旅游经济与管理

大都市郊区民宿空间演化特征及其影响因素——以武汉市为例

  • 杨剩富 , 1, 2 ,
  • 吴美伊 1 ,
  • 张轶 1 ,
  • 俞泽欣 1 ,
  • 张家豪 1 ,
  • 李梦婷 1
展开
  • 1.中国地质大学(武汉) 公共管理学院,中国湖北 武汉 430074
  • 2.自然资源部法治研究重点实验室,中国湖北 武汉 430074

杨剩富(1987—),男,博士,副教授,研究方向为土地经济与管理、土地利用转型。E-mail:

收稿日期: 2024-06-01

  修回日期: 2024-10-08

  网络出版日期: 2024-11-29

基金资助

国家自然科学基金项目(41801189)

国家自然科学基金项目(42471308)

湖北省哲学社会科学研究项目(20230112)

Spatial Evolution Characteristics and Impact Factors of Homestay in Metropolitan Suburbs:Taking Wuhan as An Example

  • YANG Shengfu , 1, 2 ,
  • WU Meiyi 1 ,
  • ZHANG Yi 1 ,
  • YU Zexin 1 ,
  • ZHANG Jiahao 1 ,
  • LI Mengting 1
Expand
  • 1. School of Public Administration,China University of Geosciences,Wuhan 430074,Hubei,China
  • 2. Key Laboratory of Legal Assessment Project,Ministry of Natural Resources,Wuhan 430074,Hubei,China

Received date: 2024-06-01

  Revised date: 2024-10-08

  Online published: 2024-11-29

摘要

大都市郊区是城乡要素流动的活跃区,民宿作为乡村产业融合的典型代表,正成为乡村产业高质量发展的新动力。文章以中部超大城市武汉市郊区为例,基于2000—2022年的微观民宿数据,采用圈层分析、多尺度地理加权回归等方法对大都市郊区民宿空间演化特征及影响因素进行了探究。结果表明:①研究期内武汉市郊区民宿数量不断增加并逐渐由近程民宿圈外延至远程民宿圈,民宿分布热点集聚增加。②从自然环境、交通区位、社会政策以及地域特色4个维度来看,各变量空间作用尺度存在分异,其中人口密度、户均宅基地面积、文保单位和A级旅游景区数量等7项影响因子对民宿空间分布影响范围较大,植被覆盖度等3项影响因子的作用范围较小。③各影响因子的空间异质性分析发现,人口密度呈负相关,户均宅基地面积和政策支持力度呈正相关,表明当前郊区空心村民宿发展潜力较大,且武汉市的民宿支持政策将进一步促进郊区民宿产业集聚和高质量发展。

本文引用格式

杨剩富 , 吴美伊 , 张轶 , 俞泽欣 , 张家豪 , 李梦婷 . 大都市郊区民宿空间演化特征及其影响因素——以武汉市为例[J]. 经济地理, 2024 , 44(10) : 214 -223 . DOI: 10.15957/j.cnki.jjdl.2024.10.022

Abstract

The suburban area of metropolis is the most active area of the flow of urban and rural elements. Homestay, as a typical representative of rural industrial integration, are becoming a new driving force for the high-quality development of rural industries. Taking Wuhan as an example and based on the micro data of homestay in 2000-2022, this paper uses the methods of circle analysis and multi-scale geographically weighted regression to explore the spatial evolution characteristics and influencing factors of homestay in metropolitan suburbs. The results are as follows: 1) In 2000-2022,the number of homestay increased in the suburbs of Wuhan and gradually extended from the short-range homestay circle to the medium and long-distance homestay circle, and the distribution of homestays has increased. 2) Natural environment, traffic location,social policy and regional characteristics have different spatial action scale, and the seven influencing factors such as population density, average residential land area, cultural protection units and the number of A-level tourist attractions had a large impact on the spatial distribution of homestay, while three influencing factors, such as vegetation coverage, had a small range. 3) The spatial heterogeneity analysis of each influencing factor found that the population density was negatively correlated, and the per capita homestead area and he policy support were positively correlated, indicating that the current development potential of hollow village homestays in the suburbs is greater, and the policy support of homestays in Wuhan will further promote the agglomeration and high-quality development of the homestay industry in the suburbs.

