[J]. 地球信息科学学报, 2017, 19(2):273-280.

DOI

[2]
张学霞, 葛全胜, 郑景云. 近50年北京植被对全球变暖的响应及其时效——基于遥感数据和物候资料的分析[J]. 生态学杂志, 2005(2):123-130.

[3]
胡顺石, 彭雨龙, 秦建新, 等. 长株潭城市群植被指数动态变化及城市扩展对其影响分析[J]. 经济地理, 2019, 39(12):178-186.

[4]
Panday P K, Ghimire B. Time-series analysis of NDVI from AVHRR data over the Hindu Kush-Himalayan region for the period 1982-2006[J]. International Journal of Remote Sensing, 2012, 33(21-22):6710-6721.

[5]
Gillespie T W, Ostermann-Kelm S, Dong C, et al. Monitoring changes of NDVI in protected areas of southern California[J]. Ecological Indicators, 2018, 88(5):485-494.

[6]
Han J C, Huang Y, Zhang H, et al. Characterization of elevation and land cover dependent trends of NDVI variations in the Hexi region,northwest China[J]. Journal of Environmental Management, 2019,232 (FEB.15):1037-1048.

[7]
Chu H, Venevsky S, Chao W, et al. NDVI-based vegetation dynamics and its response to climate changes at Amur-Heilongjiang River Basin from 1982 to 2015[J]. Science of The Total Environment, 2018, 650(2):2051-2062.

[8]
朱丽君, 蒙吉军, 李江风. 河北省植被覆盖变化及对生态建设工程的响应[J]. 北京大学学报:自然科学版, 2020, 56(4):755-764.

[9]
Costanza R, de Groot R, Sutton P, et al. Changes in the global value of ecosystem services[J]. Global Environmental Change, 2014,26:152-158.

[10]
He Y, Lee E, Warner T A. A time series of annual land use and land cover maps of China from 1982 to 2013 generated using AVHRR GIMMS NDVI3g data[J]. Remote Sensing of Environment, 2017,199:201-217.

[11]
张耀光, 刘锴, 江海旭. 海岛旅游资源评估与竞争力空间结构分析——以中国12个海岛(县)为例[J]. 海洋经济, 2012, 2(5):34-42.

[12]
陈思思. 中国东部典型海岛植被特征及其与环境关系的研究[D]. 上海: 上海海洋大学, 2018.

[13]
马丽卿. 海岛型旅游目的地的特征及开发模式选择——以舟山群岛为例[J]. 经济地理, 2011, 31(10):1740-1744.

[14]
崔旺来, 应晓丽, 刘超, 等. 圣地亚哥岛生态系统管理及启示与借鉴[J]. 经济地理, 2018, 38(2):172-179.

[15]
刘超, 崔旺来, 朱正涛, 等. 海岛生态保护红线划定技术方法[J]. 生态学报, 2018, 38(23):8564-8573.

[16]
胡娜胥, 徐瑞琦, 黄伟彬. 海岛植被生态系统特征概述[J]. 智库时代, 2018(24):278-279,286.

[17]
陈慧英, 汤坤贤, 孙元敏, 等. 海岛植被修复中的耐旱植物筛选及抗旱技术研究[J]. 应用海洋学学报, 2016, 35(2):223-228.

[18]
张耀光, 刘桓, 张岩, 等. 中国海岛县的经济增长与综合实力研究[J]. 资源科学, 2008, 30(1):18-24.

[19]
李鹏升, 李悦铮, 江海旭. 中国海岛县旅游综合实力研究[J]. 资源开发与市场, 2013, 29(6):666-668.

[20]
孙兆明, 李树超. 海岛县可持续发展综合评价研究——以长岛为例[J]. 海洋环境科学, 2012, 31(6):872-876.

[21]
孙兆明, 马波. 中国海岛县(区)产业结构演进研究[J]. 地域研究与开发, 2010, 29(3):6-10.

[22]
狄乾斌, 顾宸. 中国海岛县经济发展水平时空差异及其演变分析[J]. 资源开发与市场, 2017, 33(11):1354-1358,1390.

[23]
秦伟山, 孙剑锋, 张义丰, 等. 中国县级海岛经济体脆弱性综合评价及空间分异研究[J]. 资源科学, 2017, 39(9):1692-1701.

DOI

[24]
张天海, 田野, 徐舒, 等. 滨海城市土地利用格局演变及对生态系统服务价值的影响[J]. 生态学报, 2018, 38(21):7572-7581.

[25]
赵江, 沈刚, 严力蛟, 等. 海岛生态系统服务价值评估及其时空变化——以浙江舟山金塘岛为例[J]. 生态学报, 2016, 36(23):7768-7777.

[26]
尹锴, 赵千钧, 文美平, 等. 海岛型城市森林景观格局效应及其生态系统服务评估[J]. 国土资源遥感, 2014, 26(2):128-133.

[27]
中华人民共和国自然资源部. 2017年海岛统计调查公报[R/OL]. http://gi.mnr.gov.cn/201807/t20180727_2156215.html,2018-07-26.

[28]
柯丽娜, 王权明, 宫国伟. 海岛可持续发展理论及其评价研究[J]. 资源科学, 2011, 33(7):1304-1309.

[29]
张广海, 刘真真. 中国海岛县(区)产业结构演变与经济空间格局[J]. 改革与战略, 2013, 29(1):69-75.

[30]
Myneni R B, Hall F G, Sellers P J, et al. The interpretation of spectral vegetation indexes[J]. IEEE Transaction on Geoscience & Remote Sensing, 1995, 33(2):481-486.

[31]
Running S W. Estimating terrestrial primary productivity by combining remote sensing and ecosystem simulation[J]. Remote Sensing of Biosphere Functioning, 1990,79:65-86.

[32]
Uddin K, Shrestha H L, Murthy M, et al. Development of 2010 national land cover database for the Nepal[J]. Journal of Environmental Management, 2015,148 (jJan.15):82-90.

[33]
Fa Ng J, Shilong P, Jinsheng H E, et al. Increasing terrestrial vegetation activity in China,1982-1999[J]. Science in China, 2004, 47(3):229-240.

[34]
谢高地, 鲁春霞, 冷允法, 等. 青藏高原生态资产的价值评估[J]. 自然资源学报, 2003(2):189-196.

[35]
肖红克, 李洪忠, 王莉, 等. 粤港澳大湾区土地利用及生态系统服务价值的变化——以广佛肇为例[J]. 水土保持研究, 2020, 27(1):290-297.

[36]
王宁, 杨光, 韩雪莹, 等. 内蒙古1990—2018年土地利用变化及生态系统服务价值[J]. 水土保持学报, 2020, 34(5):244-250.

文章导航

/