区域经济与理论方法

全球锂资源贸易网络时空演化及其韧性特征

  • 陈伟 , 1, 2 ,
  • 王力平 1, 2 ,
  • 蒋益飞 1, 2
展开
  • 1.中国科学院 地理科学与资源研究所/区域可持续发展分析与模拟实验室,中国 北京 100101
  • 2.中国科学院大学 资源与环境学院,中国 北京 100049

陈伟(1989—),男,博士,副研究员,硕士生导师,研究方向为经济地理与区域发展。E-mail:

收稿日期: 2024-03-03

  修回日期: 2024-06-07

  网络出版日期: 2024-11-29

基金资助

第二次青藏高原综合科学考察研究项目(2019QZKK1007)

国家自然科学基金项目(42130508)

Evolution and Resilience of the Global Lithium Resource Trade Network

  • CHEN Wei , 1, 2 ,
  • WANG Liping 1, 2 ,
  • JIANG Yifei 1, 2
Expand
  • 1. Key Laboratory of Regional Sustainable Development Modeling / Institute of Geographic Sciences and Natural Resources Research,Chinese Academy of Sciences,Beijing 100101,China
  • 2. College of Resources and Environment,University of Chinese Academy of Sciences,Beijing 100049,China

Received date: 2024-03-03

  Revised date: 2024-06-07

  Online published: 2024-11-29

摘要

文章运用多种复杂网络方法,从长时序尺度刻画了全球锂资源贸易网络时空演化,剖析了全球锂资源贸易网络拓扑结构,揭示了全球锂资源贸易网络韧性。研究发现:①全球锂资源贸易规模总体上呈现出先平稳发展、后快速增长态势,碳酸锂贸易规模明显高于氢氧化锂。②全球锂资源贸易网络规模和密度持续提升,逐步形成少数核心国主导、等级特征清晰、空间不均衡态势明显的贸易格局。③智利和阿根廷是具有全球影响力的锂资源出口国,中国、日本、韩国、美国、德国、荷兰、比利时、俄罗斯和加拿大等国长期占据核心地位。④全球锂资源贸易网络骨干结构不断丰富与拓展,呈现出以少数国家为核心节点、连通区域贸易集团的发展态势。⑤全球锂资源贸易网络韧性呈下降趋势,少数国家和贸易联系对锂资源贸易网络结构连通性具有决定性作用,遭受冲击后锂资源贸易网络存在崩溃的危机。基于研究结果,文章提出了一些促进我国锂资源贸易合作、保障锂资源供应安全的政策建议。

本文引用格式

陈伟 , 王力平 , 蒋益飞 . 全球锂资源贸易网络时空演化及其韧性特征[J]. 经济地理, 2024 , 44(10) : 1 -11 . DOI: 10.15957/j.cnki.jjdl.2024.10.001

Abstract

This study employs various complex network methods to characterize the evolution of the global lithium resource trade network on a long-time scale, analyze the network's topological structure,and reveal its resilience. The findings include as follows: 1) The overall scale of global lithium resource trade shows a steady development followed by rapid growth, with lithium carbonate trade obviously surpassing lithium hydroxide. 2) The scale and density of global lithium resource trade network continue to increase,gradually form a trade pattern dominated by a few core countries,characterized by clear hierarchical features and spatial imbalance. 3) Chile and Argentina are exporters of lithium resources with global influence. China, Japan, South Korea, the United States, Germany, the Netherlands, Belgium, Russia, and Canada have long-term core positions. 4) The backbone structure of the global lithium resource trade network is continually enriched and expanded,demonstrating a development trend with a few countries as core nodes connecting regional trade groups. 5) The resilience of the global lithium resource trade network is declining, with a few countries and trade relations playing a decisive role in the network's structural connectivity. There is a crisis of potential collapse in the lithium resource trade network after facing shocks. Based on the above, this paper proposes policy recommendations to promote China's lithium resource trade cooperation and ensure the security of lithium resource supply.