乡村振兴战略是实现高质量发展的“压舱石”。而实现乡村产业兴旺是持续全面推进乡村振兴的有效途径。近年来,农村第一、二、三产业融合逐渐成为助推产业兴旺的重要措施[1],特别是在城乡要素流动较快的大都市郊区,其三产融合趋势越发活跃,土地利用变化越发频繁。而民宿产业作为利用闲置宅基地及农房为游客提供当地自然、文化与生产生活体验的小型住宿设施[2],是产业融合的典型载体,其兴起与发展有助于进一步打通城乡要素流动通道,促进城乡产业、人口、空间的重新布局。
随着城镇化进程的加速和人们回归乡土情怀的凸显,大众旅游的焦点开始由城市投向乡村[3]。与此同时,得益于宅基地“三权分置”等政策的施行,民宿用地来源得到进一步拓展,民宿产业蓬勃发展。《民宿蓝皮书:中国民宿发展报告(2022)》统计显示,2021年,我国乡村民宿约占全国民宿总量的87.98%。民宿已经成为推广和销售地方土特产的重要渠道[4]。作为产业门槛较低且营收可观的乡村旅游服务设施,民宿已经成为众多乡村地区,尤其是具有天然区位优势的大都市郊区促进村民增收进而实现振兴的重要抓手。然而,空间布局的盲目性与发展类型的同质化也逐渐成为约束大都市郊区民宿高质量发展的重要限制因素。
国家“十四五”规划明确提出将民宿经济作为特色产业进行发展与壮大后,民宿产业的发展问题进一步引起各界学者的广泛关注[5]。目前,相关研究主要围绕宅基地改革背景与民宿发展互动机制[6-7]、民宿管理与发展困境[8-10]、消费者意愿、关注度及满意度[11-13]、民宿空间分布特征及影响因素[14-20]、民宿可持续发展路径[21]、民宿产业发展效应[22]等内容展开。其中,民宿空间分布特征及影响因素的相关研究对优化民宿布局,破解当前民宿发展瓶颈从而促进产业高质量发展具有重要意义,相关学者进行了多维度的研究。在数据收集方面,定性研究多通过实地访谈、发放问卷获取数据,定量研究多依托美团、携程、去哪儿网、爱彼迎(Airbnb)等在线网站进行民宿数据收集。在民宿空间分布特征分析方面,定性分析以文本分析[3]以及访谈、案例分析法[6-7,23]为主,研究尺度相对较小;定量分析主要采用核密度分析[24]、冷热点分析[25]、地理探测器[26]等方法,研究尺度相对较大,实证主要以省域、市域以及重要景区等为主。然而,随着城乡融合的进一步推进,大都市郊区作为城乡要素流动频繁、民宿发展需求量极大的区域却缺乏充分关注。在理论层面,缺少大都市近郊民宿等产业发展的相关研究,无法为这一关键性区域民宿产业的未来发展提供科学指导。在影响因素分析方面,运用Logistic Regression[13]、决策树模型[19]、随机森林模型[15]等方法,从区域经济、社会、文化等多方面揭示民宿分布的影响因素及其影响机制[26],但现有研究大多忽略了各因素作用的空间异质性。多尺度地理加权回归方法(MGWR)考虑到地理空间依赖关系和变异性带宽,相较于传统回归模型具有更强的解释力和稳健性,能准确分析民宿空间分布影响因素的空间异质性,并为民宿空间分布合理性和民宿发展差异化提供参考。
基于此,本文以武汉市郊区为例,结合1927条村域民宿数据、POI数据等分析民宿的空间演化特征,并使用多尺度地理加权回归方法对其影响因素进行探讨,进而提出促进产业空间集约高效利用的策略,为大都市郊区民宿产业的发展及未来有关政策的制定提供参考。

1 研究设计

1.1 研究区域

武汉市为湖北省省会、特大城市、国家中心城市。截至2022年,武汉市下辖共13个区,其中主城区7个,远城区6个(即黄陂区、江夏区、蔡甸区、东西湖区、新洲区、汉南区)。近年来,武汉市郊区凭借其区位、自然、人文等优势,民宿产业发展迅速,一批精品民宿兴起,在文化和旅游部2023年公布的全国71家甲级、乙级旅游民宿中,湖北省唯一入选的甲级民宿就位于武汉市。因此,本文以武汉市郊区(即6个远城区覆盖范围)1824个行政村的民宿为研究对象,对村域尺度上民宿空间演化过程、机制展开研究。

1.2 数据获取与影响因素识别

1.2.1 数据获取

由于民宿产业用地的复合性与灵活性,官方面板统计数据较难获取。故本文从微观企业数据切入,依托天眼查网站(https://www.tianyancha.com/)企业征信信息数据,查询武汉市2022年12月31日前注册的企业信息,共收集到2922家企业样本,样本信息涵盖企业注册日期、注册地址、经营范围等。参照《国民经济行业分类》(GB/T 4754—2011)的界定标准与细分行业范围进行分词,采取文本挖掘、统计分析等方法,结合人工识别校对,对武汉市郊区民宿信息进行提取,并依据人工校对后的民宿地址信息,利用网络POI获取其地理坐标,最终获得1927条民宿数据;继而通过ArcGIS空间连接法以村庄为单位计算民宿密度,表征其空间分布特征。

1.2.2 影响因素识别

已有研究表明,民宿的选址和空间特征受区域自然环境、经济发展水平、资源禀赋、政策制度等多种因素共同影响[41925-29]。这些影响因素在不同尺度、区域和时间段内的显著性各不相同。基于此,本文结合目前大都市郊区民宿的实际发展需求,确定选取自然环境、交通区位、社会政策、地域特色4个影响因素进行分析(表1)。
表1 大都市郊区民宿空间布局影响因子体系及数据来源

Tab.1 Influencing factors of the spatial layout of homestay in metropolitan suburbs and their data source

