区域经济与理论方法

资源环境约束对都市圈布局的影响——以厦(门)漳(州)泉(州)都市圈为例

  • 郭锐 , 1 ,
  • 樊杰 , 2, 3, ,
  • 刘汉初 1
展开
  • 1.中国科学院 科技战略咨询研究院,中国 北京 100190
  • 2.中国科学院 区域可持续发展分析与模拟重点实验室,中国 北京 100101
  • 3.中国科学院 地理科学与资源研究所,中国 北京 100101
樊杰(1961—),男,陕西西安人,博士,研究员,博士生导师,研究方向为经济地理学和区域可持续发展。E-mail:

收稿日期: 2020-09-19

  修回日期: 2021-05-20

  网络出版日期: 2025-03-31

基金资助

国家自然科学基金青年科学基金项目(41801121)

国家自然科学基金重点项目(41630644)

Impact of Resource-Environmental Restriction on the Layout of Metropolitan Area: A Case Study of Xiamen-Zhangzhou-Quanzhou Metropolitan Area

  • GUO Rui , 1 ,
  • FAN Jie , 2, 3, ,
  • LIU Hanchu 1
Expand
  • 1. Institutes of Science and Development,CAS,Beijing 100190,China
  • 2. Key Laboratory of Regional Sustainable Development Modeling,CAS,Beijing 100101,China
  • 3. Institute of Geography Science and Natural Resources Research,CAS,Beijing 100101,China

Received date: 2020-09-19

  Revised date: 2021-05-20

  Online published: 2025-03-31

摘要

文章以厦(门)漳(州)泉(州)都市圈为案例,通过分析资源环境要素的空间分异和时序演变特征,认为厦漳泉都市圈东部沿海的资源环境压力显著高于西部山区,近25年资源环境经历了2000年前的起步耗损、2000—2010年的快速耗损、2010年后的趋缓耗损的阶段。识别出资源环境各要素对都市圈的胁迫关系,认为环境污染因子的影响最大,水土资源因子的影响次之,生态质量因子的影响最小,它们的灰色关联系数分别为0.90、0.85、0.75。在资源环境不断施压的过程中,都市圈主要的响应与反应表现为与资源环境高度关联的产业部门产值和产品结构出现了波动调整、产业链条的中低端生产加工环节加快由资源环境趋紧地区向宽松地区转移、承载上述产业转移的建设用地在空间上打破行政区划束缚并加速向易于接受辐射的地区集聚。最后围绕资源环境禀赋多寡与约束力的强弱关系、资源环境各类要素约束的机制、缓解都市圈资源环境约束的创新方向等关键问题进行了讨论。

本文引用格式

郭锐 , 樊杰 , 刘汉初 . 资源环境约束对都市圈布局的影响——以厦(门)漳(州)泉(州)都市圈为例[J]. 经济地理, 2021 , 41(7) : 10 -19 . DOI: 10.15957/j.cnki.jjdl.2021.07.002

Abstract

The resource environment has long been regarded as a driving factor and is regarded as an important basis for supporting urbanization and industrialization. The impact of the resource environment as a constraint factor on regional development is often neglected. The expression of strategic content such as the size of the city,the nature of the city,and the direction of urban development often leads to deviations due to lack of scientific understanding of the resource and environmental basis,which poses hidden dangers for serious resource and environment problems. At present,advocating the coordinated development of human and nature,economic society and resource environment has gradually become the core concept of spatial layout planning in China. The basic role of resource environment and its influence on the layout of space types such as metropolitan areas need to be re-examined. This paper takes the Xiamen-Zhangzhou-Quanzhou Metropolitan Area as an example. By analyzing the spatial differentiation and time series evolution characteristics of resource and environment elements,it is considered that the resource-environment pressures on the eastern coast of the Xiamen-Zhangzhou-Quanzhou Metropolitan Area are significantly higher than those in the western mountainous areas. The consumption characteristics of resources and environment in the past 25 years are as follows: initial stage ( before 2000),rapid stage ( from 2000 to 2010),and mitigation stage ( after 2010). This paper further identifies the stress effects of different resource and environmental factors acting on the metropolitan area. It is considered that environmental pollution factors have the greatest impact,followed by water-land resources factors,and ecological quality factors have the smallest impact. Their grey correlation coefficients are 0.90,0.85 and 0.75,respectively. In the process of constant pressure on the resources and environment,the main response of the metropolitan area is manifested in three aspects: 1) The industrial sector whose output value and product structure show the fluctuation adjustment is highly correlated with the resource environment. 2) The middle and low-end production and processing links of the industrial chain will be accelerated from the areas where the resources and environment are tight to the loose areas. 3) Construction land carrying the above-mentioned industrial transfer spatially breaks the constraints of administrative divisions and accelerates the accumulation of areas that benefit from radiation. Finally,the paper discusses three key issues: the relationship between resource and environmental endowment and constraint degree,the constraint mechanism of various elements of resources and environment,and the innovative direction to alleviate the constraints of resources and environment in the metropolitan area.

