产业经济与创新发展

区域文化视域下省域家族企业创新行为的空间关联特征

  • 唐欣 , 1, 2 ,
  • 许永斌 1
展开
  • 1.浙江工商大学 会计学院,中国浙江 杭州 310018
  • 2.湖南工学院 商学院,中国湖南 衡阳 421002

唐欣(1980—),女,湖南衡阳人,博士研究生,副教授,研究方向为家族企业、创业管理。E-mail:

收稿日期: 2020-09-03

  修回日期: 2021-06-29

  网络出版日期: 2025-04-01

基金资助

教育部人文社会科学研究规划基金项目(21YJAZH079)

国家社会科学基金项目(20BGL030)

湖南省自然科学基金面上项目(2021JJ30207)

湖南省社会科学成果评审委员会课题(XSP21YBC418)

Spatial Pattern of Family Firm Innovation Behavior from the Perspective of Regional Culture

  • TANG Xin , 1, 2 ,
  • XU Yongbin 1
Expand
  • 1. School of Accounting,Zhejiang Gongshang University,Hangzhou 310018,Zhejiang,China
  • 2. School of Business,Hunan Institute of Technology,Hengyang 421002,Hunan,China

Received date: 2020-09-03

  Revised date: 2021-06-29

  Online published: 2025-04-01

摘要

选择每个经营年度所进入的新产业种类数、新产业营业收入占企业总营业收入的比率作为家族企业创新行为的评价指标,应用2009—2017年沪市、深市、中小板、创业板上市公司中的家族企业作为样本,引入空间分析工具讨论家族企业创新行为的地区差异,结果发现:各个省域家族企业上述两个评价指标在地理空间上存在较为不同的冷热点分布,主要表现为“高—高”“低—低”“高—低”和“低—高”4种形式。接着,应用空间常系数模型分析区域文化对家族企业创新行为的作用机制,结果表明:在区域9个GLOBE文化维度中,“不确定性偏好”和“未来导向”(“恃强性”和“绩效导向”)对家族企业创新行为中“新产业种类数量”(“新产业营业收入比率”)具有显著的正向影响效应。最后构建出一个理论模型,命名为“基于四种创新态势的关联分析”,对家族企业创新行为的空间分布格局,以及区域文化影响家族企业创新行为的作用机制进行探索性的诠释。

本文引用格式

唐欣 , 许永斌 . 区域文化视域下省域家族企业创新行为的空间关联特征[J]. 经济地理, 2021 , 41(9) : 115 -124 . DOI: 10.15957/j.cnki.jjdl.2021.09.012

Abstract

The number of new industries and the ratio of business income from new industries to the total business income of enterprise have been chosen as the evaluation indicators of family firm innovation behavior. Based on the data of family firms which belong Shanghai stock market,Shenzhen stock market,small and medium board,GEM in 2009-2017,the regional difference of family firm innovation behavior is discussed by the means of the spatial analysis tool. The results show that: The above two evaluation indicators of family firm in different provinces have different distribution characteristics of cold and hot spots,which mainly presents the form of "high-high","low-low","high-low" and "low-high". Moreover,this study analyzes the action mechanism of regional culture on the family firm innovation behavior applying the spatial constant coefficient model,the results show that: Among the nine regional GLOBE cultural dimensions,"uncertainty preference" and "future orientation" ("assertiveness" and "performance orientation") have significant effect on the "number of new industries" ("the ratio of new industry business income to the total business income") in family firm innovation behavior. Finally,it establishes a theoretical model named "relevance analysis based on four kinds of innovation trends",which gives exploratory annotation to the spatial distribution pattern of family firm innovation behavior and the action mechanism of regional culture on family firm innovation behavior.