一级维度 二级维度 自变量 变量解释 数据来源
A自然环境 A1自然条件 A11海拔 各行政村海拔 中国科学院资源环境与数据中心(https://www.resdc.cn/
A12河流水系 各行政村区域内河流水系长度
A13多年平均气温 各行政村1901—2020年平均气温 CRU发布全球0.5°气候数据以及WorldClim发布的全球高分辨率气候数据
A2绿化环境 A21植被覆盖度 各行政村NDVI指数 中国科学院资源环境与数据中心(https://www.resdc.cn/
B交通区位 B1交通出行 B11公路交通 各行政村公路通车里程数量 全国道路数据集
B12公共交通 各行政村公交站点数量 GIS空间分析
B2环城距离 B21环城距离 各行政村相距中心城区距离
C社会政策 C1村庄人口 C11人口密度 各行政村人口密度 WordPop 2020年人口数据集(100 m分辨率)(https://www.worldpop.org/
C2政策支撑 C21政策支持力度 各区/县政府官方发布的有关民宿空间布局、用地规划、资金支持等方面的政策数量 研究区域内各行政区网站公示政策
C3宅基地面积 C31户均宅基地面积 各行政村户均宅基地面积 武汉市各村宅基地确权公示 http://www.whrer.com.cn/List.asp?cid=2456&page=1
D地域特色 D1文旅底蕴 D11文保单位和A级旅游景区数量 各行政村内文物保护单位和A级旅游景区数量 武汉市文物保护单位名录和A级旅游景区信息
D2土地利用 D21土地开发利用程度 各行政村土地利用情况,对不同土地利用类型进行分级赋分,参考已有研究成果以公式 L = 100 × i = 1 n A i · C i计算。式中,L为土地利用综合开发程度;A为土地利用程度分级指数,其中未利用地=1,林地、草地、水体=2,耕地=3,建设用地=4;C为对应各地类面积。 国家地球科学信息服务中心
①自然环境包括自然条件和绿化环境。自然条件是民宿发展的载体,主要考虑海拔、河流水系和区域多年平均气温。海拔越高,土地和建筑的限制越苛刻,越不利于民宿的选址。河流水系不仅为民宿增添了美学价值,也为民宿增加了戏水、垂钓等多样化功能。此外,适宜的气温能够更好地满足旅客在游玩和居住方面的需求。绿化环境是影响民宿舒适度的另一重要因素,采用植被覆盖度来衡量。绿化良好的环境能显著提升游客的居住舒适度。
②交通区位包括交通出行和环城距离。交通出行选用区域公路通车里程数和区域公交站点数量作为衡量指标。交通通达程度影响民宿的客源,对于省内和周边城市的旅客,公路交通是他们实现短程出行的主要方式,对于距离较近的城镇旅客,公共交通则更加便捷、经济。环城距离也是影响民宿发展的重要因素,一般而言,民宿距离城市中心越近,其通达性越好,客流量也更大。
③社会政策包括村庄人口、政策支撑和宅基地面积。村庄人口采用村庄人口密度来衡量,村民是开办民宿的主要力量,而在部分空心村,开办民宿亦是吸引外来游客和本村人才回流的重要手段。政策支撑在民宿发展中起着关键作用,本文通过各区/县政府官方发布的有关民宿空间布局、用地规划、资金支持等方面的政策数量来评估政策支撑力度。政府在土地使用限制、建筑规范等方面的行政审批制度,可以有效地引导和调控民宿的选址。宅基地面积用户均宅基地面积来衡量。大都市郊区民宿业的重要特征是充分利用闲置宅基地资源,户均宅基地面积越大,民宿产业土地供给越充裕。
④地域特色包括文旅底蕴和土地利用。文旅底蕴用文保单位和A级旅游景区数量来衡量,特色地域文化不仅丰富游客的精神体验,也是民宿实现品牌化、差异化、精品化的突破口。土地利用以土地开发利用程度表示,合理的土地利用规划能够确保民宿与周边环境的和谐共生,提升游客的居住体验。

1.3 研究方法

1.3.1 空间自相关分析

空间自相关分析常用于判断产业空间集聚情况[29]。本文通过计算研究单元内民宿密度,利用全局莫兰指数判断民宿在空间上的集聚特征;利用局部莫兰指数探究多个时间点武汉市郊区民宿产业的局部空间集聚状况[17]

1.3.2 地理加权回归模型

民宿区位选择需综合考虑多种因素及其空间异质性尺度差异[29]。基于地理加权回归模型(GWR)提出的多尺度地理加权回归模型(MGWR)能有效处理空间异质性并测度自变量与因变量之间的空间变化关系尺度差异[30],因而本文采用MGWR模型就不同因子对大都市郊区民宿空间演化的影响尺度进行研究。