作为重要的战略资源,金属锂的物化性能优越,其密度小、质量轻且具有较强的电荷迁移率和已知元素中最高的电存储密度,在炼铝、陶瓷、玻璃、润滑脂等传统领域以及高科技和军工产业中发挥着重要作用,因此被称为“工业味精”或“白色石油”[1-3]。作为“21世纪能源金属”,锂最重要的应用领域是作为电池的正负极材料被应用于锂电池的生产[4]。与传统电池相比,锂电池不含有铅锌等重金属材料,具备体积小、重量轻、循环寿命长、充电速度快等优势,在手机、电脑和汽车等产业领域具有广泛应用。特别是近年来,在全球能源转型背景下,低碳节能、绿色智能成为产业发展方向,新能源汽车和储能等行业快速发展,锂电池的消费场景和需求持续增加,目前约70%的锂电池被应用于汽车行业之中[5-8]。在此背景下,锂资源成为众多战略性新兴产业不可或缺的关键矿产原材料,对现代工业体系的支撑作用更加凸显。
锂资源在全球范围内总量丰富,但地理分布并不均匀,主要集中在南美洲和大洋洲等地区[9-11]。美国地质调查局资料显示,截至2022年底,全球已探明的锂资源总量约8600万t,但其中仅阿根廷、玻利维亚和智利3个国家的锂资源量就达5200万t,在全球锂资源总量中占比为53%[12],被称为南美洲“锂三角”[13]。资源的稀缺性和集中性促进了锂资源的空间流动,国际贸易逐渐成为世界各国优化资源配置的重要方式,并逐步形成了复杂的全球锂资源贸易网络。特别是近年来,随着新能源汽车和储能等行业的快速发展,全球锂资源的供需关系一直处于紧张状态[14-15],锂被各国陆续列为战略性矿产资源[16-18]。同时,当前地缘政治、贸易保护主义等新形势还会进一步加大国家间锂资源竞争,从而导致全球锂资源贸易的潜在风险持续增加,深刻影响着全球锂资源供应体系。因此,系统剖析全球锂资源贸易格局演化,揭示全球锂资源供需关系变化趋势,对于全面理解全球锂资源贸易动态及其供应安全具有重要意义。
锂矿石及其衍生品的贸易在政治、经济和国防等多个方面均有重要的战略价值[19],使得全球锂消费量呈现出高速增长态势,国家和地区间的贸易互动持续加强,逐渐形成了错综复杂的全球锂资源贸易网络,锂资源供应安全问题成为各国关注焦点[20]。为分析全球锂资源贸易动态与流动特征,部分学者尝试结合国际贸易数据与物质流方法[21],追踪锂资源的生命周期和物质流动情况[22-23],为理解全球或国家尺度锂资源供需关系提供了有益参考。物质流方法是追踪全球锂资源流动的有效方法,但在复杂多变的国际贸易环境中,仍难以直观体现国家间贸易联系的复杂性和动态性[24]。而网络科学的发展为定量评估国家间的贸易联系、刻画贸易网络模式与拓扑结构提供了前沿方法,被学者广泛应用于贸易网络的研究中[25-27]。在此背景下,部分学者开始借助复杂网络方法对锂资源贸易格局演化展开相关研究[28-30]。朱丽丽等从复杂网络视角对碳酸锂国际贸易网络进行了建模和分析,识别出德国、中国、美国在整个碳酸锂国际贸易网络中占有重要地位,发现碳酸锂贸易集团化趋势明显[31];撒兴昌等通过构建全球碳酸锂贸易网络和级联失效模型,刻画了全球碳酸锂贸易格局演变,模拟了不同供应危机来源的雪崩规模、传播路径及其影响[32]。同时,也有学者从多层网络视角剖析锂产业链的供应风险传播,发现锂贸易规模是影响每个国家锂资源贸易竞争力和影响力的关键因素[33]。此外,考虑到锂电池已成为锂资源的主要消费场景,学术界对全球锂电池贸易网络也开展了较为深入、系统的探究,识别锂电池贸易网络中的国家角色变化[34]、网络拓扑特征[35]、产业链风险[36]等。由此可见,全球锂资源贸易动态正在获得学术界更多关注,复杂网络方法成为重要分析手段。然而,现有研究多侧重于分析单一锂商品贸易格局或锂产业链风险,却鲜有研究针对全球锂资源总体贸易格局开展细致剖析,全球锂资源贸易网络时空格局、拓扑结构及其韧性演化特征尚未得到系统性探究。
因此,基于联合国商品贸易统计数据库,本文综合运用网络中心性、视差滤波法和模拟攻击等网络分析方法,从长时序尺度刻画全球锂资源贸易时空格局,剖析全球锂资源贸易网络拓扑结构,揭示全球锂资源贸易网络韧性演化,以期为优化锂资源合作模式、保障锂资源供应链安全提供有益参考。

1 研究数据与方法

1.1 数据来源

为构建全球锂资源贸易网络,本文依托联合国商品贸易统计数据库(UN Comtrade Database)获取所需要的双边贸易流量数据。由于含锂的商品类型复杂多样,锂产业链下游处于动态变化中,较难追踪到完整的下游产品目录,因此本文结合数据可获得性,选取含锂量最大、最纯净的主要商品类型碳酸锂和氢氧化锂(对应的HS编码分别为283691、282520)为研究对象,这2种商品贸易量占据全球锂资源贸易总量的主体。同时,由于锂资源价格易受市场动态、贸易政策和金融危机等因素影响,且随时间波动程度较大,本文统一选择用贸易重量来表征国家和地区间贸易流量。此外,考虑到国际贸易统计中,相较于出口贸易,各国对进口贸易的海关监管通常更为严格,因此本文采用进口口径数据作为主要数据来源,并以出口口径数据对获取的数据集进行插补和完善。为精确刻画国家和地区间锂资源流动情况,根据摩尔质量比,本文进一步测算锂贸易商品中的锂含量,其中碳酸锂、氢氧化锂的转换系数分别为0.189和0.166。通过对进出口数据进行清洗和转换,本文最终整理获得2000—2021年全球216个国家和地区间的锂资源贸易流量矩阵,构建长时序尺度全球锂资源贸易网络,并选取2000、2010、2015和2021年4个年份作为研究截面,以此描绘全球锂资源贸易网络演化过程。

1.2 研究方法

1.2.1 中介中心性

中介中心性是衡量节点在网络中的协调或控制能力。中介中心性越高,说明该节点在网络中的桥梁作用越强,控制其他节点的潜在能力越强。在一个具有N个节点的网络中,节点hj之间的最短路径会途经某些节点,如果节点i被许多最短路径经过,则表示该节点在网络中很重要。中介中心性BCi的计算公式为[37]
B C i = 1 ( n - 1 ) ( n - 2 ) h , j N h j , h i , j i σ h j ( i ) σ h j
式中: σ h j为节点hj之间最短路径的条数; σ h j ( i )为节点hj之间的最短路径经过的节点i的条数。

1.2.2 特征向量中心性

特征向量中心性根据相邻节点的重要程度来衡量该节点的重要性。特征向量中心性认为一个节点的重要性既取决于其相邻节点的数量,还取决于相邻节点自身的中心性[38]。记 x i为节点 v i中心性的度量值,则:
λ x i = j = 1 n a i j x j
式中: λ为矩阵A的特征值,当节点 v i v j之间有连边时, a i j = 1,否则 a i j = 0。设 x = x 1 , x 2 , x 3 , , x n T,经过多次迭代直至稳态时,可得方程式:
λ x = A x
求解方程,可知x是矩阵A的特征值对应的特征向量。特征向量中心性的计算公式为:
E C i = x i = λ - 1 j = 1 n a i j x j