在我国近40年的快速城镇化过程中,资源环境长期被作为一个驱动因子,被看作是支撑城镇化、工业化的重要基础,而资源环境作为一个约束因子对于区域发展的影响往往被忽略。其理论根源在于认为城镇化的主要驱动力来自于工业化,城镇化的前提条件是城市比乡村富裕[1]。以工业化为主要驱动力的城镇化过程,要求大规模的劳动力、生产资料、产品市场等要素在空间上不断向城镇集聚,以便于开展工业大生产[2]。在规模收益递增的前提下,城市规模越大,经济效益越好[3]。而“城比乡好”的假设前提必然导致的是乡村向城市的单向集聚过程[4]。显然,传统城镇化理论指引的规划建设导致了我国耕地资源、水资源等重要资源的过度消耗,给中国的城镇化进程带来了极大的风险[5]。与过去的25年相比,未来中国城镇化水平每提高1%需新增加的城市用水要翻一番,新增加的建设用地要提高2.5倍,城镇化发展面临着严峻的用水与用地保障问题[6~8]
根据“增长的极限”理论,一个区域发展的过程或多或少会受到资源环境的约束,人口或经济不可能一直无限制地增长下去[9]。Meadows的世界模型表明1970年后世界人口和工业将保持指数增长,但迅速减少的资源成为一种制约,将使工业化减速[10]。这种未来地球的图景无疑给当时的学界和政府带来很大的冲击,关于资源环境约束区域人口经济发展的研究一时兴起。截至目前,研究从早期关注土地资源约束为主[11],到1990年代后对环境、水资源的研究不断兴起[12-13],步入21世纪后环境、生态、资源环境综合约束又成为研究主流[14]。资源学、环境科学、生态学、地理学及其相关学科最新、最前沿的理论研究成果都被吸纳和应用于该命题的分析与研究,研究所涉及的内容逐渐由生态科学、环境科学、资源科学扩展到了地球系统科学、生态经济学、GIS和遥感等各个领域[15~17]。总体来看,主要有以下一些特征:从空间尺度来看,研究多关注全球尺度及国家尺度的资源环境约束问题,对于都市圈或城市群等开放区域的资源环境问题研究不足;从研究目标方面,往往侧重于对承载能力盈亏状态的评估,没有将资源环境与社会经济系统相互联系进行关联分析;从研究方法来看,多强调现状静态的资源环境承载状况,缺乏从时间序列上对资源环境的演变过程进行比较和分析。
都市圈是人类生产生活活动与资源环境冲突最大的区域[18]。2019年国家发改委发布的《关于培育发展现代化都市圈的指导意见》强调,要培育发展一批现代化都市圈,为城市群高质量发展、经济转型升级提供重要支撑[19]。未来,城市群不到20%的国土面积将承载我国70%以上的城镇人口和80%左右的经济总量[18],而都市圈必然是集中的承载区域。如何进行科学合理规划才能使都市圈以有限的资源环境承载能力支撑如此庞大的经济、人口规模,并确保生态脆弱和环境恶化的地区不至于发生崩溃,同时,又能保持都市圈核心的竞争力?本文以厦漳泉都市圈为例,探索在都市圈发育的不同阶段,人口、经济、用地等要素如何进行适应和调整,以推动都市圈的转型升级。创新之处是将都市圈的资源环境要素与社会经济要素进行联动研究,并通过时间序列进行演变过程的分析。

1 研究区域

厦漳泉都市圈包括厦门、漳州、泉州3个地级市,面积约2.6万km2(不含金门县),位于中国东南沿海的福建省南部(图1)。厦漳泉是福建省东南沿海经济最为发达的城镇密集区,是海峡西岸经济区的核心区域。2015年,厦漳泉都市圈以占全省21%的土地面积承载了45%的人口规模,取得了近50%的经济总量。
图1 厦漳泉都市圈区域位置图

