城市地理与新型城镇化

长江经济带城市生态财富与产业结构变迁的空间关联及互动效应

  • 张明斗 , 1 ,
  • 周川 , 2,
展开
  • 1.东北财经大学 经济学院,中国辽宁 大连 116025
  • 2.东北财经大学 东北全面振兴研究院,中国辽宁 大连 116025
※周川(1999—),男,硕士研究生,研究方向为城市与区域经济。E-mail:

张明斗(1983—),男,博士,教授,研究方向为城市与区域经济。E-mail:

收稿日期: 2023-01-16

  修回日期: 2024-04-16

  网络出版日期: 2024-09-14

基金资助

国家自然科学基金青年项目(71804021)

辽宁省教育厅面上项目(LJKMR20221600)

辽宁省经济社会发展研究项目(2024lslybkt-012)

辽宁省研究生教育教学改革研究项目(LNYJG2023307)

Spatial Correlation and Interaction Effects between Urban Ecological Wealth and Industrial Structure Changes in the Yangtze River Economic Belt

  • ZHANG Mingdou , 1 ,
  • ZHOU Chuan , 2,
Expand
  • 1. School of Economics,Dongbei University of Finance and Economics,Dalian 116025,Liaoning,China
  • 2. Institute for Northeast Full Revitalization,Dongbei University of Finance and Economics,Dalian 116025,Liaoning,China

Received date: 2023-01-16

  Revised date: 2024-04-16

  Online published: 2024-09-14

摘要

文章以长江经济带110个地级及以上城市为研究样本,采用双变量空间自相关模型和面板向量自回归模型,实证分析了2012—2021年其生态财富与产业结构变迁的空间关联特征及互动效应。结果表明:①10年间长江经济带城市生态财富波动增长,年均增长率为2.12%,且呈现出“西高东低”的空间分布格局;城市产业结构高级化、合理化水平整体呈上升趋势,均表现出“下游地区>中游地区>上游地区”的分布特征。②长江经济带城市生态财富与产业结构变迁存在显著的空间依赖与关联特征,且上游地区空间集聚特征在减弱,中下游地区持续增强。③长江经济带城市生态财富与产业结构高级化互为Granger因果关系,产业结构合理化是城市生态财富的单向Granger原因;城市生态财富与产业结构高级化之间及生态财富对产业结构合理化的脉冲响应曲线均呈现倒“U”形特征,且长期而言表现为正向波动响应。方差分解结果显示,城市生态财富主要受自身影响,但产业结构变迁对其仍具有一定程度的影响能力。

本文引用格式

张明斗 , 周川 . 长江经济带城市生态财富与产业结构变迁的空间关联及互动效应[J]. 经济地理, 2024 , 44(6) : 82 -92 . DOI: 10.15957/j.cnki.jjdl.2024.06.009

Abstract

Taking 110 cities at the prefecture level and above located in the Yangtze River Economic Belt as the research sample,this paper empirically analyzes the spatial correlation characteristics and interaction effects of urban ecological wealth and industrial structure changes from 2012 to 2021 using the bivariate spatial autocorrelation model and the panel vector autoregression model. The results show that: 1) The urban ecological wealth in the Yangtze River Economic Belt showed a fluctuating growth trend from 2012 to 2021,with an average annual growth rate of 2.12%,and showed a spatial distribution pattern of "high in the west of China and low in the east of China". The advancement and rationalization levels of urban industrial structure showed an overall upward trend,and both showed the uneven distribution characteristics which it was higher in the lower reaches of the Yangtze River Economic Belt than that in the middle reaches of the Yangtze River Economic Belt, followed by the upper reaches of the Yangtze River Economic Belt. 2) There is significant spatial dependence and correlation characteristics of urban ecological wealth and industrial structure changes in the Yangtze River Economic Belt, and the spatial agglomeration characteristics are weakening in the upper reaches of the Yangtze River Economic Belt, and the spatial agglomeration characteristics continue to increase in the middle and lower reaches of the Yangtze River Economic Belt. 3) The urban ecological wealth and the industrial structure advancement in the Yangtze River Economic Belt are mutually Granger causal relationship,and the industrial structure rationalization is the one-way Granger cause of urban ecological wealth. The impulse response curves between urban ecological wealth and industrial structure advancement,urban ecological wealth and industrial structure rationalization all showed inverted U-shaped characteristics. In the long run,it shows a positive fluctuation response. The results of variance decomposition show that the urban ecological wealth is mainly affected by itself,but the industrial structure changes still have a certain degree of influence on it.