1.2.3 视差滤波

在网络中,骨干结构是一个稀疏的、(未)加权的子图,只包含该网络中最“重要”或“显著”的一些连边。当原始网络过于密集或连边权重难以解释时,提取网络的骨干结构对于理解网络结构非常有效[39]。其中,视差滤波算法[40]利用局部异质性和局部相关性,能够在具有强无序性的加权网络中过滤出优势连接的骨干结构,并保留所有尺度上的结构特性和层次。因此,视差滤波算法大大减少了原始网络中边的数量,同时保留了几乎大部分的权重和很大一部分的节点。
为了评估网络中权重在局部尺度上不均衡的影响,对于每一个具有k个相连节点的节点i,可得出计算函数:
ω i k = k Y i k = k j P i j 2
式中: Y i k表示局部异质性的程度。在完全同质性的情况下,当所有的连接均具有相同的节点强度时, ω i k等于1,与k无关;而在完全异质性的情况下,当只有一个连接承载了节点的全部强度时,该函数为 ω i k = k
零模型常被用来定义异常波动,并提供了在纯随机情况下某一节点的差异度量的期望值。对于变量值x,其概率密度函数为:
ρ k d x = k - 1 1 - x k - 2 d x
该概率密度函数取决于所考虑的节点的度k
视差滤波算法通过识别每个节点的哪些连接应该在网络中被保留下来,提取骨干网络。零模型允许通过计算给定节点的每条边的概率 α i j,即其归一化权重 p i j与零假设相一致来进行这种区分。统计学上相关的连边将是那些权重满足以下关系的边:
α i j = 1 - k - 1 0 p i j 1 - x k - 2 d x < α
需要注意的是,该表达式取决于所考虑的连边所连接的节点的连接数k

1.2.4 模拟攻击

网络结构的稳健性也是复杂网络的基本特征之一。根据渗透理论,当被移除的节点数量达到一个临界值,网络就会被分割成许多独立的子图[41]。然而,究竟在何种程度网络会由于随机和固定节点的故障或失效而面临解体是网络的稳健性问题,也称之为鲁棒性[42]。因此,结合网络结构特征,本文首先对加权节点度和连边权重进行排序,在此基础上通过模拟攻击移除特定节点和连边,测度网络连通规模指标的变化,考察节点或连边失效对网络结构的整体影响,从而判别网络的稳健程度。
与传统的节点度相比,加权节点度不仅考虑了节点的连边数量,还综合了连边的权重,能够更全面地反映网络整体连通性。因此,本文采用网络加权节点度规模来表征网络的连通性程度,计算公式如下[37]
C W D i = j N ( i ) ,   j i w i j
式中: N i是与节点i相邻的节点集合; w i j代表节点i和节点j之间边的权重。

2 结果分析

2.1 全球锂资源贸易规模时序变化

2000年以来,全球锂资源贸易规模总体上呈现出先平稳发展、后快速增长态势,碳酸锂贸易规模明显高于氢氧化锂(图1)。依据变化趋势,可大致将全球锂资源贸易以2015年为分界线划分为2个阶段。第一个阶段为平稳发展阶段(2000—2014年),第二个阶段为快速增长阶段(2015—2021年)。在第一阶段初期,锂资源主要被应用于陶瓷和玻璃等行业,需求量相对稳定;受2008年金融危机影响,全球锂资源贸易规模短暂下降,之后贸易规模逐步回升。2015年以来,伴随电子信息、新能源汽车等领域快速发展,锂电池消费需求量猛增,进一步带动了国际市场对锂资源的需求,全球锂资源贸易进入了快速增长阶段。2018年以后,在全球能源转型和“双碳”战略背景下,锂资源的应用场景更加多元化,新能源汽车、储能、电动工具等产业蓬勃发展,动力电池迎来了黄金发展阶段,全球锂资源贸易实现快速增长。全球碳酸锂与氢氧化锂的贸易规模分别从2015年的7.3万t和2.8万t增长到2021年的19.1万t和11.2万t,其中氢氧化锂增幅高达299.0%。在商品结构上,全球碳酸锂和氢氧化锂贸易的总体增长态势较为一致,其中碳酸锂的贸易规模明显高于氢氧化锂。
图1 2000—2021年全球锂资源贸易规模变化趋势

Fig.1 Changes in global lithium resource trade volume in 2000-2021

2.2 全球锂资源贸易格局演化

为刻画全球锂资源贸易网络格局演化,本文以国家和地区为节点,双边贸易联系为连边,双边贸易规模为连边权重,构建全球锂资源贸易网络。由图2可知,全球锂资源贸易网络规模和密度持续提升,逐步形成少数核心国主导、等级特征清晰、空间不均衡态势明显的贸易格局。其中,由智利、阿根廷和玻利维亚构成的南美洲“锂三角”地区与由中国、韩国和日本构成的东亚锂产业地区,正在成为全球锂资源贸易市场的主导区域。
图2 全球锂资源贸易网络空间演化