2 大都市郊区民宿时空演化特征

2.1 民宿数量增长显著,分布由中心向外扩延并出现明显集聚

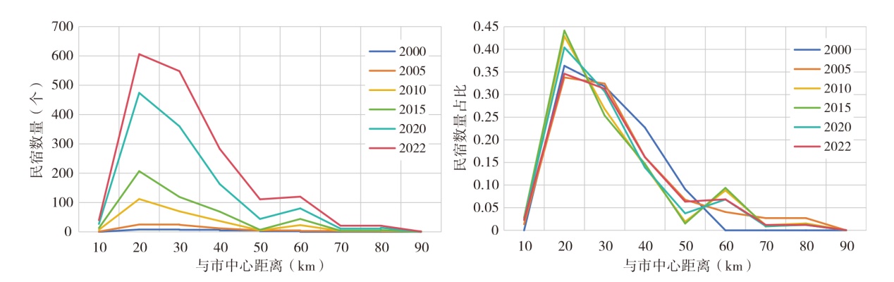
以武汉市人民政府所在地为中心,以10 km为间隔构建多环缓冲区,分为9个圈层。研究时间为2000—2022年,计算2000、2005、2010、2015、2020和2022年各圈层民宿数量及比重。由图2可知,在2000—2022年,武汉市郊区民宿数量总体呈现上升趋势,并逐步形成“20 km近程圈与60 km远程圈”的集聚态势。
图1 2000—2022年不同圈层的民宿数量及占比

Fig.1 Number and proportion of homestay in different circles away from the center of Wuhan in 2000-2022

图2 武汉市郊区民宿分布热点演变

Fig.2 Hotspot map of homestay distribution in the suburbs of Wuhan

从民宿数量分布来看,武汉市郊区民宿数量在研究时段内显著增长,特别是在2015—2020年,民宿增长量达到最大,共增加704家;尽管2020—2022年民宿数量持续增长,但增长量有所放缓。在距离分布上,民宿数量在距市中心10~20 km圈层内存在较高峰值,在距市中心50~60 km圈层内存在较低峰值,各年份各圈层民宿数量均有所增加,并呈现出由中心向外围扩延趋势,其中2020年距市中心10~20 km范围内民宿数量增长明显,远超于其他圈层;到2022年,距市中心20~30 km范围内民宿数量也显著增加,同时边缘圈层民宿数量也有所增长。
从民宿在各圈层的占比变化来看,在2000、2005、2010、2015、2020和2022年整体保持单峰形态,波峰主要出现在10~20 km圈层处,2000—2022年波峰值逐渐减小且有明显的外延趋势;在50~60 km圈层附近形成一个小高峰,中心圈层民宿占比有所下降,而边缘圈层民宿占比有所提升,其由中心向外围拓展布局的圈层结构变化与吴必虎等[31]的研究结果相印证。

2.2 民宿分布空间相关性分阶段波动,热点集聚增加且扩散作用并存

对研究区域民宿分布数据进行空间自相关分析,在2000、2005、2010、2015、2020和2022年,武汉市郊区民宿的全局莫兰指数均为正且均通过99%的置信检验,表明2000年以来武汉市郊区民宿空间分布表现出较为稳定的空间聚集特征;全局莫兰指数由0.06上升至0.12,反映了民宿空间聚集程度的总体增强趋势,但在不同的发展阶段,民宿的聚集程度存在波动。其中,2000—2005年武汉市郊区民宿分布全局莫兰指数呈上升态,显示其空间分布的聚集性有所增强;2005—2015年武汉市郊区民宿在总体数量持续上升的同时,其全局莫兰指数持续下降,空间分布的聚集性也持续减弱;2015—2022年武汉市郊区民宿分布全局莫兰指数缓慢回升,空间分布再次趋向集聚。
为进一步探究武汉市郊区民宿空间分布的局部变化特征,采用热点分析计算其局部莫兰指数,进而识别武汉市郊区民宿的热点集聚分布与局部变化特征(图3)。由图可知:2000—2005年,研究区域的民宿产业尚处于起步阶段,民宿数量较少,零星的热点集聚主要分布于武汉市西南部及南部的蔡甸区、汉南区、江夏区。2005—2015年,研究区域民宿总体数量持续上升,尽管民宿全局莫兰指数有所下降,但局部地区的热点集聚现象仍较为明显,并且由紧邻主城区分布的环状分布形态开始向周围扩散,主要分布在武汉市西半部及东北部的黄陂区。2015—2022年,研究区域民宿热点集聚的总面积增加明显,与此同时其空间扩散与集聚作用并存的特征也较为明显,在武汉市北部、东北部、西南部的黄陂区、新洲区、蔡甸区均有所体现。总体而言,2000—2022年民宿分布的空间集聚与扩散作用并存,热点数量逐年增加且其集聚方式从围绕武汉市主城区的环状分布逐渐向远离城区外围扩散分布。
图3 全局显著变量对武汉市郊区民宿布局影响的空间变化

Fig.3 Spatial change of globally significant variables on the layout of homestay in the suburbs of Wuhan