中国式现代化是人与自然和谐共生的现代化。习近平总书记强调“绿水青山既是自然财富、生态财富,又是社会财富、经济财富”,深刻揭示了生态本身就是“经济”,保护生态就是发展生产力的辩证关系。党的十八大以来,全国生态文明建设取得历史性突破,创造了巨大的生态财富[1],但区域性生态危机依然存在,结构性、根源性、趋势性的生态压力尚未根本缓解,生态财富的有效积累面临较大阻力。长江经济带作为我国“T”字型战略的一级轴线地带,在长时期经济高速增长的同时,也存在资源浪费、生态失衡以及水资源过度开发等系列问题[2],造成了整体区域生态财富的过度损耗与攫取。随着长江流域生态环境保护和高质量发展进入关键时期,习近平总书记进一步提出“支持生态优势地区做好生态利用文章,把生态财富转化为经济财富”,彰显出加快促进长江经济带生态财富积累并充分发挥其绿色增长效能的决心。当前,长江经济带产业发展方式虽已发生重大变革,但仍存在重化工产业比重高、产业结构趋同等问题,无法与生态环境建设目标相适应,进而使得城市生态财富与产业结构变迁的互动性不足。因此,在全面推进长江经济带高质量发展的背景下,探索如何实现二者有效互动,增强城市绿色发展动能,对于促进产业结构转型升级,实现城市生态财富快速积累具有重要理论与实践意义。

1 文献综述

随着生态环境保护与区域发展的矛盾日益突出,生态财富观引领下的财富增长核心任务被认为应由物质财富总量增加转向以生态财富增加为前提的社会总财富增加。自“生态财富”概念提出以来,学者们开始尝试对其进行界定与衡量。其中,洪银兴等给出了较为具象的界定,将干净的水、清新的空气、多样性的生物、绿色的环境视为生态财富[3];杨和平等借用生态产品来表征生态财富,认为优质的水资源、空气、生物多样性等环境资源及其提供的服务已成为与物质产品拥有同等地位的生态产品,其价值可作为生态财富的表征指标[4];而易家林等以生态系统服务的价值评估结果作为生态财富的量化值[5];此外,鲍鹏程等从自然、经济和社会3个维度构建了指标体系对城市生态财富进行量化分析[6]。总的来说,对生态财富的界定仍未达成一致认识,而以界定为基础的衡量指标选取亦未形成统一标准。
当前,生态财富与产业结构变迁间关系的直接研究鲜少,学者们多关注生态财富包含的某一自然要素与产业结构变迁间的关系。一方面,产业结构变迁在改进土地利用效率、减少大气污染、改善水环境以及影响碳排放总量等方面发挥着巨大作用[7-10];另一方面,土地利用状况、空气质量、水资源约束以及碳排放约束又会影响产业结构变迁进程[11-14]。同时,在意识到现有“产业—生态”间多为单向研究后,部分学者将其扩展到双向关系的相互作用研究。其中,汪艳涛等运用空间联立方程检验了产业结构升级与生态效率间的双向互促作用[15];徐晓光等利用耦合协调模型发现中国产业结构升级与生态环境优化间的矛盾在不断缓解[16];而Niu等基于共生理论探讨了产业发展与生态环境间互惠互利、平行和竞争的共生关系[17]。这些都为明晰生态财富与产业结构变迁间的互动关系奠定了重要理论基础。
综上所述,现有研究有所涉及生态财富涵盖的单一自然要素,但少有基于生态财富整体评价进而分析与产业结构变迁关系的研究。生态财富作为财富形态的重大创新,与我国生态安全保障和社会总财富增长密切相关。而“产业—生态”的联动关系一直是热点问题,以长江经济带为研究区域探究产业结构变迁与生态财富的空间关联及互动效应,不仅为这个问题增加了一个流域视角,还是在生态财富观引领下对生态价值与产业发展关系的中国式解读。
基于这一认识,本文系统性构建出城市生态财富评价指标体系,以此测度长江经济带110个地级及以上城市的生态财富水平,同时测算出各城市产业结构高级化、合理化水平,在此基础上使用双变量空间自相关分析城市生态财富与产业结构变迁的空间关联特征,并建立PVAR模型探究二者的动态互动效应,以期为推动长江经济带高质量发展,谱写生态优先绿色发展新篇章提供政策制定思路。

2 城市生态财富与产业结构变迁的互动机理

2.1 产业结构变迁影响城市生态财富的理论机制

产业结构变迁通过改变生产活动对生态环境的作用方式影响城市生态财富积累。一是产业结构高级化通过改造传统产业、淘汰落后产业、培育新兴产业等途径完成产业置换[18],由此形成的新生产方式将拥有更高的生产效率,使生产活动更符合自然生态运行规律与经济高质量发展要求。同时,“经济结构服务化”作为产业结构高级化的重要趋势,存在着知识、技术、数据等先进生产要素对水、土地、能源等传统物质要素的“替代效应”,且将使生产空间更多局限于人类聚集区域,有效减少与生态空间的冲突。二是产业结构合理化通过产业关联效应不断提高产业间聚合质量[19],进而提高生产要素利用效率,改变生产活动对于生态环境的影响强度,最终实现经济集约增长。具体而言,产业结构合理化具有“要素配置效应”,能够引导水、土地、能源等传统物质要素向具有更高生产率的新兴产业、绿色产业大规模转移,使资源要素利用更加充分、污染排放更少,进而弱化生产活动对生态环境的不利影响。