创新是我国有效转换经济发展新动能,进而促使经济持续高质量发展的关键所在,而市场内生机制驱动下民营经济的创新活动尤为活跃[1]。家族企业是民营经济中最为常见的组织形式[2],遍布于民营经济中的各类产业[3]。《中国上市家族企业创新报告2016》显示,2010—2014年,我国家族企业的研发投资年均上升8.69%,研发强度年均上升4.62%[4]。由此可见家族企业的发展亟需创新行为强有力的驱动,家族企业的创新决策及其行为也因此成为了学术界所关注的焦点[5]
一般认为,家族企业同时具备“家族所有”以及“盈利导向”两方面的属性[6],因此其创新决策以及行为也相应地会受到内部家族群体以及外部环境要素两个方面的影响。外部环境主要可以划分为制度环境和非制度环境两种,其中制度环境包括产权保护体系、研发补贴、服务机构专业水平、行业间研发投入差异等因素[7];非制度环境主要包括创新氛围、文化习俗、价值观、行为准则等因素[8]。家族群体的影响主要来源于本家族成员对经济收益和非经济收益之间如何权衡的看法,即Gomez-Mejia等所提出的社会情感财富理论[9],他们认为家族企业多数会更为重视非经济收益。
目前家族企业创新行为领域的研究成果主要有:健全的法律制度以及合理的产权保护体系能够有效促进企业加大研发投入的力度;政府补贴对企业创新活动的影响存在情境效应,未能接受政府补助的企业,可能会因为补助活动的“挤出效应”而延缓创新活动的步伐[10]。由于创新行为的不确定性和风险性,其决策者一般都是企业高层,因此企业家个人的价值观取向势必对创新行为产生影响[11],这一点也符合新熊彼特增长理论的观点,“企业家的创新精神是创新活动发生的动力源泉”[12]。而作为“沉浸”在特定地理范围中的个体[13],企业家的行为模式和心智模型一定会受到区域文化的作用。家族企业可能会为了维持家族的控制权,而忽视对企业的研发投入,从而阻碍创新活动;也可能出于成功代际传承的目的而强化研发投入强度,从而推进创新活动[14]
总结来看,目前关注家族企业创新行为影响因素的研究较多,但通常都集中在制度环境层面,并未对非制度环境的影响进行充分解释[15],特别是缺乏实证分析的结论;而家族因素影响创新行为的研究也同样少有成果。对于家族企业而言,其创新行为归根结底可以视为对自身资源的一种配置倾向,这种倾向具有较强的决策主观性和心理内生性,也即与创新决策者的心态存在莫大关联。为更有效地进行研究,我们认为如果能够找出非制度环境和企业内部特征对家族企业创新行为产生影响的重叠部分,则可以起到事半功倍的效果,因为这样就能在影响家族企业创新行为内外部因素之间架设一座“桥梁”,从更加立体化的角度来审视家族企业创新行为。
通过对目前研究成果的解析,我们认为区域文化可能就是这一研究的切入点,因为作为一种难以计量但确实存在的环境因素,区域文化属于非制度环境的范畴。实际上,当今企业的每一次变革都涉及到文化的变革[16],家族企业自然也不例外。同时作为一种能够随时对家族成员心理状态产生潜移默化影响的“氛围”,区域文化还能够诠释家族群体为何会做出特定类型的创新决策。
同时值得关注的是,目前从区位选取以及空间分布角度对家族企业创新行为开展的研究还比较罕见。考虑到家族企业跨地域扩张和异地创新行为的日益普遍,从经济地理学科对家族企业创新行为进行探讨是具有必要性和紧迫性的。实际上,不同地域家族企业创新行为及其绩效所存在的差异是明显的。比如,法国家族企业的研发投入强度平均高于非家族企业,但是创新绩效却随着家族持股比例的提升而降低[17]。而通过对47个发展中国家19 000个家族企业样本的实证研究发现,家族控制能够持续性地提升企业的创新水平[18]。同时考虑到不同地理空间上区域文化的明显差异,不难看出区域文化与家族企业创新行为在地理空间上都呈现出了“异地异样”的状况,这也就意味着二者可能有潜在的关联性。考虑到目前对区位选择背景下创新活动的研究工作多半基于省域尺度[19],本文的研究也秉承这一趋势,将省域范围作为区域文化和家族企业创新行为分析的基本地理空间尺度。
综上所述,本文选择家族企业创新行为这一活动作为研究主体,将空间分布、区域文化与家族企业创新行为三者整合到同一个研究框架之下,力求更为精确地探讨省域范围内家族企业创新行为的区位分布,并对区域文化与家族企业创新行为的关联机制进行量化分析。本文意在运用空间冷热点分析工具揭示家族企业创新行为的空间差异性,同时解析出区域文化对家族企业创新行为的影响因素及其强度,从而进一步揭示家族企业创新行为空间差异的成因机理,为家族企业跨地域扩张和异地创新的战略决策提供参考和佐证。

1 研究区域、数据及方法

1.1 研究区域及样本

由于数据获取途径的局限性,本文以省域范围(因数据收集问题,研究数据未包括港澳台地区)为地域分析单元。为保证研究数据的精确性,及实证样本间的可比性,选取家族上市公司作为研究样本,具体包括沪市、深市、中小板和创业板。本文通过对家族上市公司年报和招股说明书中的关键信息进行分类加工整理来获得创新行为的表征数据,原始数据资源包括CSMAR数据库、CCER数据库和WIND数据库。

1.2 研究的时间区间

本文将2009—2017年作为实证分析数据的时间区间,之所以选择2009年作为起点,主要考虑到中小板、创业板分别于2004、2008年启动,而环境因素对创新决策及行为的影响往往存在一定的滞后性,因此选择2009年作为定量分析的起点,既能较为精确地反映出家族企业的创新状况,又能最为有效地延长数据的横向时间跨度;之所以截止于2017年,一是截至本文实证研究伊始,保证所选取的家族上市公司至少能够经历一个完整的会计年度,从而确保各个家族企业样本在时效上的一致性,二是考虑到近几年家族企业创新行为的日新月异,涵盖时效性最新的实证样本,能更为有效地保证本文研究结论的稳健性。