Fig.1 Location map of Xiamen-Zhangzhou-Quanzhou Metropolitan Area

2 研究方法

①厦漳泉都市圈的资源环境耗损演变的测度。参考樊杰主编的《主体功能区划技术规程》和《资源环境承载能力和国土空间开发适宜性评价方法指南》中资源环境承载力的测度方法[20~23],选取可利用土地资源量、可利用水资源量、水环境胁迫度、大气环境胁迫度、生态制约度五个指标,按照县为基本评价单元,分别计算各项指标的数值,在对数据进行标准化处理的基础上,按照专家打分法,给各项指标赋予权重,进行求和,依次刻画出1990、2000、2010、2015年4个时间断面的资源环境压力,衡量出近25年以来厦漳泉都市圈资源环境的耗损状态。②厦漳泉都市圈社会经济发展与资源环境压力之间的相关关系测度。运用灰色关联模型分析厦漳泉都市圈经济社会发展与水土资源因子、环境污染因子、自然生态因子的变化关系。通过对反映各因素变化特性的数据序列进行比较,采用灰色象元空间之间的距离来表征各因素之间的相关程度。距离越小,灰色关联度越大,相关程度就越大。
本文数据主要包括三大类:资源环境类数据、社会经济统计类数据以及地理底图类数据。①资源环境类数据包括土地资源、水资源、环境、生态等数据,其中,土地资源数据主要为1990、2000、2010,2015年的(30 m×30 m)土地利用遥感监测数据,数据来源于中国科学院资源环境科学数据中心(http://www.resdc.cn);水资源数据主要为县级行政单位平均地下水资源量、县级行政单位的农业、工业、居民生活、城市公共用水量和生态用水量;环境数据主要为化学需氧量排放量和SO2排放量,数据来源于厦门、漳州、泉州市的环境状况公报;生态数据主要包括土壤侵蚀面积,数据来源于福建省1985—2016年土壤侵蚀调查资料。②社会经济统计类数据包括1990—2015年以来人口、GDP、工业生产总值、工业产品产量、投资等数据,数据主要来源于厦门、漳州、泉州市及各区县历年的社会经济统计年鉴。③地理底图类数据包括ASTER GDEM(30 m×30 m)、2015年县级行政区划边界数据,来源于数据来源于中国科学院资源环境科学数据中心(http://www.resdc.cn)。

3 厦漳泉都市圈的资源环境耗损演变

3.1 资源环境现状的空间特征

图2所示,2015年,厦漳泉都市圈东部沿海地区的资源环境压力大于西部山区,东部沿海是西部山区的4倍;三市中,泉州市的资源环境压力最高,占厦漳泉都市圈的44.5%,漳州市次之,占37.0%,厦门市最低,占18.5%。具体来说,泉州市的湄洲湾、泉州湾、围头湾地区资源环境压力最大,占厦漳泉都市圈的比重达到32.7%;漳州市资源环境压力较大的区域集中在漳州市辖区、龙海市以及南部的东山县,上述地区的资源环境压力占整个厦漳泉都市圈的比重达到17.1%;厦门市资源环境压力较大的区域主要集中于岛外,岛外四区的资源环境压力是岛内两区的2.5倍。
图2 厦漳泉都市圈资源环境的现状特征(2015年)

Fig.2 Characteristics of resources and environment in Xiamen-Zhangzhou-Quanzhou Metropolitan Area (2015)

3.2 资源环境耗损的演变特征

近25年以来,厦漳泉都市圈资源环境总体呈现出“起步耗损(2000年前)”—“快速耗损(2000—2010年)”—“趋缓耗损(2010年后)”的演变特征。资源环境耗损的年均增速由2000年前的2.94%,下降到2000—2010年的1.71%,2010年之后耗损速度出现负增长,降幅0.09%。从各地市以及各区县的资源环境耗损曲线来看(图3),厦门市的资源环境耗损由升转降的趋势较为明显,2010年之后耗损量出现显著的下降,年均降速达到3.84%;泉州市与漳州市的资源环境耗损则一直保持增长态势,2010年之后增速逐渐下滑,年均增速分别达到0.46%和1.43%。虽然泉州和漳州总体的资源环境耗损速度开始下滑,但在两市的一些重点发展区域,例如泉州市东部环湾区域、漳州市东南港区的资源环境耗损依然保持较高的增速,年均增速达到2%左右,仍然延续了快速消耗的态势。
图3 厦漳泉都市圈资源环境的耗损过程特征(1990—2015年)

Fig.3 Characteristic of the consumption process of resources and environment in Xiamen-Zhangzhou-Quanzhou Metropolitan Area (1990-2015)

4 资源环境约束对厦漳泉都市圈的胁迫作用

根据灰色关联度模型,计算得出厦漳泉都市圈人均GDP与资源环境之间的灰色关联度(表2)。结果显示环境污染因子与厦漳泉都市圈经济发展水平的相关性最强,灰色关联度平均达到0.90左右,说明厦漳泉经济社会发展加剧了环境污染程度;水土资源因子与厦漳泉都市圈的经济发展水平相关性较强,灰色关联度平均达到0.85左右,说明城市化加剧了厦漳泉水土资源的紧缺性;自然生态因子与厦漳泉经济发展水平的相关性一般,土壤侵蚀强度这一指标显示厦门、漳州和泉州的灰色关联度均在0.75左右,说明厦漳泉都市圈经济社会发展对自然生态的影响并不显著。
表2 厦漳泉都市圈资源环境与人均GDP之间的灰色关联度