2.2 城市生态财富影响产业结构变迁的理论机制

城市生态财富通过生态约束或效益激励影响产业结构变迁。一是较低水平的城市生态财富存在“倒逼效应”。地方政府会因这一效应而积极解决生态环境问题,降低高污染、高能耗产业的比重以积累生态财富。传统粗放型产业也会因环境规制的影响自主寻求与新技术、新产业、新业态、新模式的深度融合,实现产业发展的绿色转型,进而促进产业结构高级化。同时,较低水平的城市生态财富可能导致产业发展的资源要素成本与环境成本增加,使得生产要素从高耗能、高污染的制造业大规模转移到高新技术产业,从而逐渐促进产业结构合理化。二是随着城市生态财富增长,城市产业结构会受到生态财富的正向“激励效应”。作为一种新的财富形态,生态财富具有绿色生产力属性,可以提供生产要素或优质生产环境以参与生产过程,从而将生态价值附加到传统产品与服务上,形成更具价值的生态产品与服务,进而促进“产业生态化”。当城市具有丰裕的生态财富时,还可以建立城市特色生态产业,加快“生态产业化”过程。而“产业生态化”与“生态产业化”势必会促进产业结构高级化与合理化。更进一步说,以生态财富作为“新质”生产要素参与进各类产业的生产过程是生态财富价值实现的必要手段,而这不仅将会在要素层面改善产业间的要素配置,促进产业结构合理化,也将在产业层面以更可观且绿色的经济效益引导产业生态化转变,最终实现产业结构高级化。

3 指标体系构建、研究方法与数据来源

3.1 城市生态财富指标体系构建

3.1.1 城市生态财富(UEW)

生态财富根植于“两山”理论,是更中国式的表达,完全使用生态产品或生态系统服务的界定并不足以完整反映出生态财富的独特内涵。因而,结合中国实际,本文将生态财富界定为以下三类:①具有实际经济产出能力的自然资源,如水、森林、土地等资源。②满足人民群众日益增长的生态环境需求的自然环境,如清新的空气、适宜的气候等。③增强可持续发展能力、保障生态安全的生态基础,如耕地保有量、生物丰度、景观抗干扰能力以及城市生态建设情况等。基于以上界定,同时充分考虑“山水林田湖草生命共同体”理念、大气污染防治、“双碳”目标、气候变化应对及生态安全格局优化等重要发展理念与诉求,本文从水、林草、土地、大气、碳、气候、生物景观以及社会生态财富多个方面,系统性构建出城市生态财富评价指标体系(表1)。此外,本文使用CRITIC—熵值法计算各个指标的综合权重,并进一步测度长江经济带110个城市的生态财富水平,具体计算步骤见相关文献[20]
表1 城市生态财富评价指标体系

Tab.1 Evaluation index system of urban ecological wealth

一级指标 二级指标 指标说明 属性 权重 文献来源
水生态财富 产水模数(m3/km2 水资源总量/地区面积 正向 0.043 [21]
水域覆盖率(%) 水域面积/地区面积 正向 0.095 [21]
生态环境用水率(%) 生态环境用水量/用水总量 正向 0.102 [22]
林草生态财富 植被覆盖率(%) (林地面积+草地面积)/地区面积 正向 0.077 [23]
净初级生产力(gC·m-2·a-1 净初级生产力 正向 0.035 [23]
土地生态财富 耕地面积保持率(%) 当年耕地面积/前一年耕地面积 正向 0.009
土壤保持能力(t·hm-2·a-1 土壤保持能力 正向 0.055 [23]
大气生态财富 空气优良率(%) 空气优良天数/总记录天数 正向 0.026 [24]
PM2.5浓度(μg/m3 PM2.5浓度 负向 0.037 [6]
降水质量 年降水pH值大于5.6取1;年降水pH值小于5.6取0 正向 0.128
碳生态财富 碳减排成效(%) (前一年碳排放强度-当年碳排放强度)/前一年碳排放强度 正向 0.012
单位面积森林植被碳储量(tC/hm2 单位面积森林植被碳储量 正向 0.055 [25]
气候生态财富 温湿适宜程度(%) 以“温湿指数大于45且小于75的月份占比”表征温湿适宜程度。其中各城市每月的温湿指数具体计算步骤见相关文献[26] 正向 0.030 [26]
热岛效应强度(℃) 以“城市区域与其5 km邻域范围的气温均值之差”表征热岛效应强度。其中,城市区域以不透水面进行表征 负向 0.033 [27]
生物景观生态财富 景观干扰度 使用Fragatats 4.2软件计算景观干扰度 负向 0.028 [28]
生物丰度指数 具体计算步骤参考《生态环境状况评价技术规范(2015)》 正向 0.056 [29]
社会生态财富 建成区绿化覆盖率(%) 建成区绿化覆盖率 正向 0.100 [6]
人均城市公园绿地面积(km2/人) 公园绿地面积/市辖区总人口 正向 0.027 [6]
生活垃圾无害化处理率(%) 生活垃圾无害化处理率 正向 0.018 [6]
污水处理厂集中处理率(%) 污水处理厂集中处理率 正向 0.021 [6]
工业SO2排放强度(t/亿元) 工业SO2排放量/地区GDP 负向 0.013 [6]

3.1.2 产业结构高级化水平(ISA)