1.3 家族企业创新行为的测度

熊彼特将创新具体定义为“引进一种新产品、开辟一个新市场、寻找一种原料的新来源、发明一种新生产工艺、采用一种新形式等” [20],这表示新产品的推出、新工艺的使用、新市场的进入、新客户的开发、新组织形式的使用等都可以用于表征企业的创新行为。为了确定家族企业创新行为恰当的测度指标,综合考虑了如下四个方面的因素:
首先,根据熊彼特就创新所提出“创造性毁灭”的观念,他认为“创新是一个充满激烈竞争的过程,拥有先进技术的企业推出新产品的行为一旦获得成功后,就会进一步进入新的产业,从而导致落后企业从原有市场被排挤出去” [21],这表明推出新产品和进入新产业是企业创新行为的明确表现形式。
其次,根据Bantel 等对创新的理解,“一个组织具有很强的创新性时,一般来说是指组织能够频繁地开发或者引进新的产品、项目或者服务,通过在新产业创建公司的形式达到顶峰” [22],同时借鉴Wiklund等的研究,创新创业行为未必会转换产业,然而转换产业是企业创新创业行为的突出表现形式[23]
第三,本文实证分析的样本是上市公司,目前学术界对上市公司创新投入的衡量指标主要是研发投入、技术人员比例,对创新产出的衡量指标主要是专利数量[24],这类指标往往只表征了企业创新行为内部特征,而可能忽略了只有消费者对创新产品的购买才是企业永续经营的前提,忽视了只有稳固主业基础上的新产业开发才是家族企业持续壮大的坦途。
第四,本文还要讨论区域文化与家族企业创新行为之间可能存在的关联,因此需要对家族企业决策者的“创新动机强弱”及“创新资源投入多寡”进行并行分析,也就是创新行为测度指标必须同时覆盖“创新行为发生的概率高低”以及“创新资源投入的强度水平”两个维度,而“新产业涉足数量”及“新产业营收比率”则恰好对这两个维度形成了较好的对应关系。
综合分析,本文选择家族企业经营过程中进入新产业的状况来衡量其创新行为,主要包括两个指标:第一,家族企业每个经营年度所进入的新产业种类数(以下简称为新产业种类数量);第二,家族企业每个经营年度所进入新产业总营业收入占全部营业收入的比率(以下简称为新产业营业收入比率)。
在本文原始数据收集的过程中,对家族上市公司进入新产业行为的整体状况进行了细致分析,由于篇幅所限,此处我们仅列出最终结论:家族上市公司2009—2017年时间范围内新产业营业收入比率平均为10.82%,这表明家族企业在新产业方面的投入较为谨慎,并未出现明显的盲目扩张状况;家族上市公司2009—2017年时间范围内涉足1个新产业比率为61.47%,涉足2个新产业比率为23.16%,涉足3个新产业比率为11.05%,涉足4个及更多新产业的比率为4.32%。另外值得指出的是,实证样本的统计显示,涉足2个及以下新产业的家族企业多数都会选择与其之前主业相关的产业进入,而涉足3个及更多新产业的家族企业则可能会选择一些与之前主业完全不相关的领域。
由此,为了将家族企业粗放式扩张所导致的“伪创新”行为有效地摒弃,尽可能地突出家族企业基于之前主业基础所谨慎进行的创新行为,对原始样本进行了两个方面的筛选:第一,仅保留涉足1个或2个新产业的家族企业样本;第二,根据中国证券监督管理委员会2012年10月制定《上市公司行业分类指引》[25],仅保留进入与家族企业之前所从事主业相关新产业的家族企业样本。

1.4 区域文化对创新行为作用机制的计量模型

为保证研究的谨慎性,选取Anselin的空间线性回归方程为计量模型,该回归方程一般存在两种形式:空间滞后模型(Spatial Lag Model,SLM)和空间误差模型(Spatial Error Model,SEM),实际应用过程中则需要选取其中一种。依据Anselin等提出的判别准则[26],通常做法是将拟合优度Adjusted-R2和自然对数似然函数值log L作为判断标准,这两个判断标准相对较大的模型即可视为恰当的模型。

2 家族企业创新行为的空间格局

2.1 家族企业创新行为的量化评价

新产业种类数量以及新产业营业收入比率的量化评价公式如下:
A = i = 1 m j = 1 n I T Q i j / m × n
B = i = 1 m j = 1 n I O R i j / m × n
式中: A指某个省域在2009—2017年新产业种类数量的加权平均值; B指某个省域在2009—2017年新产业营业收入比率的加权平均值; i = 1,2 , m,指2009—2017年的时间段; j = 1,2 , n,指某个省域范围内上市家族企业的数量; I T Q i j指该省域范围内第 j个家族企业在第 i年的新产业种类数量; I O R i j指该省域范围内第 j个家族企业在第 i年的新产业营业收入比率。将2009—2017年家族企业的样本数据代入公式(1)和公式(2)中计算,分别得出各省域家族企业创新行为评价指标的具体数值以及排名,见表1
表1 省域范围内家族企业创新行为评价指标数值及排名(2009—2017年)

Tab.1 Evaluating indicators value and ranking of innovation behavior of family firm at provincial level(2009-2017)

地区 省区 家族企业
新产业种
类数量(个)
排名 家族企业新
产业营业收
入比率(%)
排名
华东地区 上海 1.37 5 14.63 5
山东 1.02 14 15.84 2
江苏 1.51 3 13.91 6
安徽 1.14 12 15.07 3
江西 0.62 24 13.76 8
浙江 1.42 4 9.92 17
福建 1.56 2 12.08 13
华南地区 广东 1.62 1 16.93 1
广西 1.34 7 8.01 20
海南 0.95 15 7.73 21
华北地区 北京 1.33 8 13.06 9
天津 1.27 10 12.13 12
河北 0.63 23 9.43 19
山西 0.89 16 12.17 11
内蒙古 0.54 26 6.92 25
华中地区 河南 0.86 17 13.85 7
湖北 1.15 11 15.02 4
湖南 1.06 13 12.21 10
西南地区 重庆 1.30 9 12.04 14
四川 0.52 27 5.63 27
贵州 1.35 6 7.05 24
云南 0.68 22 10.13 15
西藏 0.73 20 9.82 18
东北地区 辽宁 0.51 28 4.73 28
吉林 0.84 18 6.32 26
黑龙江 0.55 25 10.05 16
西北地区 甘肃 0.70 21 7.43 22
陕西 0.81 19 7.28 23

注:因数据收集问题,未包括港澳台地区;因青海、新疆和宁夏3个省份在所选择的时间段内未检索到有涉足新产业行为的家族企业,故未计入本次研究范围。

2.2 省域家族企业创新行为的地理空间分布

采用ArcGIS自然间断点分级法对省域范围内家族企业创新行为进行等级分类(图1)。省域范围内家族企业的创新行为存在明显的地区差异和空间集聚,且新产业种类数量和新产业营业收入比率这两个评价指标出现了较为不同的冷热点分布,二者既有相互重叠的部分,比如广东的“高—高”(新产业种类数达1.62个,新产业营业收入比率达16.93%)以及辽宁的“低—低”(新产业种类数仅0.51个,新产业营业收入比率仅4.73%),也存在迥然不同的部分,比如浙江的“高—低”(新产业种类数达1.42个,新产业营业收入比率仅9.92%)以及江西的“低—高”(新产业种类数仅0.62个,新产业营业收入比率达13.76%)。
图1 省域家族企业创新行为等级分类的空间分布(2009—2017年)