注:该图基于自然资源部标准地图服务网站下载的审图号为GS(2016)1667号的标准地图制作,底图无修改。

Fig.2 Spatial evolution of the global lithium resource trade network

全球锂资源贸易规模呈现较快增长态势,进口重心由多极分布向东亚地区转移。伴随电子信息等产业快速发展,全球锂电池市场需求不断增加,尤其是在2015年之后伴随新能源汽车产业的崛起,锂电池作为新能源汽车生产的核心组件,极大程度推动了锂资源国际贸易,全球锂资源贸易总量由2000年的1.11万t提升至2021年的5.47万t,贸易规模扩大了近5倍。2000—2021年,锂资源贸易规模超过50 t的国家从24个增加到34个,并且在2021年中国、智利、韩国的贸易量均超过了1万t。随着时间推移,中国、韩国、日本等东亚国家进口规模逐渐超越欧美国家,成为锂资源进口贸易大国,较大程度上改变着锂资源贸易格局。在此背景下,中国凭借自身成本、制度等优势,逐渐集聚了全球锂产业链中游绝大部分加工和制造产能,成为锂资源进口大国和全球最大的锂产品出口国,在贸易网络中的地位不断提升;韩国和日本的锂资源贸易规模在2021年分别位居全球第三、四位,仅次于中国与智利。韩日两国对锂资源需求均保持在高水平,正成为全球锂电池正极材料生产的集中区域;而美国与西欧国家在全球锂资源贸易中的优势地位有所减弱,但在国际锂资源贸易中仍然占据着重要地位。
从空间联系特征来看,全球锂资源贸易网络规模和密度持续提升,贸易网络等级结构特征清晰,显示明显的空间非均衡性。其中,南美的阿根廷、智利和玻利维亚是全球主要的锂资源出口国,东亚的中国、日本和韩国成为锂资源的主要进口国,而美国和德国等少数发达国家也是全球锂资源贸易格局中的重要力量。2000—2021年,全球锂资源贸易联系由480条提升至697条,各国间贸易联系愈发密切。其中,锂资源贸易量大于50 t和超过250 t的锂资源贸易连边数量分别由34条和10条提升至53条和17条,而锂资源贸易量超过1000 t的连边数量由1条增加到10条。其中,智利和阿根廷资源禀赋优越,是全球主要的锂资源供应国,并逐步形成以智利和阿根廷为中心的锂资源贸易网络,向中国、韩国、日本、美国、德国等主要经济体辐射。作为全球主要的电子设备等生产国,中日韩三国的锂资源贸易量不断攀升,从2000年的3429.6 t提升至2021年的11269.6 t。西欧作为高科技产业集聚区,是锂贸易活跃区域,国家间也呈现出紧密的贸易联系,逐步形成西欧锂贸易子网络。美国是全球锂资源贸易的重要参与国,20多年来其进出口总量波动较小,基本保持在4000 t左右,且与全球主要锂资源贸易国关系稳定。俄罗斯锂资源进出口总量在经过2010年的低谷后,锂资源贸易额由2010年的216.6 t骤升至2021年的3295.2 t,涨幅高达1421.3%,重新成为全球锂贸易网络中的重要一极。此外,随着全球锂产业链不断拓展和深化,印度、马来西亚、新加坡、泰国等亚洲国家的锂资源贸易规模也呈扩大趋势。

2.3 全球锂资源贸易网络中心性

本文通过测度各国在全球锂资源贸易网络中的中介中心性和特征向量中心性,以识别全球锂资源贸易网络中的关键节点。具体地,通过提取截面年份排名前10位的国家及中心性值,结果见表1。从中心性上看,智利和阿根廷是具有全球影响力的锂资源出口国,中国、日本、韩国、美国、德国、荷兰、比利时、俄罗斯和加拿大等国长期占据核心地位,而英国、法国、意大利等传统贸易国的地位有所下滑。
表1 全球锂资源贸易网络中心性测度结果

Tab.1 Centrality indicators in the global lithium resource trade network

年份 国家 中介中心性 国家 特征向量中心性
2000 美国 1674.96 智利 1.00
德国 1183.66 美国 0.86
中国 627.63 日本 0.50
英国 542.55 德国 0.35
南非 459.55 中国 0.34
法国 287.07 比利时 0.31
俄罗斯 272.35 俄罗斯 0.16
意大利 204.33 阿根廷 0.14
荷兰 175.38 意大利 0.09
比利时 170.32 瑞士 0.08
2010 德国 1511.14 智利 1.00
中国 1433.55 日本 0.66
美国 1409.83 德国 0.49
法国 583.77 韩国 0.42
印度 582.69 美国 0.37
南非 497.27 中国 0.34
比利时 459.66 比利时 0.27
英国 298.67 阿根廷 0.23
荷兰 250.94 西班牙 0.09
意大利 248.69 印度 0.08
2015 美国 1277.34 智利 1.00
荷兰 994.40 韩国 0.67
德国 942.47 日本 0.52
中国 822.98 中国 0.46
印度 801.47 美国 0.45
英国 507.28 比利时 0.31
南非 485.37 阿根廷 0.24
智利 357.46 德国 0.11
俄罗斯 242.49 俄罗斯 0.10
比利时 237.03 加拿大 0.08
2021 中国 1334.42 中国 1.00
印度 725.29 智利 0.96
美国 686.60 韩国 0.76
德国 610.80 日本 0.39
俄罗斯 558.90 阿根廷 0.18
南非 475.84 美国 0.09
荷兰 472.28 俄罗斯 0.09
比利时 460.16 荷兰 0.07
土耳其 339.88 比利时 0.03
智利 296.25 加拿大 0.02
从中介中心性看,美国、德国、荷兰、比利时、中国等国家长期具有较强的控制力,印度、俄罗斯、土耳其等国的地位不断提升,而英国、法国、意大利等传统贸易国的位置有所下滑。2000年,由于生产力水平、工业技术等限制,锂资源在产业发展中的适用场景和作用相对稳定,锂资源贸易枢纽国主要集中在美国和西欧国家,这些国家成为经济全球化早期主要的锂资源贸易国。2010年以后,随着电子信息等产业的飞速发展,锂资源在现代产业体系中的支撑作用日益凸显,中国、印度、南非、比利时、俄罗斯、土耳其等国成为这一时期全球锂资源贸易网络中的核心枢纽,具有明显的中介作用。其中,伴随双碳战略布局的不断深化以及清洁能源技术的迅速发展,中国在2021年成为中介中心性最高的国家,在全球锂资源贸易网络中“桥梁”地位凸显,是沟通西欧、美洲、非洲、东南亚和南亚等区域的重要贸易枢纽。2010年以后,印度在锂资源贸易网络中的地位逐步提升,其2021年的中介中心性为725.29,排名仅次于中国,是南亚地区乃至全球锂资源贸易市场中的重要参与国。同时,由于优越的地理区位和港口物流等优势,荷兰、比利时和土耳其等国对全球锂资源贸易长期具有较强的控制力。此外,作为非洲锂资源贸易的重要枢纽,南非自2000年开始一直位于中介中心性前10名。
从特征向量中心性上看,智利、阿根廷、美国、中国、日本、德国、比利时和俄罗斯等国家在全球锂资源贸易网络中占据着最为重要的地位。智利和阿根廷凭借丰富的锂矿资源禀赋,一直是全球最大的锂资源出口国之一,两者的特征向量中心性排名长期位居前列,其中,智利在很长一段时间一直高居榜首,深刻影响着全球锂资源供应,而阿根廷凭借丰富的盐湖资源,锂资源出口量呈现持续增长趋势,特征向量中心性排名从2000年的第8名提升至2021年的第5名,在锂资源贸易网络中的地位进一步增强。由于在市场规模、产业基础和研发优势等方面具有明显优势,美国、德国、中国、日本、韩国等国家在锂产业链中占据核心地位,与世界各国产生最为密切的贸易联系,在锂资源国际贸易中的影响也不断加强。随着近年来新能源汽车、储能等产业的快速发展,中国的锂资源需求呈现出爆发式增长,锂资源贸易规模不断扩大,其特征向量中心性在2021年超过智利、韩国和日本,成为全球锂资源贸易网络中最具影响力的国家。此外,荷兰和比利时等具有战略区位和贸易传统的国家也在贸易网络中发挥着重要的连通作用。