产业结构高级化表征产业结构由低水平向高水平演变的动态过程。本文借鉴孙伟增等的计算方法[30],通过对第一、二、三产业增加值占比赋予相应的权重值,构建产业结构层次系数衡量产业结构高级化水平。具体计算如式(1)所示:
I S A = y 1 + 2 y 2 + 3 y 3
式中:ISA表示产业结构高级化水平,ISA值越大说明产业结构高级化程度越高;y1y2y3分别表示第一、二、三产业增加值占比。

3.1.3 产业结构合理化水平(ISR)

产业结构合理化既能反映产业间协调能力和关联水平,也能彰显资源要素在产业间的合理配置程度。本文借鉴邓慧慧等的研究[31]对产业结构合理化水平进行测度,具体计算如式(2)所示:
I S R = 1 - 1 3 y 1 - l 1 + y 2 - l 2 + y 3 - l 3
式中:ISR表示产业结构合理化水平,ISR值越大说明产业结构合理化程度越高;y1y2y3分别表示第一、二、三产业增加值占比;l1l2l3分别表示第一、二、三产业从业人员占比。

3.2 研究方法

3.2.1 双变量空间自相关模型

空间自相关作为地理学第一属性,揭示了地理事物的空间依赖性。而基于双变量的空间自相关模型在描述两个地理要素的空间关联和依赖特征上具有较高适用性与有效性。因此,本文使用此模型计算双变量全局Moran's I和局部Moran's I,以探究长江经济带城市生态财富与产业结构变迁的空间关联特征,具体模型见相关文献[32]

3.2.2 面板向量自回归模型

PVAR模型是一种基于面板数据驱动的向量自回归模型,通过将所有内生变量的滞后项纳入模型中,分析各变量及其滞后项的互动效应与动态关系[7]。该模型不仅考虑了个体异质性,还能有效解决变量内生性问题。鉴于此,本文构建城市生态财富与产业结构变迁的PVAR模型,以分析其交互响应关系。具体模型如式(3)所示:
Y i t = α 0 + q = 1 m α q Y i , t - q + β i + γ i + ε i t
式中:Yit是一个1×2阶的列向量,包含城市生态财富和产业结构高级化水平(合理化水平)两个内生变量; α 0为截距项;q为滞后阶数; α q为滞后q阶的参数矩阵;βi为个体固定效应;γi为个体时点效应;εit为随机扰动项。

3.3 研究样本与数据来源

长江经济带覆盖我国11个省市,具有横贯东西、承接南北、通江达海的独特优势。本文以长江经济带为研究区域,同时将样本数据时间跨度设为2012—2021年,剔除此期间数据缺失较为严重的仙桃市、潜江市、天门市及自治州地区,最终选取长江经济带110个地级及以上城市作为研究样本。此外,本文所用数据主要包括统计数据和自然地理数据两类。统计数据来源于《中国城市统计年鉴》、各类公报、在线数据平台。其中,水资源总量、生态环境用水量来自各省市水资源公报;空气优良率来自中国空气质量在线监测分析平台(https://www.aqistudy.cn/historydata/);PM2.5浓度来自科学数据银行(https://www.scidb.cn/en[33];降水pH数据来自各省市生态环境公报。对于个别缺失数据采用插值法或利用省级层面数据折算补充。自然地理数据包括土地利用类型[34]、净初级生产力、土壤保持能力[35]、CO2排放量[36]、森林植被碳储量[37]、气温和相对湿度数据[38]。若无特别说明则均使用ArcGIS进行相应数据提取与计算,具体数据概况见表2
表2 自然地理数据基本概况

Tab.2 Basic overview of natural geographic data

数据名称 空间分辨率 格式 数据来源 说明
土地利用类型 30 m 栅格 Zenodo数据库
https://www.zenodo.org
此数据集将土地利用类型划分为9类,因研究需要将其重新分类为耕地、林地(原为林地、灌木)、草地、水域(原为水域、湿地、雪/冰)、不透水面、荒地
净初级生产力 500 m 栅格 EARTH DATA
https://www.earthdata.nasa.gov
数据来源于NASA提供的MOD17A3HGF v061数据产品
土壤保持能力 1 km 栅格 科学数据银行
https://www.scidb.cn/en
此数据集包含1992—2019年土壤保持能力数据,缺少2020—2021年数据。本文使用已有年份数据对后两年数据进行预测填补
CO2排放量 1 km 栅格 ODIAC
https://db.cger.nies.go.jp/dataset/ODIAC/
森林植被碳储量 1 km 栅格 国家青藏高原科学数据中心
https://data.tpdc.ac.cn/home
此数据集包含森林地上和地下植被碳储量,对其进行加总得到总储量
年均气温 1 km 栅格 国家青藏高原科学数据中心
https://data.tpdc.ac.cn/home
此气温数据用于计算热岛效应强度
温湿数据 0.25° ×0.25° NetCDF ECMWF
https://cds.climate.copernicus.eu
使用ERA5数据集的月尺度产品,提取1000hpa处相对湿度和气温的月度数据,以计算温湿指数