Fig.1 The spatial distribution of family firm innovation behavior grade classification at provincial level in 2009-2017

那么同样是创新行为,为何不同省域范围内家族企业在“创新的横向跨度”(也即新产业种类数)和“创新的纵向深度”(也即新产业营业收入比率)之间的表现存在明显的不同?毋庸置疑的是,两种评价指标空间格局上的不同表现应当存在着其对应的影响因素,而该影响因素必定是一种复杂系统。考虑到区域文化对创新行为可能的影响效应,本文选择区域文化作为切入点来探讨家族企业创新行为空间分布的前因变量构成。

2.3 省域文化的地理空间分布

从研究成果梳理来看,目前区域文化领域较为权威的成果是赵向阳的论文[27],该文较为完整地计量了GLOBE文化习俗体系下我国各省域的文化特征。本文接受这种主流观点,并将黄河中下游、长江中下游、西南山地、农耕—游牧接壤、雪域高原、东南沿海海洋性和国际化大都市7个文化圈标识在图2中。
图2 省域文化的空间分布

Fig.2 The spatial distribution of provincial culture

图2所示,区域文化存在明显的地理差异和空间集聚,并且相邻区域的文化特征基本趋同(即相同文化类型不太存在地理空间上的跳跃性),这一点与家族企业创新行为特征存在差异。考虑到家族企业往往在其发源地经营甚久,受到当地文化习俗的影响很深,其创新决策和行为必定存在与区域文化的关联[8]。那么为何图2图1之间的差异如此明显呢?考虑到图2实际上描述的是GLOBE文化习俗体系的整体性结果,而GLOBE文化包含了9个不同的维度,因此我们设想可能GLOBE文化中只有一个或几个文化维度对家族企业的创新行为产生了影响,并且对新产业种类数量和新产业营业收入比率产生影响的GLOBE文化维度也应当有所不同,下文将结合Anselin的空间线性回归方程来验证这一假设。

3 区域文化与家族企业创新行为的关联机制

3.1 变量选择

考虑到数据可得性,并参阅相关文献[8,28,29],本文选择了GLOBE文化习俗中9个维度作为自变量,分别以省域范围家族企业进入新产业种类数量、新产业营业收入比率作为因变量,组成2个量化模型进行实证分析。需要指出的是,根据相关研究成果[27,29],对于家族企业创新行为而言,“不确定性规避”相对其他指标而言属于反向指标,因此为了保持下文计算过程的规范以及理论推演过程中行文方便,我们将“不确定性规避”这一反向指标进行逆向调整(即用7点量表中的7减去各省域的“不确定性规避”计量值),并命名为“不确定性偏好(Uncertainty Preference)”,量化模型中自变量名称及其英文缩写见表2
表2 量化模型中的解释变量选择

Tab.2 The explanatory variables in quantitative model

解释变量 英文缩写 解释变量 英文缩写 解释变量 英文缩写
不确定性偏好 UP 社会导向的集体主义 SOC 小团体集体主义 GC
未来导向 FO 人际关怀导向 HO 性别平等 GE
权利差距 PD 绩效导向 PO 恃强性 AS

3.2 实证研究

3.2.1 模型设定

首先对所有变量指标的数据进行自然对数化处理,以降低实证分析过程中可能存在的数据波动和异方差性,然后构建出空间滞后模型和空间误差模型。
其中,空间滞后模型(SLM)为:
l n E t = β 0 + β 1 l n U P t + β 2 l n F O t + β 3 l n P D t + β 4 l n S O C t + β 5 l n H O t + β 6 l n P O t + β 7 l n G C t + β 8 l n G E t + β 9 l n A S t + ρ W l n E t + ε t
式中: ρ是空间自回归系数;W是空间权重矩阵; ρ W l n E t是空间滞后变量; ε t是随机误差项。
空间误差模型(SEM)为:
l n E t = β 0 + β 1 l n U P t + β 2 l n F O t + β 3 l n P D t + β 4 l n S O C t + β 5 l n H O t + β 6 l n P O t + β 7 l n G C t + β 8 l n G E t + β 9 l n A S t + ε t , ε t = φ W ε t + μ t
式中: φ是空间误差系数,衡量了样本观测值的空间依赖关系; W ε t是空间滞后误差项。
在式(3)和式(4)中, l n E t表示省域t家族企业创新行为的测量数值,后面解释变量的自然对数值则表示省域t区域文化中各维度的水平。

3.2.2 模型选择

虽然前文研究过程并未涉及到省域范围内家族企业创新行为的空间自相关性,但为保证研究的严谨性,本文引用纳入空间自相关性的空间计量经济模型进行估计,分析区域文化与家族企业创新行为间的关联,以解析不同省域范围内家族企业创新行为呈现出差异的原因。
在时间跨度的选择方面,原理上而言应当考虑到区域文化对家族企业创新行为决策的影响可能存在的滞后性,从而将创新行为和区域文化的时间横截面数据错开1~3年[30],但是考虑到:第一,目前关于区域文化时间横截面的数据极为有限;第二,地域文化的形成需要较长时间的孕育,区域文化对当地家族企业创新行为的影响也是潜移默化和持续性的,因而可以认为区域文化对家族企业创新行为的影响具备时间横截面上的同步性,故此我们选择了与赵向阳实证分析数据相同的时间跨度,也即2010—2012年内的家族企业创新行为数据进行对应分析,实证分析数据见表3表4
表3 省域文化与家族企业创新行为空间计量回归结果(新产业种类数量,2010—2012年)