2.4 全球锂资源贸易网络骨干结构

为揭示全球锂资源贸易网络核心结构连通性,本文进一步运用视差滤波算法提取全球锂资源贸易网络的骨干结构(图3)。随时间演化,全球锂资源贸易网络骨干结构不断丰富与拓展,呈现出以少数国家为核心节点、连通区域贸易集团的发展态势,智利、中国、美国、德国、比利时等国家长期承担着贸易枢纽功能,印度、俄罗斯、南非等新兴经济体在骨干结构中的作用日益凸显。
图3 全球锂资源贸易网络骨干结构演化

Fig.3 Backbone structure evolution of the global lithium resource trade network

2000年,美国、智利、中国和德国构成了骨干网络中较为明显的轴辐式结构。由于丰富的锂资源禀赋,智利是全球最大的锂资源出口国,与全球主要锂资源进口大国均保持着紧密的贸易联系,贸易伙伴更加多样化。在这一时期的骨干网络中,美国的贸易枢纽地位凸显,其进口来源国包含18个国家,成为全球最大的锂资源进口国。而德国、中国分别形成了以各自为中心的锂资源贸易集团,其中德国的贸易骨干主要辐射英国、法国、瑞士、奥地利等欧洲国家,中国则与更广范围的国家构成网络连通结构。
随着锂资源贸易市场发展,2010年全球锂资源贸易骨干结构进一步丰富和拓展,区域间的贸易联系显著加强。其中,智利、中国、美国和比利时仍然是网络中最为重要的核心枢纽,在构成各自连通结构的同时,共同支撑了全球锂资源贸易网络的运行。随着锂资源应用领域的扩大,锂资源的需求持续增加,更多国家和地区广泛地参与到了全球锂资源贸易当中。智利在骨干网络中的影响力进一步提升,与22个国家建立了贸易骨干联系,成为网络中最大的核心节点。美国在骨干网络中的地位有所减弱,其骨干连边数量由2000年的18条减少到2010年的10条。而中国一方面从智利、阿根廷和澳大利亚进口锂资源,同时也向日本、印度、印度尼西亚等国出口锂资源。比利时的骨干联系方向仍集中于欧洲国家。另外,南非、印度作为新兴经济体,分别是非洲以及南亚地区具有增长潜力的锂贸易枢纽国。
2015年,全球锂资源贸易骨干结构不断拓展和分化,具有明显的复杂拓扑特征。伴随新能源汽车等领域飞速发展,锂资源供需矛盾凸显,各国对锂资源的争夺日趋激烈,锂资源贸易网络呈现出复杂化趋向。作为锂资源加工大国,中国在网络中同时承担着主要进口国和出口国的双重功能,核心地位日益增强。具体而言,为推动锂资源进出口市场的多元化拓展,中国进一步与加拿大、荷兰等国家建立了贸易骨干联系,骨干连边数量从2010年的12条增加至2015年的20条,成为网络中最大的核心节点国。智利依然保持着核心出口国的地位,骨干连边数量达到15条,是中国、美国、德国和俄罗斯等国的主要进口来源地。美国的骨干结构有所弱化,贸易伙伴呈下降趋势。而德国的骨干网络明显增强,骨干连边数量达到12条,成为辐射欧洲国家的最大贸易枢纽国。同时,比利时和荷兰的骨干节点地位稳固,分别是欧洲最重要的出口国和进口国。
直至2021年,全球锂资源贸易骨干网络进一步重构,呈现出明显的多中心、分散化发展态势。俄罗斯、智利、中国、德国、比利时和美国成为骨干网络中最为核心的节点。智利仍是全球主要的锂资源供应国,与网络中的各骨干节点保持广泛的贸易联系,在骨干结构中的地位和影响力稳定。中国在贸易网络中的核心位置依然稳定,骨干连边数量和贸易伙伴并未发生太大变化,也反映出中国在锂资源贸易市场中的延续性。俄罗斯逐步发展成为重要的核心枢纽国,骨干连边数量由2015年的8条增加至2021年的20条,与韩国、印度、南非、瑞士等国家间形成了明显的骨干结构,进一步增强了与东亚、非洲、欧洲地区的贸易联系。欧洲内部的贸易网络结构呈现紧密复杂特征,以德国、比利时为主要出口国,以荷兰、英国、法国为主要进口国,共同构成欧洲的主要连通网络。