Tab.2 Grey relevance degree between resource-environment and per capita GDP in Xiamen-Zhangzhou-Quanzhou Metropolitan Area

水土资源因子 环境污染因子 自然生态因子
可利用
土地资源
可利用
水资源
COD
排放量
SO2
排放量
土壤侵蚀
强度
厦门 0.8235 0.7993 0.8805 0.8281 0.7980
泉州 0.7900 0.7439 0.8325 0.8154 0.7821
漳州 0.8708 0.8184 0.9698 0.9410 0.6924

4.1 水土资源对都市圈的约束作用

水土资源对都市圈布局的胁迫,首先体现在资源本底量的约束上,水土资源本底的量越少,对都市圈布局的刚性约束越明显。都市圈在推进城市化的过程中,人口的集散、经济的发展和城镇的扩张不断改变着区域的可利用水土资源量、用水用地结构,当可供给的水土资源出现量的不足和空间分布不均的时候,水土资源就对都市圈的人口经济规模、人口经济增长速度起到了约束和限制的作用。
厦门、漳州、泉州三市之中,可利用土地和水资源量最少的是厦门市,占厦漳泉都市圈的比重分别为6%和13%。水土资源量的天然不足,较早地对厦门市产生了很强的约束。近25年来,厦门、泉州、漳州的城市化率提高了50%、54%、42%,人均GDP分别提高8.49万元、7.10万元、5.41万元,建设用地增加了196.71km2、652.80km2、499.74km2,用水总量分别增加了2.91亿m3、9.61亿m3、4.47亿m3图4)。从单位GDP和城镇人口增长所耗的水土资源量来看,泉州和漳州要远远大于厦门市,这说明随着经济社会发展和城镇化水平提高,厦门市的用水量和建设用地量始终保持在一个很低的限度,水土资源对厦门的刚性约束作用非常明显。相反,对于泉州和漳州来说,由于水土资源在量上并不缺乏,所以可以通过发展耗水耗地的工业来推动经济发展。此外,在城镇开发模式上,厦门早期对城市的开发主要集中在岛内狭小的空间内,支撑其经济社会发展的空间载体非常有限。2000年之后,厦门把城镇开发向岛外环湾区域集聚,城镇建设的用地约束才逐渐缓解。即便如此,由于近些年的快速发展,岛外的可建设空间已经被侵占殆尽,土地资源约束始终没有得到较大缓解。
图4 厦漳泉都市圈水土资源用量与经济社会发展关系(1990—2015年)

Fig.4 Relationship between land-water use and economic-social development in Xiamen-Zhangzhou-Quanzhou Metropolitan Area (1990-2015)

另一方面,厦漳泉都市圈高速的城市化与工业化进程增大了城市和工业用水量,使得区域用水结构发生变化。随着厦漳泉城市人口规模和经济总量的不断增长,工业和居民用水总量持续增长,农业灌溉用水比重一直下降。在用水总量接近于可利用水资源总量的极限时,工业部门用水比重将开始下降,居民用水比重保持一定定额持续上涨(图5)。2005—2010年厦漳泉都市圈工业用水量增加了7.66亿m3,增长了29.3%。2010—2015年,厦漳泉城市化重点由注重量的增长转向质的提高,经济发展结构不断调整,工业化比重开始下滑,工业用水效率显著提升,工业用水量下降了3.21亿m3,居民用水上涨了3.44亿m3
图5 厦漳泉都市圈用水结构随城镇化发展的演变特征(2005—2015年)

Fig.5 Evolution characteristics of urban water use structure with urbanization development in Xiamen-Zhangzhou-Quanzhou Metropolitan Area (2005-2015)

4.2 环境污染对都市圈的约束作用

环境由于其本身具有自净的能力,且当生产生活对其干扰的强度不大时,基本可以通过自我净化维持在一定的正常范围以内,不会对经济社会产生约束作用。然而随着城市化工业化的快速推进,造成了很严重的环境污染问题,才使人们认识到环境也是存在容量上限的。为了争取优质的生活环境,人们的环境保护意识不断提升,并促使城市的主要管理者——政府加大对污染企业的惩罚,从而对都市圈产业经济的发展产生了较大胁迫效应。
厦漳泉都市圈的核心城市——厦门,其城市定位为国际花园城市,对于产业发展的门槛设定得比较高。根据《福建省工业建设项目用地控制标准》(表3),厦门市市辖六区属于等级最高的一类和二类地区,对于属地企业的容积率、固定资产投资、土地产出率、土地税收等标准也最为严格,严苛的标准之下落后企业不得不转移或者升级,使得厦门环境污染物排放量比泉州和漳州更早出现了下降。
表3 厦漳泉都市圈各区县的产业发展的门槛

Tab.3 Thresholds for industrial development in all districts and counties of Xiamen-Zhangzhou-Quanzhou Metropolitan Area