Tab.3 Regression result of provincial culture and family firm innovation behavior(number of new industries)in 2010-2012

变量 空间滞后模型(SLM) 空间误差模型(SEM)
β S t d . E t P β S t d . E t P
CONSTANT -0.02691 0.00892 -2.35438 0.00221 -0.02904 0.00881 -2.59961 0.00074
l n U P 0.00205 0.00204 0.60562 0.18529 0.09511** 0.00186 0.73857 0.12931
l n F O 0.00253 0.00259 0.79901 0.24451 0.08490** 0.00247 0.97389 0.17054
l n P D 0.08011 0.01921 3.28847 0.11417 0.01576* 0.02062 3.47865 0.05208
l n S O C 0.03807 0.00910 1.56486 0.05432 -0.02602 0.00978 1.65548 0.02480
l n H O 0.04587 0.01095 1.88364 0.06538 0.01322* 0.01183 1.99259 0.02979
l n P O 0.00041 0.00337 -0.09788 0.70974 0.01601 0.00327 0.39371 0.48635
l n G C 0.00058 0.00459 0.13175 0.95511 0.01263 0.00435 0.52964 0.65434
l n G E 0.00033 0.00282 -0.08070 0.58483 -0.01327 0.00263 0.32446 0.40078
l n A S 0.01859 0.00946 1.55249 0.03834 0.01518* 0.00987 1.13233 0.11873
ρ / φ 0.00784 0.04563 0.13564 0.68012 0.29174*** 0.10662 2.15607 0.00492
统计检验值
R 2 0.91137 0.97569
L o g L 216.89743 219.58425

注:***、**、*分别表示通过1%、5%、10%水平的显著性检验。表4同。

表4 省域文化与家族企业创新行为空间计量回归结果(新产业营业收入比率,2010—2012年)

Tab.4 Regression result of provincial culture and family firm innovation behavior(ratio of operating income of new industries to total operating income)in 2010-2012

变量 空间滞后模型(SLM) 空间误差模型(SEM)
β S t d . E t P β S t d . E t P
CONSTANT -0.04093 0.00921 -3.16637 0.00000 -0.04671 0.00871 -3.78974 0.00000
l n U P 0.03381 0.01235 -1.95168 0.00449 0.01294* 0.01329 -1.29791 0.05022
l n F O 0.05482 0.01594 2.45971 0.00042 0.01389* 0.01657 2.83089 0.00006
l n P D 0.04947 0.01446 2.22136 0.00035 0.01075* 0.01501 2.55675 0.00005
l n S O C 0.04191 0.01217 1.88214 0.00034 -0.00383 0.01268 2.16618 0.00005
l n H O 0.03809 0.01108 1.70875 0.00027 0.00927 0.01152 1.96673 0.00004
l n P O 0.00658 0.00252 1.87623 0.00621 0.08902** 0.00223 2.63669 0.00015
l n G C 0.00283 0.00103 0.79612 0.00259 0.01641 0.00091 1.11893 0.00008
l n G E -0.02302 0.00549 2.98483 0.00003 -0.02046 0.00540 2.67781 0.00013
l n A S -0.04897 0.01174 6.36356 0.00002 0.09851** 0.01158 5.70873 0.00027
ρ / φ 0.02314 0.03976 0.41647 0.40047 0.28712*** 0.09463 2.16569 0.00183
统计检验值
R 2 0.90239 0.96852
L o g L 190.62335 193.49516
表3表4可知,空间误差模型(SEM)的Adjusted-R2以及 L o g L均大于空间滞后模型(SLM),也就是其空间效应更多地体现在误差项上。因此本研究选择SEM模型作为基准模型,分析区域文化中各设定变量对省域范围内家族企业创新行为的具体影响程度。