注:气温数据在计算热岛效应强度与计算温湿指数时来源不同,一是数据获取受限,统一数据较为困难;二是计算温湿指数时需要月度数据而对精度要求相对较低,使用ERA5气象数据进行替换对结果影响较小。

4 实证结果分析

4.1 城市生态财富与产业结构变迁的时空格局

4.1.1 城市生态财富的时空格局

基于城市生态财富综合评价结果,本文计算出2012—2021年长江经济带及三大地区城市生态财富水平(图1)。可以看出,在时序变化特征方面,长江经济带城市生态财富呈现波动增长的趋势,10年间由0.344上升至0.415,年均增长率为2.12%。其中,上游地区城市生态财富增长较为平稳,由0.373增长为0.446,年均增长率为2.01%;中游地区增长波动较大,尤其在2016—2018年下降较多,这可能是由于该地区存在较为严重的污染产业转入现象,生态压力增加,进而对城市生态财富产生了较强的胁迫效应,但总体来看,10年间中游地区城市生态财富仍表现为较强的增长趋势,由0.340增加到0.429,年均增长率为2.61%;下游地区微弱增长,由0.324提高至0.379,年均增长率为1.75%。
图1 长江经济带城市生态财富时序变化

Fig.1 Changes of the urban ecological wealth in the Yangtze River Economic Belt from 2012 to 2021

本文选取2012、2015、2018和2021年的城市生态财富评价结果,按照自然断点法将其划分为4个等级,并使用ArcGIS进行可视化处理(图2)。可以看出,在空间格局分布方面,长江经济带城市生态财富整体表现为“西高东低”的分布格局,高值地区主要位于云贵片区、川东北地区、湘北—赣北地区、皖南地区,低值地区主要分布在皖北—苏沪—浙东地区、湘南—赣南地区以及成渝地区。在空间格局演变方面,大多数地区呈现出由低等级向高等级递进的增长态势,其中以成渝地区、鄂中地区、赣东地区增长最为明显;而皖北地区、苏北地区和上海等地增长缓慢,递进趋势不明显;除此之外,在湘赣部分地区存在城市生态财富回落的现象。
图2 长江经济带市域生态财富空间格局变化

Fig.2 The spatial distribution of urban ecological wealth in the Yangtze River Economic Belt at the prefecture level

4.1.2 产业结构变迁的时空格局

为直观反映产业结构变迁的时序变化特征,计算得出2012—2021年长江经济带城市产业结构高级化、合理化水平(图3)。可以看出,产业结构高级化水平在10年间由2.220上升至2.385,年均增长率为0.80%;产业结构合理化水平由0.824上升至0.899,年均增长率为0.97%,表明长江经济带处于产业结构不断优化的良好局面。具体而言,产业结构高级化水平在2012—2019年处于上升阶段,在2019—2021年保持相对平稳,说明产业结构高级化速度虽有所变缓,但总体上仍能保持在较高水平;产业结构合理化水平在2012—2020年处于上升阶段,而在2020—2021年保持相对稳定,说明随着产业结构升级,各产业间的聚合质量与协调程度也在不断提高。
图3 长江经济带产业结构变迁的时序变化

Fig.3 Changes of the industrial structure in the Yangtze River Economic Belt from 2012 to 2021

为直观反映产业结构变迁的空间差异特征,计算出10年间各城市产业结构高级化、合理化水平的均值,并通过二维象限法将各城市划分为4类(图4)。可以看出,长江经济带大部分城市处于Ⅱ类或Ⅲ类区域,即属于高级化、合理化水平为双高或双低的情况。总的来说,长江经济带产业结构高级化、合理化水平呈现出“下游地区>中游地区>上游地区”的格局特征。分地区来看,下游地区城市主要位于Ⅱ类区域,且城市之间产业结构高级化、合理化程度差距较大,其中上海的产业结构高级化程度最高,宁波的合理化程度最高;中游地区城市主要围绕着均值点分布,城市间差距相对较小,其中以武汉、长沙等中心城市产业结构高级化、合理化程度相对较高;上游地区城市主要位于Ⅲ类区域,产业结构与中下游地区存在较大差距,且成都、贵阳、重庆等中心城市表现出绝对优势,呈现出区域非均衡发展的特征。
图4 2012—2021年长江经济带及三大地区城市产业结构变迁分布类型

Fig.4 Distribution types of industrial structur in the Yangtze River Economic Belt and three major regions from 2012 to 2021

4.2 城市生态财富与产业结构变迁的空间关联性

4.2.1 双变量全局空间自相关分析

运用GeoDa 1.20空间分析工具,建立空间邻接权重矩阵,计算得到城市生态财富与产业结构变迁的Moran's I指数(表3)。可以看出,城市生态财富与产业结构高级化、合理化水平的Moran's I指数均小于0,且在1%的水平下显著,说明城市生态财富与产业结构高级化、合理化水平具有显著的空间关联性且呈现负相关关系。可能的原因在于,城市生态财富高的区域主要集中在长江经济带中上游地区,生产力较低,产业基础相对薄弱,无法实现产业结构大规模转型升级;产业结构高级化、合理化水平高的区域主要分布在下游地区,虽然经济增长较快,但之前大多经历过对资源环境攫取胁迫程度较高的发展阶段,城市生态财富并未得到有效积累。
表3 双变量Moran's I统计量