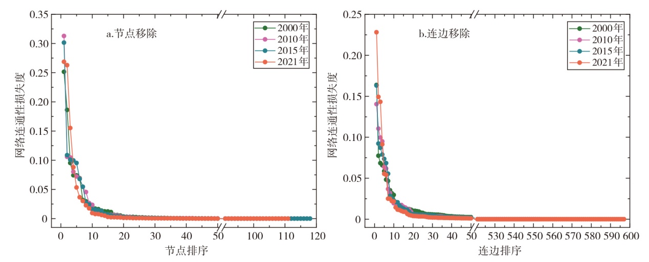
2.5 全球锂资源贸易网络结构韧性

根据加权节点度和连边权重,本文运用模拟攻击方法通过移除特定节点和连边,测度网络连通性的变化,以此评估全球锂资源贸易网络结构韧性(图4)。从时序上看,全球锂资源贸易网络韧性呈下降趋势,少数国家和贸易联系对锂资源网络结构连通性具有决定性作用,遭受冲击后锂资源贸易网络存在崩溃的危机。其中,中国、美国、日本、韩国和智利等核心国起到关键作用,其他多数国家对网络的结构韧性影响较小;由于少量高权重的核心节点与连边存在,导致贸易网络对于蓄意攻击的抵御能力总体较弱,锂资源贸易网络结构韧性有待提高。
图4 全球锂资源贸易网络结构韧性

Fig.4 Structure of the resilience of the global lithium resource trade network

从节点移除结果上看,部分核心节点在全球锂资源贸易网络中发挥关键作用,一旦失效,将会导致网络连通性急剧下降。如果针对节点强度排名前3的国家进行模拟攻击,各年份的网络连通性损失率均超过了50%;而移除排名前30位的国家,则会导致网络连通性损失接近100%。同时,不同年份节点强度损失的衰减速率均在节点位序约10位左右显著降低,并在约15位之后下降接近至0。2021年,节点强度排名前3位的国家分别是中国、智利、韩国,对其进行模拟攻击后的网络连通性损失度分别为0.269、0.263和0.155,反映出上述国家在全球锂资源贸易网络中的极化地位。自2000年以来,智利的节点强度损失率均超过0.25,而受益于电子信息和新能源等产业的迅速发展,中国与韩国的锂资源进口量快速增长,在网络中的地位呈现出不断攀升态势。2000年,针对中国和韩国的模拟攻击造成的损失度仅为0.069和0.011,而2021年则均超过了0.15,特别是中国已成为节点度最高的国家。
从连边移除结果上看,少数贸易连边对网络整体连通性起到决定性作用。长期以来,全球锂资源贸易额主要集中在少数国家间,攻击前25位连边将会导致网络整体连通性趋近于0。2000年,全球锂资源贸易主要集中在以智利为核心的少数双边贸易联系,若对智利—美国、智利—日本、智利—比利时、智利—中国这4对贸易权重最高连边进行模拟攻击,其网络连通性损失分别为0.164、0.077、0.068、0.066。随着中国与智利锂资源贸易的持续深化,在2021年中国—智利已成为贸易权重最大的连边,其贸易权重占比高达0.228。同时,中国与日本、韩国等国家间的贸易联系也不断增强,2021年中国—韩国、中国—日本的连边权重排名分别为第2位与第4位。另外,韩国与智利间的贸易联系也显著增强。