3.2.3 实证结果分析

第一,因变量为“新产业种类数量”的SEM模型回归结果显示:区域9个GLOBE文化维度中,“不确定性偏好”和“未来导向”的影响程度最高,其影响系数分别为0.09511和0. 08490,并都通过了5%的显著性水平检验,并且二者对“新产业种类数量”的影响程度占到了全部9个文化维度的83.41%,这就表明“不确定性偏好”和“未来导向”对家族企业选择进入更多新产业的行为产生了直接的影响。
第二,因变量为“新产业营业收入比率”的SEM模型回归结果显示:区域9个GLOBE文化维度中,“恃强性”和“绩效导向”的影响程度最高,其影响系数分别为0.09851和0.08902,并都通过了5%的显著性水平检验,并且二者对“新产业营业收入比率”的影响程度占到了全部9个文化维度的82.79%,这就表明“恃强性”和“绩效导向”对家族企业提高其新产业营业收入比率的行为产生了直接的影响。
上述实证分析数据初步表明,GLOBE文化习俗中“不确定性偏好”和“未来导向”(“恃强性”和“绩效导向”)可能存在着对家族企业创新行为中“新产业种类数量”(“新产业营业收入比率”)的直接影响效应。
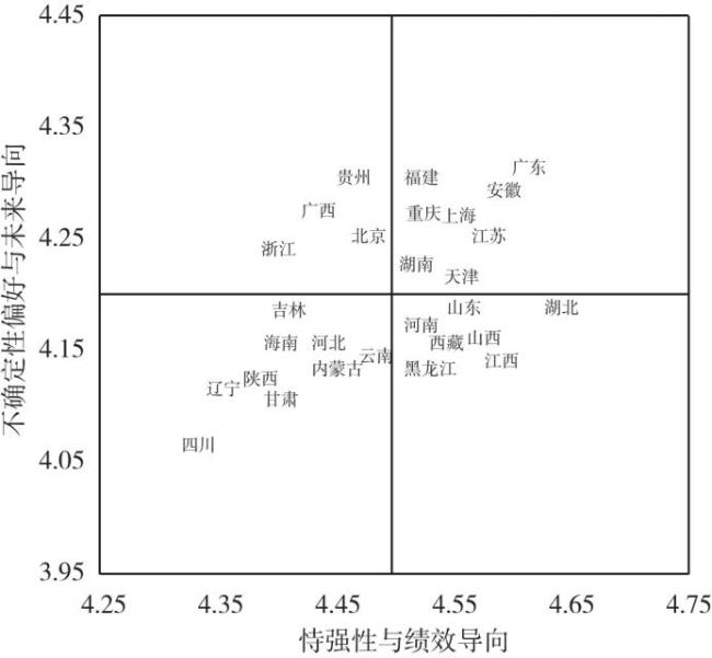
为进一步验证该论点并保持本研究的严谨性,根据省域范围内区域9个GLOBE文化维度以及家族企业创新行为的基础数据,绘制散点图,具体方法为:图3中的纵坐标为“不确定性偏好”和“未来导向”数值的平均值,横坐标为“恃强性”和“绩效导向”数值的平均值,然后将本研究所涉及的省域标示在4个象限之中。图4中的纵坐标为家族企业所进入新产业数量的加权平均值(即效率优势指标),并以“1个新产业”作为中位数,横坐标为家族企业新产业营业收入比率的加权平均值(即规模优势指标),并以“10%”作为中位数,同样地将本研究所涉及的省域标示在4个象限之中。
图3 2010—2012年各省区域文化分布图

Fig.3 Regional culture distribution at provincial level in 2010-2012

图4 2010—2012年各省家族企业创新行为分布图

Fig.4 Distribution of family firm innovation behavior at provincial level in 2010-2012

图3图4中各个省域的分布来看,两个图之间的省域分布存在着较好的契合度,再次证明了区域9个GLOBE文化维度中,“不确定性偏好”和“未来导向”(“恃强性”和“绩效导向”)与家族企业创新行为中“新产业种类数量”(“新产业营业收入比率”)之间的对应关系。

4 区域文化影响家族企业创新行为的解释:一个理论模型的构建

前文实证研究可见,省域范围内家族企业创新行为在“新产业种类数量”和“新产业营业收入比率”这2个分别代表创新效率和创新规模的指标上存在着“高—高”“低—低”“高—低”和“低—高”4种类型。区域文化中的“不确定性偏好”“未来导向”“恃强性”和“绩效导向”等维度对家族企业创新行为存在显著的影响效应。为了对这两种现象进行解释,本文构建出了一个理论模型,命名为“基于四种创新态势的关联分析”,尝试进行探索性的诠释。

4.1 家族企业创新行为不同类型的诠释

图5所示,将家族企业创新状况按照“新产业种类数量”和“新产业营业收入比率”这两个评价指标的高低区分为4个象限,图中进取型创新对应“高—高”类型,保守型创新对应“低—低”类型,尝试型创新对应“高—低”类型,延伸型创新对应“低—高”类型。这一结果表明家族企业创新行为会随着时间的推移,逐步在效率指标(所进入新产业种类数)和规模指标(新产业营业收入比率)这两个维度上形成4种不同的创新态势。
图5 上市家族企业创新态势的二维分析矩阵

Fig.5 Two-dimensional analysis matrix of innovation situation of listed family firm

4.2 区域文化与家族企业创新行为关联的诠释

借鉴区域文化相关研究成果[27,29],恃强性描述的是“在多大程度上个体在社会交往中表现出恃强、直面冲突和进取性的特点”,因此可以认为恃强性能够代表家族企业决策者大幅度转移经营重心到新业务上的决心;而不确定性规避描述的是“在多大程度上社会成员通过社会规范、仪式和规章制度等减少对未来事件的不确定性”,不确定性偏好是它的反向指标,因此可以认为不确定性偏好能够代表家族企业决策者锐意进取,探究新产业发展模式的决心。将“恃强性”和“不确定性偏好”归类为区域文化与家族企业创新行为产生关联的动机层面,绘制出“区域文化导致创新行为的二维分析矩阵(动机层面)”(图6),篇幅所限我们仅诠释尝试型创新:当不确定性偏好水平较高,恃强性水平却较低时,家族企业可能会倾向于试探更多的新产业类型,但不会进行较大规模的投资,也即采取尝试型创新行为。
图6 区域文化影响创新行为的二维分析矩阵(动机层面)

Fig.6 Two-dimensional analysis matrix of regional culture affecting innovative behavior(motivation level)

借鉴区域文化相关研究成果[27,29],未来导向描述的是“在多大程度上社会鼓励成员采用计划、投资未来和延迟满足等行为”,因此可以认为未来导向代表了家族企业决策者能够摒弃对短期绩效的追求,转而探寻在未来更有潜力的利润增长点;而绩效导向描述的是“在多大程度上社会鼓励自己的成员追求更卓越的业绩”,因此可以认为绩效导向代表了家族企业决策者对单纯绩效表现的追求,无论其来自于短期还是长期。本文将“未来导向”和“绩效导向”归类为区域文化与家族企业创新行为产生关联的结果层面,绘制出“区域文化导致创新行为的二维分析矩阵(结果层面)”(图7),篇幅所限我们仅诠释延伸型创新:当未来导向水平较低,但绩效导向水平却较高时,家族企业将会囿于对绩效指标的追求,而尽量将目前已经进入的新产业规模做大,再徐图进入更多新的业务单元,也即延伸型创新行为。
图7 区域文化导致创新行为的二维分析矩阵(结果层面)