Tab.3 Statistical values of the bivariate Moran's I

年份 UEWISA 年份 UEWISR
Moran's I Z检验 P-value Moran's I Z检验 P-value
2012 -0.157 -3.147 0.003 2012 -0.272 -5.521 0.001
2015 -0.194 -3.910 0.001 2015 -0.289 -5.541 0.001
2018 -0.196 -4.136 0.001 2018 -0.179 -3.783 0.002
2021 -0.212 -4.422 0.001 2021 -0.309 -6.309 0.001

4.2.2 双变量局部空间自相关分析

为表征城市生态财富与产业结构高级化、合理化水平的局部空间关联特征及其动态变化趋势,选取2012和2021年分别绘制出双变量局部空间自相关LISA集聚图(图5)。
图5 城市生态财富与产业结构变迁的LISA集聚图

注:集聚特征按照“产业结构高级化水平(合理化水平)—城市生态财富”的顺序进行表征,如“低—高”的含义为产业结构高级化水平(合理化水平)低值和城市生态财富高值在空间上集聚。图例括号中数字代表该类型城市个数。

Fig.5 The LISA cluster map of urban ecological wealth and industrial structure changes

图5可知,集聚特征空间格局表现为整体零散、局部连片的分布特征。具体而言,2021年高—高集聚区主要集中在赣北、湘东地区;高—低集聚区普遍分布在苏沪、浙北地区;低—低集聚区主要位于皖北、苏北以及湘南地区;而低—高集聚区零散分布在一些资源型城市(如攀枝花、临沧、池州)及中游部分地区。从图5展现的空间变化来看,四类集聚特征区域均具有动态扩张趋势。其中,高—高集聚区域由零星分布变为局部集中分布,在2012年零星分布在张家界、临沧等地,2021年整体集中于湘东、赣北地区,区域面积呈扩大趋势,展现出湘东、赣北地区较强的产业结构优化趋势与城市生态财富增进态势。高—低集聚区依附于原集聚区纵向扩张,由2012年上海、苏南等地向南扩张至浙北地区,表明长三角地区产业结构在持续优化,但城市生态财富并未随之显著增长。低—低集聚区具有微弱的横向扩张,由少量皖北、苏北城市“生长”为面积更大、连片分布的城市区域,说明这些地区产业结构优化速度缓慢,落后于皖南、苏南地区,而其生态财富也未能摆脱低值集聚的困境。低—高集聚区向东扩散,表明中下游地区生态财富存在增长迹象。总体来看,上游地区集聚特征在减弱,中下游地区集聚特征持续增强。

4.3 城市生态财富与产业结构变迁的交互响应分析

4.3.1 平稳性检验与协整检验

为避免PVAR模型出现伪回归结果,本文选择LLC检验、IPS检验、ADF检验和PP检验4种方法对城市生态财富和产业结构高级化、合理化水平取对数后的数据进行单位根检验(即对lnUEW和lnISA、lnISR进行检验)。经检验后发现,存在部分变量无法通过ADF检验、PP检验,说明面板数据并不平稳,但经一阶差分处理后均在1%显著性水平下通过检验,因而可确定各变量均为一阶单整序列。考虑到非平稳变量间也可能存在长期稳定的协整关系,采用Pedroni检验和Westerlund检验对lnUEW与lnISA、lnUEW与lnISR间的协整关系进行检验(表4)。结果显示,两种检验方法均显著拒绝原假设,表明变量间存在协整关系,可建立PVAR模型对城市生态财富与产业结构变迁的互动效应进行分析。
表4 协整检验结果

Tab.4 The results of co-integration test

检验方法 统计量名 lnUEW-lnISA lnUEW-lnISR
统计量值 显著性 统计量值 显著性
Pedroni检验 Modified Phillips-Perron t 6.670 0.000 5.849 0.000
Phillips-Perron t -18.037 0.000 -16.648 0.000
Augmented Dickey-Fuller t -17.207 0.000 -17.767 0.000
Westerlund检验 Variance ratio 2.512 0.006 1.875 0.030

4.3.2 格兰杰因果关系检验

本文综合考虑AIC、BIC和HQIC3种信息准则选择最优滞后阶数,结果表明lnUEW与lnISA、lnUEW与lnISR间的最优滞后阶数均为1阶。以最优滞后阶数进行Granger因果关系检验,从而判断城市生态财富与产业结构变迁是否存在因果关系(表5)。结果显示,城市生态财富与产业结构高级化互为Granger因果关系;产业结构合理化是城市生态财富的Granger原因,而城市生态财富不是产业结构合理化的Granger原因。
表5 Granger因果关系检验

Tab.5 Granger causality tests

变量 原假设 chi-sq 显著性 结论
lnISA lnISA不是lnUEW的Granger原因 18.559 0.000 强烈拒绝
lnUEW lnUEW不是lnISA的Granger原因 12.770 0.000 强烈拒绝
lnISR lnISR不是lnUEW的Granger原因 3.050 0.081 拒绝
lnUEW lnUEW不是lnISR的Granger原因 0.721 0.396 不拒绝