3 大都市郊区民宿发展阶段划分

将武汉市郊区民宿在不同时期的空间布局情况进行可视化,并依据武汉市区域范围的实际情况将距离中心城区20 km范围内的区域划为郊区近程圈,将距离中心城区20~60 km范围内的区域划为郊区远程圈,距离中心城区60 km以外的区域划为郊区边缘带,分别统计郊区民宿在不同时期、不同圈层的布局特征。总体而言,武汉市郊区民宿发展大致经历了萌芽、起步、初步发展与综合转型4个阶段,最终形成“20 km近程圈+60 km远程圈”双高峰聚集的空间布局形态。具体而言:
①萌芽阶段:2000年及以前。随着1998、1999年原国家旅游局分别确定“华夏城乡游”“中国生态游”的旅游主题,乡村旅游逐步形成、发展,乡村民宿作为乡村旅游的重要组成部分开始萌芽。这一时期武汉市郊区民宿整体数量相对较少,且由于交通等条件限制大多分布在郊区近程圈内,在空间格局上初步呈现出一定的聚集态势。
②起步阶段:2000—2005年。随着国家部门相继制定了《全国农业旅游示范点、全国工业旅游示范点检查标准(试行)》等一系列乡村旅游的指导性文件,进一步提升了乡村旅游发展的规范性,也为乡村民宿发展提供了良好的起步条件。该时期武汉市郊区民宿数量整体有所上升,布局的空间聚集性有所加强。与此同时,郊区民宿在20km近程圈内密集布局的同时开始向城郊远处拓展,60km民宿布局远程圈逐渐形成。
③初步发展阶段:2005—2015年。2007年,原国家旅游局和原农业部联合发布了《关于大力推进全国乡村旅游发展的通知》,随后乡村旅游开始出现在更多的政策和文件中,乡村旅游的大力发展也为乡村民宿的进一步兴起奠定了良好基础。该时期武汉市郊区民宿数量大幅上升,与此同时随着公交、地铁、城铁等公共交通的便捷性不断提升,民宿在空间上继续向郊区远程圈拓展,空间扩散性增强。
④综合转型阶段:2015—2022年。随着2017年国内首个旅游民宿行业标准《旅游民宿基本要求与评价》发布,乡村民宿进入规范性、高质量发展的综合转型阶段。这一时期,武汉市郊区民宿数量在初步发展阶段的基础上实现持续上升,空间分布再次趋向集聚,“20 km近程圈+60 km远程圈”双高峰聚集的空间布局形态最终形成。

4 大都市郊区民宿空间分布影响因素分析

为进一步分析武汉市郊区民宿空间演化影响因素,本文运用多尺度地理加权回归模型,依托2022年研究区域民宿分布数据,选取符合研究区域实际情况的各维度因子,并从其影响程度与空间异质性出发进行分析。

4.1 模型拟合效果对比

为保证模型的拟合效果,首先对选取的影响要素采用方差膨胀系数(Variance Inflation Factor,VIF)进行多重共线性检验。经检验筛选出的要素方差膨胀因子均小于7.5,无共线性问题。其次对各要素的莫兰指数进行计算检验,确认各要素均具有空间异质性,适用于地理加权回归模型的计算。通过使用MGWR2.2构建经典地理加权回归模型(GWR)与多尺度地理加权回归模型(MGWR)分析,对比发现MGWR模型在随机误差、简洁性、精确性及拟合优先度等方面的处理均优于GWR模型,特别是MGWR模型考虑了不同变量的尺度差异,能够更好地识别空间异质性以及空间尺度。基于此,本文选取MGWR模型对武汉市郊区民宿空间演化的影响因素展开分析。

4.2 民宿空间演化影响因素与尺度分析

对所选因子进行全局回归分析(表2),结果表明政策支持力度、公路交通、公共交通、环城距离、植被覆盖度与武汉市郊区民宿的空间集聚显著相关。与此同时,MGWR模型提供空间局部显著的影响因子分析,揭示更精细的局部空间演化机制。基于此,在对全局显著因子分析的基础上,选取人口密度、户均宅基地面积、海拔、河流水系、平均气温、文保单位和A级旅游景区数量以及土地开发利用程度7项局部显著的影响因子展开分析。
表2 经典地理加权回归与多尺度地理加权回归模型带宽比较

Tab.2 Bandwidth of GWR and MGWR

变量 MGWR GWR P 显著性
全局
显著
要素
A21植被覆盖度 44 532 0.002 **
B11公路交通 538 532 0.037 *
B12公共交通 148 532 0.001 ***
B21环城距离 728 532 0.015 *
C21政策支持力度 529 532 0.049 *
局部
显著
要素
A11海拔 722 532 0.257 -
A12河流水系 728 532 0.887 -
A13平均气温 728 532 0.744 -
C11人口密度 44 532 0.814 -
C31户均宅基地面积 728 532 0.628 -
D11文保单位和A级
旅游景区数量
728 532 0.517 -
D21土地开发利用程度 728 532 0.656 -

注:*、**、***分别代表5%、1%、0.1%的显著性水平。

相比于经典GWR模型的532固定带宽,MGWR结果显示不同因子在空间尺度上的影响差异显著(表2)。植被覆盖度、人口密度、公共交通的影响尺度小,表明这些因素在不同地区对民宿布局的影响差异大,反映了各类民宿对这些条件的不同需求。政策支持力度、公路交通在空间上的影响尺度与研究区域行政区尺度相当,说明它们在行政区内影响相似,但跨行政区则有明显变化。环城距离、户均宅基地面积、海拔、河流水系、平均气温、文保单位和A级旅游景区数量、土地开发利用程度的作用尺度大,系数在空间上变化趋于平稳,其空间异质性特征相对较弱,对区位差异并不敏感。