类别 市、县(区)
一类 厦门市思明区、海沧区、湖里区、集美区
二类 厦门市同安区、翔安区
三类 泉州市鲤城区、丰泽区、洛江区、石狮市、晋江市,漳州市芗城区、龙文区
四类 泉州市泉港区、南安市、龙海市
五类 惠安县、云霄县、漳浦县、诏安县、南靖县
六类 永泰县、安溪县、永春县、长泰县、东山县、平和县、华安县
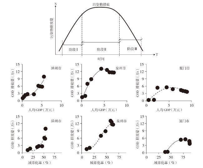
根据统计分析,1990—2015年水污染对厦门市的约束要大于泉州和漳州。如果把污染物排放量随人均GDP和城镇化水平的演变过程呈现的倒“U”曲线划分为三个阶段,则厦门市处于倒“U”型曲线的阶段Ⅲ,泉州处于阶段Ⅱ,漳州处于阶段Ⅰ(图6)。其中阶段Ⅲ的主要特征为:基本完成了倒“U”型曲线由升到降的全部过程,以厦门为例,2000年前,人均GDP在4万元,城市化率在60%时,水污染物排放量呈现快速上升态势,年均增长率达到33%;2000—2010年,人均GDP达到6万元,城市化率达到70%时,水污染物排放量开始以年均1%的速度缓慢下降;2010年后,人均GDP达到8万元,城市化率达到80%时,水污染物排放量快速下降,年降幅突破5%。阶段Ⅱ的特征为:快速上升势头趋缓,开始进入下降过程,以泉州为例,2010年前,人均GDP在4万元,城市化率在40%时,污染物排放量快速上升,年均增长率达到11%;2010年后,人均GDP达到6万元,城市化率达到60%时,污染物排放量缓慢下降,年均降幅达到2%。阶段Ⅰ的特征为:尚处于快速上升的阶段,没有表现出下降的趋势,以漳州为例,1990—2015年,污染物排放量随人均GDP和城镇化水平的提升表现为持续的快速上升阶段,年均增长率达到9%。
图6 厦漳泉都市圈污染物排放的倒"U"型曲线特征(1990—2015年)

Fig.6 Characteristics of the inverted "U" curve of pollutant emissions from the Xiamen-Zhangzhou-Quanzhou Metropolitan Area (1990-2015)

5 厦漳泉都市圈对资源环境约束的响应

5.1 与资源环境高度关联的产业部门产值和产品结构出现了波动调整

2000年之前,厦漳泉都市圈的产业发展目标清晰,以食品罐头行业与轻纺、机械电子作为主导产业。2000年之后,漳州和泉州的产业发展依然保持较为明晰的发展导向,然而受资源环境约束的影响,厦门市产业发展呈现出混乱的态势,具体表现为:①产业投资没有重点,发展导向不清。根据2000—2010年厦门市分行业的固定资产投资情况(表4),发现厦门市重点投资的产业在10年间做了四次调整。②由于缺失较为清晰的产业发展导向,导致整个产品结构混乱。2000—2010年,厦门市主要工业产品的产量大起大落,特别是彩色电视机等电子产品、成品钢材、白酒、化肥、轮胎外胎、塑料制品等产品。③受资源环境影响较大的产业门类产值大幅下降,面临淘汰、减产或维持的状况。逐渐被淘汰的产业包括化学工业、钢材、白酒、化肥生产等行业;开始减产的产业包括采选业、食品制造业、木材加工、造纸及纸制品业、印刷业、石油加工与炼焦业、化学原料及化学制品制造业、化学纤维、塑料制品生产等行业;勉强维持现状,艰难发展的产业包括纺织业、农副食品加工业、橡胶制品等行业。2010—2015年与2000—2010年相比,厦漳泉都市圈50%以上受资源环境约束的行业,包括农副食品加工业,食品制造业,烟草加工业,木材加工及木、竹、藤、棕、草制品业,造纸及纸制品业,家具制造业,燃气生产和供应业,产值下降幅度超过25%以上。
表4 厦门市重点发展的产业(2000—2010年)

Tab.4 Key developed industries in Xiamen (2000-2010)

年份 重点发展产业 固定资产投资比重(%)
2000—2003 石油加工及炼焦业、化学制品制造业 30~40
2003—2005 电力、燃气及水的生产和供应业 20~30
2005—2008 交通运输与仓储物流业、公共设施管理业 40~50
2008—2010 电子设备制造业、工艺品制造业 10~20