3 结论与讨论

锂在国民经济发展中发挥着重要作用,全球锂资源供应安全愈发受到各国的普遍重视,开展全球锂贸易网络演化及韧性研究具有重要意义。本文运用多种网络分析方法刻画了全球锂资源贸易网络时空演化,并通过模拟攻击方法揭示了全球锂资源贸易网络韧性特征。主要结论如下:①全球锂资源贸易规模总体上呈现出先平稳发展、后快速增长态势,碳酸锂贸易规模明显高于氢氧化锂。依据变化趋势,可大致将全球锂贸易划分为平稳发展阶段(2000—2014年)和快速增长阶段(2015—2021年)。②2000年以来,全球锂资源贸易网络规模和密度持续提升,逐步形成少数核心国主导、等级特征清晰、空间不均衡态势明显的贸易格局。其中,由智利、阿根廷和玻利维亚构成的南美洲“锂三角”地区与由中国、韩国和日本构成的东亚锂产业地区,正在成为全球锂资源贸易市场的主导区域。③从中心性看,智利和阿根廷是具有全球影响力的锂资源出口国,中国、日本、韩国、美国、德国、荷兰、比利时、俄罗斯和加拿大等国长期占据核心地位,而英国、法国、意大利等传统贸易国的地位有所下滑。④全球锂资源贸易网络骨干结构不断丰富与拓展,呈现出以少数国家为核心节点、连通区域贸易集团的发展态势,智利、中国、美国、德国、比利时等国家承担着贸易枢纽功能,印度、俄罗斯、南非等新兴经济体在骨干结构中的作用日益凸显。⑤随时间演化,全球锂资源贸易网络韧性呈下降趋势,少数国家和贸易联系对锂资源网络结构连通性具有决定性作用,遭受冲击后锂资源贸易网络存在崩溃的危机。
近年来,受大国竞争、地缘政治、新冠肺炎疫情等叠加影响,全球锂资源贸易格局演化及供应链安全逐渐受到各国普遍关注。前文分析表明,以中国等国家为代表的东亚锂产业集聚区,正成为全球锂资源贸易市场的主导区域。随时间演化,中国逐步与更广泛的国家建立贸易联系,在贸易网络中的地位不断攀升。但作为全球最大的锂资源进口国、制造国以及消费国,中国对锂资源将持续保持高位需求,然而,中国自身的锂资源储量和产量难以长期支撑中国新能源相关产业的飞速发展,使得中国锂资源外贸依存度长期居高不下。这种高依赖性容易受到地缘政治、贸易制裁、价格波动等外部冲击,导致锂资源供应受限甚至面临中断的风险,从而对中国锂资源产业链造成影响。
结合上述结论,为促进我国锂资源贸易格局优化、提升锂资源供应能力、保障锂资源供应链安全,本文提出以下对策建议:①加大锂矿资源勘探调查,增强国内锂资源保障能力。据美国地质调查局数据,我国是全球锂资源可采储量第四大国,但目前锂矿开发主要集中于盐湖资源,未来仍需要加大锂矿资源调查勘探力度,提升本土锂资源的供应保障能力。②依托“一带一路”倡议、金砖国家等合作平台和机制,不断深化锂资源国际贸易与区域合作。中国已形成了贯穿上中下游的锂资源产业链,锂资源需求量旺盛,未来应继续鼓励国内大型企业积极布局海外,在促进锂产品出口的同时加大海外锂资源开发合作,提高在锂上中游产业链中的优势,扩大全产业链影响力。③加强对地缘形势变化、锂价格变动等事件监测,建立完善风险预警及应急储备机制。当前国际政治经济形势复杂多变,我国应加快构建并持续优化锂资源贸易风险评估与监测预警机制,及早识别潜在风险并制定风险应对策略,从而最大限度减少外部冲击对锂行业的影响。④积极拓展锂资源进口渠道,增强锂资源供应链韧性。我国要在继续巩固与智利、澳大利亚和阿根廷等传统锂资源供应国贸易关系的同时,积极开拓新的锂资源进口来源,特别是近年来,津巴布韦、巴西和葡萄牙等新兴锂资源矿产国已展现出巨大的潜力,正逐渐成为全球市场的重要供应方。这些国家为中国锂资源进口提供了潜在的替代方案,有助于进一步推动我国锂资源供应链的多元化布局。⑤加快建立锂资源回收体系,提升锂资源循环利用水平。废旧锂电池的回收再利用,不仅关乎生态环境保护,同时也是应对锂资源供需关系的重要手段。未来,应加快建设完善废旧锂电池回收体系,通过技术创新不断提升锂资源的回收再利用能力,提高锂资源产品生命周期的利用效率。
本研究试图揭示长时序尺度全球锂资源贸易网络的时空格局及其韧性演化,但仍存在一定的局限性。一方面,由于含锂产品种类的多样性以及下游锂产业链的动态性,研究中难以获取全部的下游商品目录,因此,本文仅选取了含锂量最大的锂产品展开研究,未能从整个产业链视角对全球锂资源贸易网络进行完整分析。另一方面,本文主要是以锂总体贸易为研究对象,分析其贸易网络时空演化与网络拓扑,尚未对产业链内不同产品进行差异化讨论。此外,当前地缘冲突、贸易制裁、市场波动等内外部因素会对全球锂资源贸易系统产生不同程度的影响,锂资源贸易在不同情境下的风险传导过程与机制尚未得到全面探究。在未来的研究中,可考虑进一步细化锂资源产业链物质流动分析,探究全球不同锂产品贸易网络的驱动机制分析和情景模拟,为锂资源产业链供应链安全提供有力支撑。
[1]
赵连征, 汪鹏, 汤林彬, 等. 中国锂元素动态物质流及关键驱动因素分析[J]. 科技导报, 2022, 40(21):100-109.

DOI

[2]
Li H, Zhu T, Chen X, et al. Improving China's global lithium resource development capacity[J]. Frontiers in Environmental Science, 2022,10:938534.

[3]
邢佳韵, 彭浩, 张艳飞, 等. 世界锂资源供需形势展望[J]. 资源科学, 2015, 37(5):988-997.

[4]
张生辉, 王振涛, 李永胜, 等. 中国关键矿产清单、应用与全球格局[J]. 矿产保护与利用, 2022, 42(5):138-168.

[5]
崔晓林. 中国锂矿资源需求预测及供需分析[D]. 北京: 中国地质大学(北京), 2018.

[6]
Zeng X, Li M, Abd El-Hady D, et al. Commercialization of lithium battery technologies for electric vehicles[J]. Advanced Energy Materials, 2019, 9(27):1900161.

[7]
Mayyas A, Steward D, Mann M. The case for recycling:Overview and challenges in the material supply chain for automotive li-ion batteries[J]. Sustainable Materials and Technologies, 2019,19:e00087.

[8]
袁小晶, 马哲, 李建武. 中国新能源汽车产业锂资源需求预测及建议[J]. 中国矿业, 2019, 28(8):61-65.

[9]
Peiró L T, Méndez G V, Ayres R U. Lithium:Sources,production,uses,and recovery outlook[J]. JOM, 2013, 65(8):986-996.

[10]
Weimer L, Braun T, vom Hemdt A. Design of a systematic value chain for lithium-ion batteries from the raw material perspective[J]. Resources Policy, 2019,64:101473.

[11]
刘丽君, 王登红, 刘喜方, 等. 国内外锂矿主要类型、分布特点及勘查开发现状[J]. 中国地质, 2017, 44(2):263-278.

[12]
USGS. Mineral commodity summaries 2022[EB/OL]. https://pubs.usgs.gov/publication/mcs2022,2022-01-31.