4.3 民宿空间演化影响因素的空间异质性

采用自然断点法对回归系数进行分级,从全局显著变量的地理加权回归结果来看:①研究区内植被覆盖度与民宿分布大部分呈现负相关(图3a),表明民宿更倾向于选择开发建设程度较高的村庄,而不是植被覆盖率高、开发建设程度低的区域。在过度开发或植被保护不足的地区,合理规划村庄建设、提升生态景观和宜居度,对于提升民宿产业质量发挥重要作用。②研究区内公路交通与民宿分布呈现为程度较弱的负相关(图3b),结合公共交通与环城距离的分析,这可能是由于城市居民更倾向于选择临近的村庄进行游憩,且郊区民宿的地理位置优势,公共交通便利,驾车出行的需求有所降低,而村内公路过于密集反而会对民宿所提供的休憩功能造成干扰。③研究区内公共交通与民宿分布在江夏区南部和黄陂区呈现正相关(图3c),说明这些地区的民宿业对公共交通的依赖度高,提升公共交通水平有助于促进民宿产业的发展。④研究区内环城距离与民宿分布呈现负相关(图3d),可见若村庄环城距离较远,可能会增加旅客出行成本和抑制出行欲望,不利于民宿业态发展。⑤政府政策支持力度与民宿分布在黄陂区、新洲区南部呈现强正相关(图3e),在江夏区呈现弱正相关,三地的民宿政策都对民宿业态起到促进作用,特别是在黄陂区和新洲区南部,政策效果更为显著;在蔡甸区和新洲区中南部,当地民宿政策的实施效果不显著。
而从局部显著变量的地理加权回归结果来看:①人口密度对黄陂区、江夏区、蔡甸区民宿选址有显著影响(图4a),人口密度影响回归系数绝对值在0.30~4.12之间,说明武汉市郊区人口密度越低的区域对民宿聚集分布的吸引力更大且存在空间差异,这种局部显著性效果在黄陂区表现得尤为突出。②户均宅基地面积影响回归系数均为正值(图4b),这意味着户均宅基地面积越大的区域对民宿的分布具有更强的吸引力,也反映了江夏区和黄陂区南部空心村在民宿发展方面具有较大潜力。③海拔存在正向影响(图4c),特别是黄陂区北部,高海拔的独特景观吸引民宿聚集。④河流水系存在负向影响(图4d),江夏区及黄陂区北部影响回归系数较大,这是由于该区域河流湖泊分布较为密集,其受河流水系影响较弱。⑤多年平均气温存在负向影响(图4e),民宿更倾向于选址在气温较低区域,特别是南部地区受影响更大。总体而言,民宿分布与发展受当地自然条件影响,山水相映、气候凉爽等自然条件优越的地区对游客吸引力更大。此外,土地开发利用程度影响回归系数为负(图4f),且系数绝对值小于0.02,说明村庄土地开发利用程度对民宿选址布局的影响不明显。除自然条件外,人文历史也是吸引游客和民宿布局的关键因素。研究发现文保单位和A级旅游景区数量对武汉市郊区民宿分布影响不明显(图4g),说明文物遗址并不是民宿吸引游客的主要方式。
图4 局部显著变量对武汉市郊区民宿布局影响的空间变化

Fig.4 Spatial change of locally significant variables on the layout of homestay in the suburbs of Wuhan

5 结论与讨论

5.1 结论

在推动城乡融合发展和乡村产业高质量发展的背景下,探究大都市郊区民宿空间的演化过程与影响因素,有利于指导大都市郊区民宿作为三产融合典型形式的产业选址和集聚区发展规划,推动城乡“土地、人才、资金”等要素合理流动与优化配置,进而为新型城镇化建设和乡村振兴注入新动能。本文基于企业微观数据,采用圈层分析、多尺度地理加权回归分析等方法针对武汉市郊区民宿空间分布的演化过程及影响因素进行了深入探究,得到主要结论如下:
①2000—2022年,武汉市郊区民宿数量总体呈现上升趋势,其数量波峰主要出现在距城市中心10~20 km圈层处,中心圈层民宿占比下降,边缘圈层民宿占比提升,民宿发展不断外扩。形成双高峰聚集的空间布局形态,即依赖公共交通的10~20 km近程民宿圈与依赖自然条件的50~60 km远程民宿圈。
②武汉市郊区民宿空间演化受社会政策、自然环境等传统因素影响,由于大都市郊区城乡要素流动较快,交通区位、人类活动因素也显著影响民宿分布。政策支持力度、公路交通、公共交通、环城距离、植被覆盖度等5个因子为全局显著因子,人口密度、户均宅基地面积、海拔、河流水系、平均气温、文保单位和A级旅游景区数量、土地开发利用程度7个因子为局部显著因子。各影响因子在武汉市郊区存在明显的空间异质性,为民宿因地制宜发展提供了理论依据。
③环城距离对武汉市郊区民宿的选址分布具有明显正相关影响作用。近程圈内由于城市居民青睐公共交通出行,其民宿布局对村庄所在地公共交通便捷程度依赖性较高,而远程圈内自然环境因素对于民宿布局的影响作用较大。人口密度的负向影响和户均宅基地面积的正向影响折射出郊区空心村的民宿发展潜力较大。政策支持力度、文保单位和A级旅游景区数量等因素作用尺度较大,并正向影响不同距离民宿的选址分布。