Fig.7 Two-dimensional analysis matrix of regional culture affecting innovative behavior(outcome level)

4.3 典型案例分析

上述4种创新态势概括了家族企业创新行为在不同地理区位上差异性的冷热点分布状况。同时以这4种创新态势为媒介,能够合理解释区域GLOBE文化4种维度与家族企业创新行为的关联。下面借用典型省域进行例证,因篇幅所限,仅选择4个代表性的省域进行诠释(表5)。从表5中可以看出:第一,“不确定性偏好”的演化方向与“新产业种类数量”的演化方向保持一致,“未来导向”的演化方向也与“新产业种类数量”的演化方向保持一致,验证了前文实证分析的结论。第二,“恃强性”的演化方向与“新产业营业收入比率”的演化方向保持一致,同时“绩效导向”的演化方向也与“新产业营业收入比率”的演化方向保持一致,同样验证了前文实证分析的结论。
表5 区域文化与家族企业创新行为关联现象的诠释

Tab.5 Interpretation of the relevant phenomenon between regional culture and family firm innovation behavior

省份 区域文化 创新行为类型 创新行为评价指标
不确定性偏好 恃强性 未来导向 绩效导向 新产业种类数量 新产业营业收入比率
广东 进取型
浙江 尝试型
江西 延伸型
辽宁 保守型

5 结论与实践启示

5.1 研究结论及讨论

第一,本文将家族企业创新行为细化为“新产业种类数”和“新产业营业收入比率”,证实了家族企业这两个维度在地理空间分布上存在不同的冷热点分布。这一点相对于之前研究而言是一种有益的补充:现有成果一般是将区域范围内创新行为视为一个同质化的整体进行探讨。然而本研究结果显示,区域范围内企业的创新行为可能是一个蕴含内容丰富的“黑箱”,需要对其异质性的组成部分进行针对性解析。
第二,本文首次尝试性地从GLOBE文化体系中解析出了影响家族企业创新行为的具体文化维度:“不确定性偏好”和“未来导向”(“恃强性”和“绩效导向”)对家族企业创新行为中“新产业种类数量”(“新产业营业收入比率”)具有显著的影响效应。这一点可能尝试性地填补了之前研究的空白点:现有成果多半将区域文化作为一个整体构念,然而本研究结果显示,区域文化可以细分为多个亚文化维度,区域文化各亚文化维度对家族企业创新行为的作用机理存在显著的差异。同时本文这一观点也是对风险概率分布不明确情境下,不同文化属性企业创新创业行为差异相关成果[31-32]的呼应和验证。
第三,本文构建了一个“基于四种创新态势的关联分析”的理论模型,该理论模型使用进取型、保守型、尝试型和延伸型创新4种类型阐述了不同省域范围内家族企业创新行为的特征,并诠释了家族企业创新行为属性与其对应GLOBE文化维度的对应关系,这一思路为今后的研究提出了一个更为可行的方向:从动态跟踪分析的角度来看,同一省域范围内家族企业可能随着生命周期的更迭,其创新行为出现在进取型、保守型、尝试型和延伸型创新4种类型中的动态演化进程,这一研究视角在理论凝练和实践指导方面可能更有价值。

5.2 研究不足与未来展望

第一,本文在对区域文化这一构念进行量化分析时,所选择的是GLOBE研究的文化习俗问卷,实际上施瓦兹的七大文化价值观模型、霍夫斯泰德的五个文化维度模型等研究成果同样可以用于探讨区域文化对家族创新行为的影响机制,我们将在今后的研究工作中结合更多区域文化测量的成果,进行对比分析和案例探讨。
第二,本文的实证分析过于依赖区域GLOBE文化维度在狭窄时间横截面(2010—2012年)上的数据,今后我们将尝试数据搜寻或者通过问卷调研的方式获取更长的研究时间周期,进一步深入和细化区域文化视域下家族企业创新行为的空间格局研究。

5.3 实践启示

家族企业是民营经济发展的典型载体,随着民营经济参与创新活动的权重增加及其价值凸显,支持和鼓励家族企业积极创新的重要性不言而喻。而家族企业创新行为势必会关系到跨地域范围的经营,因为进入新产业的行为势必会牵涉到异地市场的开发和分支机构的设立,这就使得本研究具备了较好的实践指导意义。
首先,在家族企业总部制定进入新产业的经营战略时,要事先考虑拟进入新产业的数量,以及预期在新产业上投入资源禀赋的比例等问题。同时新产业的逐步成长也使得多区位经营方式成为常态,此时家族企业总部的决策者势必要考虑涉足新产业的状况与相关区域文化是否契合的问题。举例而言,预备在多个相关产业进行探索式创新的家族企业,可以优先考虑进入“不确定性偏好”和“未来导向”数值较高的省域市场(比如广东或福建)创办分支机构;而准备在新产业上投入较多资源,力争做大做强新产业的家族企业,可以优先考虑进入“恃强性”和“绩效导向”数值较高的省域市场(比如山东或江苏)创办分支机构。
其次,家族企业决策者还可以根据本文所提供不同省域范围内区域文化与创新行为空间分布的全景图像,来进行科学的管理人员选聘和分派。比如,未来意图在多个新产业全方位发展的家族企业,可以在招聘外部职业经理人担任高管时,将应聘者教育背景和工作经历所处区域文化维度中的“不确定性偏好”和“未来导向”数值作为参考;而对于拟通过发展新产业来实现公司转型的家族企业而言,可以通过查询不同区域的“恃强性”和“绩效导向”数值,事先知悉来自不同省域范围人才在提升新产业经营效率方面的意愿水平,从而选择和调配文化适应性更好的管理者,以采取更灵活的领导风格和管理方法,降低由于文化契合度不高所可能导致的创新行为失败率。
[1]
张小蒂, 姚瑶. 民营企业家潜能拓展与区域创新绩效增进研究[J]. 经济地理, 2012, 32(2):106-110,132.