[13]
杨宇, 夏四友, 金之钧. 能源转型重塑地缘政治的逻辑与研究展望[J]. 地理学报, 2023, 78(9):2299-2315.

DOI

[14]
Shao L, Hu J, Zhang H. Evolution of global lithium competition network pattern and its influence factors[J]. Resources Policy, 2021,74:102353.

[15]
王登红. 关键矿产的研究意义、矿种厘定、资源属性、找矿进展、存在问题及主攻方向[J]. 地质学报, 2019, 93(6):1189-1209.

[16]
中华人民共和国自然资源部. 全国矿产资源规划(2016—2020年)[EB/OL]. https://www.cgs.gov.cn/tzgg/tzgg/201612/t20161206_418714.html,2016-12-06.

[17]
European Commission. Proposal for a REGULATION OF THE EUROPEAN PARLIAMENT AND OF THE COUNCIL establishing a framework for ensuring a secure and sustainable supply of critical raw materials and amending Regulations (EU) 168/201,(EU)2018/858,2018/1724 and (EU) 2019/1020[EB/OL]. https://eur-lex.europa.eu/legal-content/EN/TXT/?uri=CELEX%3A52023PC0160,2023-03-16.

[18]
USGS. Geological Survey Releases 2022 List of Critical Minerals[EB/OL]. https://www.usgs.gov/news/national-news-release/us-geological-survey-releases-2022-list-critical-minerals,2022-02-22.

[19]
李建康, 刘喜方, 王登红. 中国锂矿成矿规律概要[J]. 地质学报, 2014, 88(12):2269-2283.

[20]
卜小平, 赵亚利, 孟刚, 等. 对我国优势战略矿产资源出口控制问题的探讨[J]. 中国矿业, 2009, 18(6):5-8.

[21]
Sun X, Hao H, Zhao F, et al. Tracing global lithium flow:A trade-linked material flow analysis[J]. Resources,Conservation and Recycling, 2017,124:50-61.

[22]
Sun X, Hao H, Zhao F, et al. Global lithium flow 1994-2015:Implications for improving resource efficiency and security[J]. Environmental Science & Technology, 2018, 52(5):2827-2834.

[23]
Ziemann S, Grunwald A, Schebek L, et al. The future of mobility and its critical raw materials[J]. Metallurgical Research & Technology, 2013, 110(1):47-54.

[24]
Chen J, Luo Q, Sun X, et al. The impact of renewable energy consumption on lithium trade patterns:An industrial chain perspective[J]. Resources Policy, 2023,85:103837.

[25]
陈伟, 赵晞泉, 刘卫东, 等. “一带一路”贸易网络演化与贸易门户国家识别[J]. 地理学报, 2023, 78(10):1-19.

[26]
徐斌, 刘杨倩宇, 叶利莹, 等. 全球锡矿典型产品网络贸易格局演变与中国地位[J]. 经济地理, 2023, 43(12):113-125.

DOI

[27]
吴爱萍, 张晓平, 宋现锋, 等. 2000—2019年全球核电设备贸易网络结构及其影响因素[J]. 经济地理, 2022, 42(7):126-134,194.

DOI

[28]
左芝鲤, 成金华, 詹成, 等. 全球锂产业链贸易格局演化及脆弱性分析[J]. 资源科学, 2024, 46(1):114-129.

DOI

[29]
朱丽丽, 金庆花, 杨雪松. 基于复杂网络理论的氢氧化锂国际贸易中国地位分析[J]. 中国矿业, 2016, 25(10):49-52.

[30]
Tian X, Geng Y, Sarkis J, et al. Features of critical resource trade networks of lithium-ion batteries[J]. Resources Policy, 2021,73:102177.

[31]
朱丽丽, 周平, 杨雪松. 碳酸锂国际贸易复杂网络建模与分析[J]. 中国矿业, 2016, 25(9):52-56.

[32]
撒兴昌, 高天明, 张艳. 全球碳酸锂贸易格局与供应危机传播研究[J]. 地球学报, 2023, 44(2):341-350.

[33]
Hao H, Xing W, Wang A, et al. Multi-layer networks research on analyzing supply risk transmission of lithium industry chain[J]. Resources Policy, 2022,79:102933.

[34]
Hu X, Wang C, Lim M K, et al. Critical systemic risk sources in global lithium-ion battery supply networks:Static and dynamic network perspectives[J]. Renewable and Sustainable Energy Reviews, 2023,173:113083.

[35]
Sun X, Hao H, Hartmann P, et al. Supply risks of lithium-ion battery materials:An entire supply chain estimation[J]. Materials Today Energy, 2019,14:100347.

[36]
Hu X, Wang C, Zhu X, et al. Trade structure and risk transmission in the international automotive Li-ion batteries trade[J]. Resources,Conservation and Recycling, 2021,170:105591.

[37]
Freeman L C, Roeder D, Mulholland R R. Centrality in social networks:ii. experimental results[J]. Social Networks, 1979, 2(2):119-141.

[38]
Bonacich P. Some unique properties of eigenvector centrality[J]. Social Networks, 2007, 29(4):555-564.

[39]
钮潇雨, 陈伟, 俞肇元. “一带一路”贸易网络连通性演化[J]. 地理科学进展, 2023, 42(6):1069-1081.

DOI

[40]
Serrano M Á, Boguñá M, Vespignani A. Extracting the multiscale backbone of complex weighted networks[J]. Proceedings of the National Academy of Sciences, 2009, 106(16):6483-6488.

[41]
Pósfai M, Barabási A L. Network Science[M]. Cambridge: Cambridge University Press, 2016.

[42]
陈伟, 王芯芮, 龙燕, 等. “一带一路”沿线地区贸易网络韧性研究[J]. 经济地理, 2024, 44(1):22-31.

DOI

文章导航

/