5.2 产业链条的中低端生产加工环节加快由资源环境趋紧地区向宽松地区转移

在投资、产品、产值等结构波动调整的过程中,人才、土地、政策等流动性要素也在厦漳泉都市圈进行重新组织和配置。①受资源环境约束影响最大的厦门市,一方面推动岛内的思明区、湖里区工业向岛外布局。经过疏解,本岛仅仅保留了火炬园及信息光电园,以发展高新技术产业为主导,园区规模不大,产业集聚度高。另一方面岛外工业规模不断扩大,2015年岛外工业产值占全市比重已达65%,比2010年的50%高出15个百分点。②厦门通过发挥市场驱动和政府协作机制,较早与漳州、泉州两市开展了有关产业的合作,促进产业要素的跨区域流动。2004年厦门出技术和资金,漳州出土地和劳动力等资源,两市携手在漳州的长泰县打造了我国首批半导体照明产业基地,实现了两地光电照明产业化的上下游配套。类似的,近10年来厦门市与漳州和泉州市还开展了对口帮扶,针对各自资源环境的特点,扬长避短,围绕船舶制造、石化生产、机械、电子等龙头企业开展产业配套对接,延伸了产业链。在有限的资源环境供给之下,三市之间通过产业要素合理的流动配置,最大化地发挥了资源环境的效能,推动了厦漳泉在精细化工与高新技术产业、汽车与船舶装备制造业、石化产业等领域的共建共享,取得了1+1>2的效果。

5.3 承载产业转移的建设用地在空间上打破行政区划束缚并加速向易于接受辐射的地区集聚

①2000年之前,资源环境的容量较大,对厦漳泉都市圈的发展主要起到承载的作用。厦漳泉产业发展目标清晰,产业发展受经济效益最优和生产成本最小的驱使,优先向城市中心、沿海港口、交通沿线等优势区位集聚,围绕上述区位10 km范围内的建设用地密度分别达到57.13%、27.72%、17.80%。②2000—2010年前后,一方面资源环境开始对厦漳泉都市圈产生约束,特别是水、土资源对厦门市本岛的思明、湖里区的约束首先凸显出来;另一方面随着城市规划、发展战略、功能定位调整,厦门开始寻求在岛外拓展建设空间,厦门岛外的建设用地密度增加了一倍。③2010—2015年,厦门市岛外的水土资源约束加剧,从都市圈整体层面寻求合作成为这一时期的主要发展战略,泉州和漳州的建设空间表现为加速向厦门市边界区域聚集,承接厦门市产业结构的转移,在厦门行政区界限10km缓冲范围内,包括海沧—角美—龙海—南太武滨海新区组成的临港区域、翔安—围头湾组成的临空区域、环湄洲湾、东山湾和泉州湾等环湾区域和长泰枋洋镇—安溪芦田镇、同安汀溪镇—安溪龙门镇、翔安新圩镇—南安官桥镇等区域,以产业和居住功能为主的建设用地密度逐渐增加到16.81%,集聚了泉州和漳州1/3的建设用地总量。通过以上调整,厦漳泉都市圈的建设空间表现为围绕厦门港向内陆区域梯次拓展的圈层结构。

6 结论与讨论

厦漳泉都市圈在近25年的发展历程表明,资源环境对都市圈发展的影响经历了由开始几乎没有约束,到约束逐渐趋紧,再到约束不断缓解的过程。在此过程中,水环境和水资源对厦漳泉都市圈的约束作用最明显。受资源环境约束的影响,厦漳泉都市圈主要的反应表现为产业结构的波动调整、产业要素的跨区流动以及建设空间的重新组织等。资源环境对都市圈约束的研究涵盖社会经济和资源环境两大巨系统,涉及的要素、机制极其复杂,未来应重点关注以下几个方面。

6.1 资源环境禀赋多寡与约束力的强弱

都市圈或城市群资源环境约束力的大小一方面取决于资源环境的禀赋,另一方面还取决于其经济发展的效率[24]。换句话说,如果是相同或相似的经济发展效率或发展水平,其受资源环境约束作用力的大小主要取决于禀赋的多少。而经济发展效率或者发展水平在不同空间尺度下具有显著的差异性。①从全国尺度看,经济发展效率或者发展水平具有显著的区分度,我国东部地区的都市圈或城市群显然比中西部地区的在发展效率方面具有更高的水平。东部地区经过三十多年的快速发展,资源消耗巨大、生态环境污染严重,资源环境的本底数可能所剩无几,但是并不能说东部地区都市圈或城市群资源环境的约束就高于资源环境禀赋较好的中西部地区。②从区域尺度看,由1个或2~3个城市所组成的都市圈,当发育成熟到一定阶段,城市之间的紧密联系或合作关系使得人流、物流、技术流、信息流、资金流高度一体化,经济发展的效率和发展水平在几个城市之间已经到了几乎没有差异的阶段,那么可以认为都市圈内资源环境要素的多寡就表征了这个地区面临的资源环境约束的状况。而对于较大规模的城市密集区域,例如长三角地区,由于覆盖面积超过20多万km2,包括20多个规模不同、职能不同的城市,其经济发展效率很难在所有城市中达到一个水平,依然面临存在较大差距的可能性,其资源环境的约束状况将更加复杂。