5.2 讨论

大都市郊区是城乡融合发展与乡村产业高质量发展的前沿阵地,受大都市辐射带动作用的影响,郊区依托自身优越的自然条件或人文特色便于承接大都市溢出的人口、资源等。民宿作为乡村产业融合的典型代表,是大都市郊区要素流动的重要载体,其选址布局及空间演化对于促进大都市郊区乡村发展有着重要作用。本文综合研究了武汉市郊区民宿的空间格局演化及其影响因素,对于优化大都市郊区民宿选址,促进民宿产业高效发展具有现实意义。对比其他非大都市郊区民宿空间演化及影响因素的研究[4,17-18,21,25,27,31],本文发现不同于都市民宿与乡村民宿,一定程度上大都市郊区人口密度越低的区域对民宿聚集的吸引力反而越大。对于都市民宿,其城市旅游体系大多趋于成熟,在品牌效应和集聚效应的影响下,都市民宿往往趋向于分布在人口密度较大的区域;而对于乡村民宿,其民宿产业链往往未完善,因此需要更多的客源与劳动力来推进民宿的创新与发展。同时,大都市郊区民宿借助其独特的区位优势,一方面享受大都市客流、技术、消费、交通等方面的优势辐射,另一方面规避都市民宿行业的激烈竞争,并迎合高水平消费人群对于乡村田园度假的需求。在人口密度达到一定程度后,都市郊区民宿对人口的需求趋于饱和,过多的人口反而可能会对民宿的休憩娱乐功能产生干扰,此时都市郊区民宿倾向于选择人口密度较低的区域。
基于上述结论,本文提出以下对策与建议:①需加强政策和资金上对大都市郊区空心村落转型为民宿的支持,在宅基地改革契机下充分盘活闲置宅基地推动民宿产业升级。鼓励能人返乡,当地人自主经营民宿,并给予规划布局、建筑风格等方面的指导。②需完善大都市郊区基础设施,铺就郊区民宿发展“快车道”,合理规划交通线路和布局,增加公共交通站点和数量,打造便利的公共交通和公路交通助推都市和郊区的人口流动,畅通市民出行的“最后一公里”。③需加强对自然资源和生态环境的保护,提升大都市郊区生态景观观感和生态宜居度,依托优越的自然条件承接都市游客,并挖掘郊区历史人文底蕴,讲好文化故事,满足游客物质体验和精神需求。
然而,本文仍然存在一些不足。①在大都市郊区民宿分布区位影响因子的选择上,虽然已覆盖多维度的因子列表,但由于村庄建筑风格难以量化尚未列入列表。②由于MGWR模型计算量巨大难以实现所有样本的回归分析,且部分村庄数据存在缺失,故本文在回归分析时使用各远城区村庄的抽样数据,可能会存在一定偏差。尽管如此,对大都市郊区民宿空间的演化过程、影响机制展开研究,其对于促进城乡融合与推动乡村产业高质量发展仍具有重要意义。
[1]
刘守英. 关于乡村振兴的四个问题[J]. 中国改革, 2022(5):12-14.

[2]
中华人民共和国文化和旅游部. 旅游民宿基本要求与等级划分GB/T 41648—2022[S]. 北京: 国家市场监督管理总局, 2022.

[3]
龙飞, 刘家明, 朱鹤, 等. 长三角地区民宿的空间分布及影响因素[J]. 地理研究, 2019, 38(4):950-960.

DOI

[4]
马勇, 邹统钎, 王晨, 等. 民宿蓝皮书:中国旅游民宿发展报告(2019)[M]. 北京: 社会科学文献出版社, 2020.

[5]
蔡晓梅, 卜美玲, 吴泳琪, 等. 制造异托邦:大城市周边乡村民宿集群的空间演变与机制——以深圳市较场尾为例[J]. 旅游学刊, 2022, 37(11):27-39.

[6]
吕晓, 牛善栋, 谷国政, 等. 有限市场化的农村宅基地改革:一个“人—地—房—业”分析框架[J]. 中国农村经济, 2022(9):24-43.

[7]
Zhao Q L, Jiang G H, Yang Y T, et al. Multifunction change of rural housing land in metropolitan suburbs from the perspective of farmer households' land-use behavior[J]. Land Use Policy, 2022, 119(2):106206.

[8]
刘美新, 蔡晓梅, 麻国庆. 乡村民宿“家”的生产过程与权力博弈:广东惠州上良村案例[J]. 地理科学, 2019, 39(12):1884-1893.