4.3.3 脉冲响应分析

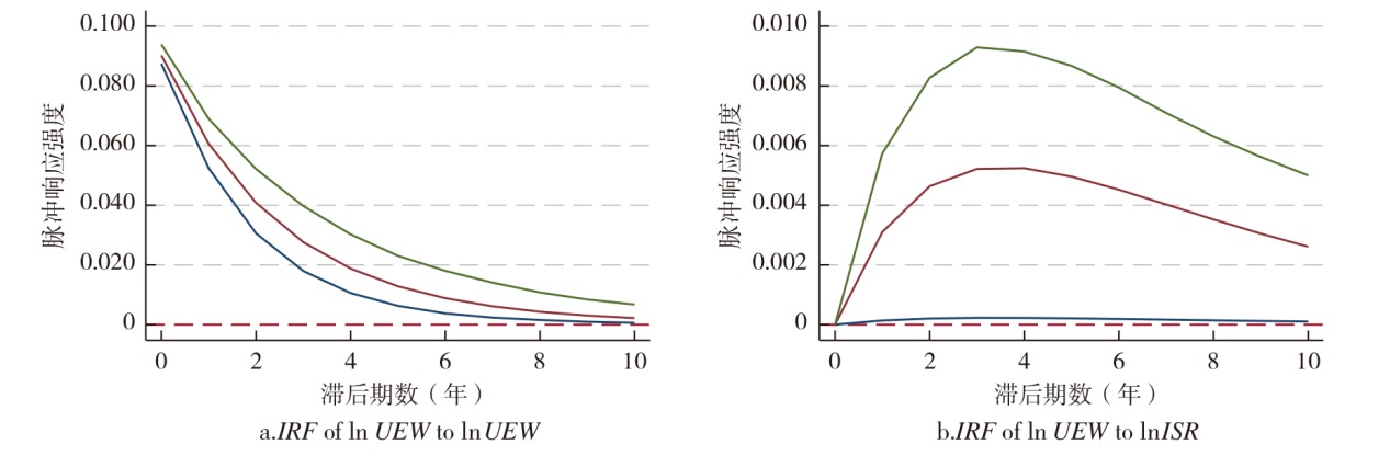
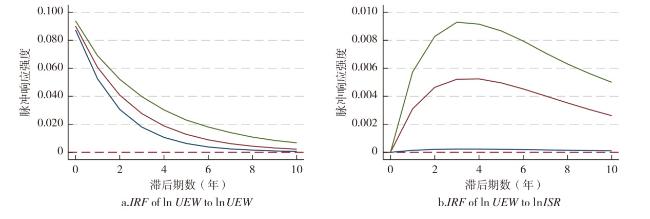
为明确城市生态财富与产业结构变迁的动态互动效应和响应趋势,本文借助蒙特卡洛方法得到长江经济带在滞后10期上的脉冲响应图(图6图7)。同时,由于城市生态财富与产业结构合理化是单向Granger因果关系,因此本文仅在图7中展示城市生态财富对产业结构合理化水平的动态响应结果。
图6 城市生态财富与产业结构高级化水平的脉冲响应分析

注:蒙特卡罗模拟200次,每次误差为5%。图7同。

Fig.6 The impulse response analysis of urban ecological wealth and the level of industrial structure advancement

图7 城市生态财富对产业结构合理化水平的脉冲响应分析

Fig.7 The impulse response of urban ecological wealth to the level of industrial structure rationalization

4.3.3.1 城市生态财富与产业结构高级化水平的动态响应

图6可知,当城市生态财富和产业结构高级化水平受到自身1个标准差冲击时,会对其各自产生显著的正向响应,且响应强度随着时间逐渐降低,表明二者均存在自我增强机制。当二者受到对方1个标准差冲击时,响应趋势均表现为倒“U”形波动特征,并在第2期时响应强度达到最大。其中,城市生态财富面对产业结构高级化水平1个标准差冲击时在当期响应强度为0,之后10期均为正向响应;而产业结构高级化水平面对城市生态财富1个标准差冲击时在当期为负向响应,随后在第1期转变为正向响应,这可能是由于当期若想提高城市生态财富,势必会采取一些生态环境管制措施,进而影响产业结构升级,而随着生态财富增加,又将促进产业结构升级,使得冲击影响由负转正。

4.3.3.2 城市生态财富对产业结构合理化水平的动态响应

图7可知,当城市生态财富受其自身1个标准差的冲击时,会产生显著的正向响应,且响应强度随着时间逐渐降低,同样印证了城市生态财富存在自我增强机制。同时,当城市生态财富受到产业结构合理化水平1个标准差的冲击时,也表现为倒“U”形波动,且城市生态财富对产业结构合理化水平冲击的响应强度在当期为0,在第4期达到最大。