6.2 资源环境各类要素约束的机制

一般而言资源环境对一个区域产生约束效应,往往要进入到工业化发展阶段才能体现,在农业文明时期资源环境通常不会对人类活动产生较大影响。从发达国家走过的工业化道路来看,产业部门,特别是工业部门大量的资源投入和过高的污染排放对一个区域所施加的资源环境压力往往较生活服务部门占据主导。①资源要进入企业生产过程当中,需要进行供给能力和成本直接的核算,因此资源反应的敏感程度比环境和生态的要高。也就是说资源越短缺,资源的价格越上涨,生产就增加了成本。然而,不同地区资源的多寡,按照经济学的供需关系,少的地方供需紧张,成本往往就高,所以那个地方对于资源的约束反应就更加敏感。在一定的技术水平背景下,水土资源和能源的多寡往往对一个区域的工业生产部门的产品产量、工业产值产生影响。将分行业的工业生产部门的产品产量、产值与分行业的水土资源、能源用量进行相关分析,如果发现一段时期内,某个产品的产量和产值的增长速度下降与水土资源和能源的用量上升具有显著正相关性,则表明资源对某一类产业产生了约束,并能够显示出相应的约束程度,当这一产品产量或产值开始呈现下降,在排除其他干扰因素的前提下,则可以认为获得了约束的临界值。②环境由于不进入到生产过程当中,不会直接影响到企业的生产成本。所以环境对于一个区域的约束有时并不能从产品和产值的变化表现出来,这主要取决于地方对于高污染企业的处罚力度,如果处罚门槛低,企业从成本考虑认为不需要提升设备技术水平或新增排污设施,通过缩减产量的方式就可以达标,那么这种约束就可以通过产品产值和产量的变化表现出来。如果处罚门槛高,企业必须通过技术进步来改进,那么这种约束的阈值就会相应地抬升。③生态与环境类似,并不直接影响生产的整个过程。但是生态往往比环境更低价,甚至是无价。原因在于,生产者导致了环境污染,生产者同时又是这个地区的生活者,环境污染就直接反馈给了当地的生产者,所以生产者同样需要为环境污染付出相应的代价。而生态的破坏通常在空间上表现为生产地和居住地的分离,似乎人们感觉不到生态在恶化。换句话说,生态的恶化并不能够明确地归因到某一个企业,因此企业通常不会为生态的恶化来买单。缓解生态约束的动力主要来自于政府,政府通过负面清单、红线管制等手段,对不合规企业进行“一票否决”,迫使不合规的企业退出或转型,进而提升区域环境品质、确保生态安全等。

6.3 缓解都市圈资源环境约束的创新方向

资源环境是都市圈可持续发展的基础条件,由于其稀缺性,都市圈发展直接或间接受制于资源环境的影响[25-27]。要从根本上缓解以至解决资源环境的约束,取决于人类能否借助科技的发展,合理地开发和更为有效地利用资源环境。未来提升都市圈资源环境承载能力、优化都市圈空间布局结构、增强都市圈辐射带动与竞争力,重点应该围绕如何加强企业技术进步水平、如何推动产业结构优化升级、如何利用全新的替代性资源来开展研究。①加强企业技术进步水平提升、促进资源环境全要素生产效率提高的研究。由于从事同一种行业的不同生产者之间,生产工艺水平越高,资源环境耗损越小[28-29],因此都市圈规划要对现状产业进行资源环境耗损评价,分析各行业的用水、用地、污染物排放效率,评价各行业对都市圈资源环境约束的贡献程度。结合未来提升资源环境效率的核心技术、关键技术、共性技术的发展趋势,识别出各类产业通过技术进步提升资源环境效率的潜力值,确定未来重点发展的产业门类及其配套政策。②加强区域科技创新系统、驱动产业结构升级的研究。由于不同的产业之间,高端服务业的资源环境效率要远高于传统制造业[30]。因此都市圈规划要加强产业结构的科学预测,根据产业结构的演进规律、资源环境耗损情况,设定不同的产业发展情景,科学确定适合本地发展的产业结构目标。营造适合人才集聚的区域软硬环境,不断抬升技术密集型产业在产业结构中的比重。③鼓励尖端科技研发与创新,尝试使用替代性资源能源来缓解资源环境的约束。在存量资源有限的情况下,适度扩展新的可替代性资源可以很大程度上缓解资源环境的约束[31-32]。因此,都市圈规划要突出目标导向,在可替代资源使用、尖端科技研发上展现出适度的前瞻性。打破以往“以城市规模论英雄”的规则,使得资源环境本底条件不好的区域,由于其处于全球创新网络的节点,依然可以具有很高的城市等级。
[1]
樊杰, 郭锐. 新型城镇化前置条件与驱动机制的重新认知[J]. 地理研究, 2019, 38(1):3-12.