DOI

[9]
陆依依, 保继刚. 城市边缘区域“家”到“商业的家”的空间演变——以西双版纳景洪市为例[J]. 人文地理, 2018, 33(3):145-151.

[10]
Qiu H Q, Chen D Z, Liu J Y, et al. Affinity-seeking strategies of homestay hosts:Scale development and validation[J]. Journal of Hospitality and Tourism Management, 2021,49:195-203.

[11]
Basak D, Bose A, Roy S, et al. Understanding sustainable homestay tourism as a driving factor of tourist's satisfaction through structural equation modelling:A case of Darjeeling Himalayan region,India[J]. Current Research in Environmental Sustainability, 2021, 3(4):100098.

[12]
Zhao Y M, Chau K Y, Shen H W, et al. The influence of tourists' perceived value and demographic characteristics on the homestay industry:A study based on social stratification theory[J]. Journal of Hospitality and Tourism Management, 2020,45:479-485.

[13]
张圆刚, 陈希, 余向洋, 等. 旅游者的民宿认同机制及行为差异研究[J]. 人文地理, 2019, 34(5):117-125.

[14]
冯晓兵. 中国民宿网络关注时空特征及影响因素研究[J]. 世界地理研究, 2022, 31(1):154-165.

DOI

[15]
梅林, 姜洪强. 基于Airbnb数据的北京市民宿空间分异过程、因素与趋势[J]. 经济地理, 2021, 41(3):213-222.

DOI

[16]
郝诗雨, 赵媛, 李可. 厦门市民宿的空间分布特征与影响因素研究[J]. 华中师范大学学报:自然科学版, 2018, 52(6):916-924.

[17]
昌杰, 卢松. 黄山市民宿时空演化与影响因素研究[J]. 旅游科学, 2022, 36(3):147-159.

[18]
张海洲, 陆林, 张大鹏, 等. 环莫干山民宿的时空分布特征与成因[J]. 地理研究, 2019, 38(11):2695-2715.

DOI

[19]
Jiang G X, Li Y Q, Zhang S N, et al. How to impress guests:Key factors and strategy configurations for the accommodation memories of homestay guests[J]. Journal of Hospitality and Tourism Management, 2022,50:267-276.

[20]
胡小芳, 李小雅, 王天宇, 等. 民宿空间分布的集聚模式与影响因素研究——基于杭州、湖州、恩施的比较[J]. 地理科学进展, 2020, 39(10):1698-1707.

DOI

[21]
Pasanchay K, Schott C. Community-based tourism homestays’ capacity to advance the Sustainable Development Goals:A holistic sustainable livelihood perspective[J]. Tourism Management Perspectives, 2021,37:100784.

[22]
Bi G H, Yang Q Y. The spatial production of rural settlements as rural homestays in the context of rural revitalization:Evidence from a rural tourism experiment in a Chinese village[J]. Land Use Policy, 2023,128:106600.

[23]
陈燕纯, 杨忍, 王敏. 基于行动者网络和共享经济视角的乡村民宿发展及空间重构——以深圳官湖村为例[J]. 地理科学进展, 2018, 37(5):718-730.

DOI

[24]
周伟伟, 胡春丽, 荣培君. 秦岭陕西段乡村民宿旅游空间分布及影响因素研究[J]. 中国农业资源与区划, 2024, 45(4):235-246.

[25]
王艳, 粟娟, 刘蕾. 武陵山片区星级乡村民宿空间分异及影响因素[J]. 世界地理研究, 2023, 32(9):170-180.

DOI

[26]
董之滔, 孙凤芝, 田菲菲, 等. 山东省民宿空间分布特征及影响因素研究[J]. 干旱区资源与环境, 2023, 37(2):112-119.

[27]
陈海彬. 郑州市乡村旅游资源空间分布及驱动力分析[J]. 中国农业资源与区划, 2020, 41(3):287-292.

[28]
张欣然. 社区居民对都市近郊乡村旅游影响的感知与态度的实证研究——以成都花香果居景区为例[J]. 中国农业资源与区划, 2016, 37(12):243-248.

[29]
刘婧, 甄峰, 张姗琪, 等. 新一代信息技术企业空间分布特征及影响因素——以南京市中心城区为例[J]. 经济地理, 2022, 42(2):114-123,211.

DOI

[30]
李杰杰, 孙昌盛, 张春英, 等. 基于多尺度地理加权回归模型的城市住宅价格影响因素空间异质性——以桂林市主城区为例[J]. 浙江大学学报:理学版, 2024, 51(5):623-635.

[31]
吴必虎, 黄琢玮, 马小萌. 中国城市周边乡村旅游地空间结构[J]. 地理科学, 2004, 24(6):757-763.

[32]
向雁, 侯艳林, 李福夺. 乡村民宿分布热点探测、空间格局及影响因素——以贵州省为例[J/OL]. 中国农业资源与区划, 2024,https://link.cnki.net/urlid/11.3513.S.20240105.1029.008.

文章导航

/