[2]
La Porta, Lopez-de-Silanes Shleifer. Corporate ownership around the world[J]. Journal of Finance, 1999(54):471-517.

[3]
Rinald C.Anderson, David M. Reeb. Founding-family ownership and firm performance evidence from the S&P 500[J] .The Journal of Finance, 2003, 18(3):1301-1328.

[4]
赵敏. 家族企业创新研发的影响因素及能力测评研究[D]. 北京: 对外经济贸易大学, 2017.

[5]
王志凯. 民营经济对高质量发展的重要意义探析[J]. 国家治理, 2018(4):3-13.

[6]
陈凌, 陈华丽. 家族涉入、社会情感财富与企业慈善捐赠行为——基于全国私营企业调查的实证研究[J]. 管理世界, 2014(8):90-101,188.

[7]
舒伟男. 家族企业CEO来源、制度环境与企业创新——基于中国上市家族企业的实证研究[D]. 杭州: 浙江财经大学, 2018.

[8]
张婷婷. 区域文化、管理者特质与企业财务行为[D]. 北京: 对外经济贸易大学, 2017.

[9]
Gomez-Mejia L R, Haynes K T, Nunez-Nickel M, et al. Socio-emotional wealth and business risks in family-controlled firms:evidence from Spanish Olive Oil Mills[J]. Administrative Science Quarterly, 2007, 52(1):106-137.

[10]
吴炳德, 陈凌. 社会情感财富与研发投资组合:家族治理的影响[J]. 科学学研究, 2014(8):1233-1241.

[11]
Hambrick D, Mason P. Upper echelons:The organization as a reflection of its top managers[J]. The Academy of Management Review, 1984(9):193-206.

[12]
柳卸林, 高雨辰, 丁雪辰. 寻找创新驱动发展的新理论思维——基于新熊彼特增长理论的思考[J]. 管理世界, 2017(12):8-19.

[13]
Hambrick D C, Fukutomi G D S. The seasons of a CEO’s tenure[J]. Academy of Management Review, 1991(16):719-742.

[14]
陈建林, 冯昕珺, 李瑞琴. 家族企业究竟是促进创新还是阻碍创新?——争论与整合[J]. 外国经济与管理, 2018(4):140-152.

[15]
史智源. 家族企业创始人宗教信仰对企业创新的影响研究[D]. 长沙: 湖南大学, 2018.

[16]
王长斌, 冯云霞. 论企业文化区域性及其形成机制[J]. 现代经济探讨, 2010(12):72-75,84.

[17]
Sirmon Arregle, Hitt Webb. The role of family influence in firms strategic responses to threat of imitation[J]. Entrepreneurship Theory and Practice, 2008(32):979-998.

[18]
Vm A, Gpa B, Nrp A. Post-merger restructuring and the boundaries of the firm[J]. Journal of Financial Economics, 2011, 102(2):317-343.

[19]
戴俊骋, 孙东琪, 张欣亮. 中国区域文化产业发展空间格局[J]. 经济地理, 2018, 38(9):122-128.

DOI

[20]
Schumpeter J, Joseph A. The theory of economic development Cambridge[M]. Cambridge: Harvard University Press,1934.

[21]
Schumpeter J, Joseph A. Capitalism, Socialism and Democracy[M]. New York: Harper,1942.

[22]
Bantel K, Jackson S. Top management and innovations in banking:does the composition of the top team make a difference?[J]. Strategic Management Journal, 1989, 10(1):107-124.

[23]
Wiklund J, Shepherd D A. Portfolio entrepreneurship:Habitual and novice founders,new entry,and mode of organizing[J]. Entrepreneurship:Theory&Practice, 2008, 32(4) :701-725.

[24]
李婧, 贺小刚, 连燕玲, 等. 业绩驱动、市场化进程与家族企业创新精神[J]. 管理评论, 2016, 28(1):96-108.

[25]
中国证券监督管理委员会公告〔2012〕31号《上市公司行业分类指引》[EB/OL]. http://www.csrc.gov.cn/pub/zjhpublic/G00306201/201211/t20121116_216990.htm,2012-10-26.

[26]
Anselin L, Bera A K, Florax R, et al. Simple diagnostic tests for spatial dependence[J]. Regional Science & Urban Economics, 1996, 26(1):77-104.

[27]
赵向阳, 李海, 孙川. 中国区域文化地图:“大一统”抑或“多元化”?[J]. 管理世界, 2015(2):101-119.

[28]
朱兵, 王文平, 王为东, 等. 企业文化、组织学习对创新绩效的影响[J]. 软科学, 2010, 24(1):65-69,74.

[29]
GLOBE. Globe Research Survey[R]. Globe Project Form Beta, 2006.

[30]
Sutaria V, Hicks D A. New firm formation:dynamics and determinants[J]. Annals of Regional Science, 2004, 38(2):241-262.

[31]
Wennekers S, Thurik R, Van Stel A, et al. Uncertainty avoidance and the rate of business ownership across 21 OECD countries:1976-2004[J]. Journal of Evolutionary Economic, 2007, 17(1):133-160.

[32]
McMullan J S, Shepherd D A. Entrepreneurial action and the role of uncertainty in the theory of the entrepreneur[J]. Academy of Management Review, 2006, 31(1):132-152.

文章导航

/