DOI

[2]
Friedmann J. Four theses in study of China's urbanization[J]. China City Planning Review, 2006, 15(2):80-85.

[3]
Xu K. Study on Chinese urbanization on in the New Era[J]. Globalization, 2015(9):5-16.

[4]
Wu L. New-type urbanization and the development of the sciences of human settlements in China[J]. China City Planning Review, 2014, 23(1):26-31.

[5]
Lu D, Chen M. Several viewpoints on the background of compiling the “National New Urbanization Planning (2014-2020)”[J]. Acta Geographica Sinica, 2015, 70(2):179-185.

[6]
陆大道. 中速增长:中国经济的可持续发展[J]. 地理科学, 2015, 35(10):1207-1219.

DOI

[7]
Zou D. Thoughts on issues of China's urbanization[J]. China City Planning Review, 2014, 23(2):24-26.

[8]
樊杰, 刘汉初. “十三五”时期科技创新驱动对我国区域发展格局变化的影响与适应[J]. 经济地理, 2016, 36(1):1-9.

[9]
Fan J, Wang Y, Ouyang Z, et al. Risk forewarning of regional development sustainability based on a natural resources and environmental carrying index in China[J]. Earth’s Future, 2017, 5(2):196-213.

[10]
Meadows D, Randers J. The Limits to Growth:the 30-year Update[M]. Estados Unidos: Chelsea Green Publishing, 2004.

[11]
石玉林. 中国土地资源的人口承载能力研究[M]. 北京: 中国科学技术出版社,1992.

[12]
唐剑武, 叶文虎. 环境承载力的本质及其定量化初步研究[J]. 中国环境科学, 1998, 18(3):227-230.

[13]
刘昌明. 地理水文学的研究进展与21世纪展望[J]. 地理学报, 1994, 49(S1):601-608.

DOI

[14]
樊杰. 中国人文地理学70年创新发展与学术特色[J]. 中国科学:地球科学, 2019, 49(11):1697-1719.

[15]
吴传钧, 侯锋. 国土开发整治与规划[M]. 南京: 江苏教育出版社,1990.

[16]
陈述彭. 地球信息科学与区域持续发展[M]. 北京: 测绘出版社,1995.

[17]
孙鸿烈. 中国自然资源综合科学考察与研究[M]. 北京: 商务印书馆, 2007.

[18]
方创琳. 改革开放40年来中国城镇化与城市群取得的重要进展与展望[J]. 经济地理, 2018, 38(9):1-9.

DOI

[19]
中华人民共和国国家发展和改革委员会. 国家发展改革委关于培育发展现代化都市圈的指导意见[EB/OL]. http://www.ndrc.gov.cn/gzdt/201902/t20190221_928325.html.

[20]
樊杰. 我国主体功能区划的科学基础[J]. 地理学报, 2007(4):339-350.

[21]
徐勇, 汤青, 樊杰, 等. 主体功能区划可利用土地资源指标项及其算法[J]. 地理研究, 2010(7):1223-1232.

[22]
樊杰. 资源环境承载能力和国土空间开发适宜性评价方法指南[M]. 北京: 科学出版社, 2019.

[23]
樊杰. 主体功能区划技术规程[M]. 北京: 科学出版社, 2019.

[24]
樊杰, 周侃, 陈东. 生态文明建设中优化国土空间开发格局的经济地理学研究创新与应用实践[J]. 经济地理, 2013, 33(1):1-8.

[25]
樊杰. 我国空间治理体系现代化在“十九大”后的新态势[J]. 中国科学院院刊, 2017, 32(4):396-404.

[26]
樊杰, 孔维锋, 刘汉初, 等. 对第二个百年目标导向下的区域发展机遇与挑战的科学认知[J]. 经济地理, 2017, 37(1):1-7.

[27]
樊杰, 梁博, 郭锐. 新时代完善区域协调发展格局的战略重点[J]. 经济地理, 2018, 38(1):1-10.

[28]
陆大道. 经济地理学的发展及其战略咨询作用[J]. 经济地理, 2011, 31(4):529-535.

[29]
姚士谋. 闽南区域经济发展与空间布局[M]. 合肥: 中国科学技术大学出版社,1990.

[30]
许学强, 林先扬, 周春山. 国外大都市区研究历程回顾及其启示[J]. 城市规划学刊, 2007(2):9-14.

[31]
杨汝万, 胡序威, 陈佳源. 闽东南地区经济和人口空间集聚与扩散研究[M]. 香港: 香港中文大学研究所,1997.

[32]
周一星. 区域城镇体系规划应避免“就区域论区域”[J]. 城市规划, 1996(2):14-17.

文章导航

/