4.3.4 预测方差分解

为评估模型扰动项对内生变量冲击的影响程度及各变量变化过程中不同结构冲击的贡献力度,进一步对PVAR模型进行方差分解(表6)。与脉冲响应分析相似,仅分析城市生态财富受产业结构合理化冲击时的方差分解结果。
表6 基于PVAR模型估计的方差分解结果

Tab.6 The variance decomposition results of PVAR model

模型 响应变量 冲击变量 预测期
1 5 10 15 20
城市生态财富与产业结构高级化 lnUEW lnUEW 1.000 0.961 0.951 0.950 0.950
lnISA 0.000 0.039 0.049 0.050 0.050
lnISA lnUEW 0.004 0.075 0.089 0.090 0.090
lnISA 0.996 0.925 0.911 0.910 0.910
城市生态财富与产业结构合理化 lnUEW lnUEW 1.000 0.994 0.989 0.987 0.987
lnISR 0.000 0.006 0.011 0.013 0.013

4.3.4.1 城市生态财富与产业结构高级化水平的相互影响程度

表6可知,在第15期时,系统基本达到稳定状态,此时长江经济带城市生态财富、产业结构高级化水平对其自身的方差贡献率均在90.00%以上,说明二者均主要依赖于自身惯性发展。就变量相互影响的贡献程度来看,产业结构高级化水平对城市生态财富贡献率由第1期的0.00%上升至第15期的5.00%,城市生态财富对产业结构高级化水平的贡献率由0.40%上升至9.00%,表明二者存在对彼此的解释能力,且城市生态财富对产业结构高级化水平的影响大于产业结构高级化水平对城市生态财富的影响。

4.3.4.2 城市生态财富受产业结构合理化水平的影响程度

同上,在第15期时,系统基本达到稳定状态,且城市生态财富依然主要受其自身影响。同时,产业结构合理化水平对城市生态财富的方差贡献率虽然逐渐上升,但也仅从第1期的0.00%上升至第15期的1.30%。表明产业结构合理化水平对城市生态财富增长的解释能力较弱,究其原因可能在于长江经济带产业结构合理化过程产生的要素“替代”“配置”效应还未充分涉及自然生态要素,进而无法对城市生态财富增长产生较大影响。

5 研究结论与政策建议

5.1 研究结论

本文以长江经济带110个地级及以上城市为研究样本,以CRITIC—熵值法综合测算出2012—2021年其生态财富水平,同时测算出各城市产业结构高级化、合理化水平以表征产业结构变迁。在此基础上,运用双变量空间自相关模型探讨城市生态财富与产业结构变迁的空间关联特征,并构建PVAR模型对二者互动效应进行实证分析。研究结论如下:①长江经济带城市生态财富呈现波动增长的趋势,10年均值为0.381,年均增长率为2.12%;空间格局呈现出“西高东低”的分布特征。产业结构高级化水平10年间由2.220上升至2.385,产业结构合理化水平由0.824上升至0.899,并且均呈现出“下游地区>中游地区>上游地区”的格局特征。②长江经济带城市生态财富与产业结构变迁具有显著的空间关联性且呈现负相关关系,同时上游地区集聚特征在减弱,中下游地区集聚特征持续增强。③长江经济带城市生态财富与产业结构变迁存在动态交互效应。城市生态财富与产业结构高级化互为Granger因果关系,产业结构合理化是城市生态财富的单向Granger原因;城市生态财富与产业结构高级化之间及生态财富对产业结构合理化的脉冲响应曲线均呈现倒“U”形特征,且长期而言表现为正向波动响应;方差分解结果显示,城市生态财富主要受自身影响,但产业结构变迁对其仍具有一定程度的影响能力。

5.2 政策建议

基于上述研究结论,本文提出如下政策建议:①差异化制定城市生态财富积累与价值转化策略。长江经济带上游地区城市生态财富较高,应依托生态产品建立新经济增长点,利用生态旅游、休闲养老等产业进行生态财富转化;中游地区城市生态财富面临承接产业转移的压力,应注重生态保护机制的建立,可借用重化工业基础促进生态要素转化为生态工业产品;下游地区城市生态财富较低,需全面推进生态修复与治理,可结合下游地区丰富的特色小镇资源,打造生态休闲养生基地。②依据生态财富基底重构产业绿色体系。上游地区应避免产业过度“污染化”,可大力吸引生态敏感型工业,同时对无法实现自主绿色升级的企业给予一定政策帮扶;中游地区应防范产业转移引发的污染转移,加强产业准入负面清单制度管理,依托电子信息、智能制造等区域优势产业发展高技术产业集群;下游地区可在控制污染转移问题后积极推进产业梯度转移,推动产业低碳化,巩固高新技术制造产业,培育高端服务业、知识型与数字化产业。③基于产业—生态交互效能完善流域财富协同增长格局。各地应打破单要素治理模式,开展山水林田湖草系统治理,分区分类建立安全管控负面清单,健全流域生态治理体系;中上游地区可优先形成辐射带动强的产业优势点,下游地区可通过产业链、价值链将产业延伸至中上游地区,以促进流域产业一体化发展;不同地区可因地制宜打造“生态+”产业模式,促进生态要素与传统产业融合,依托农业、加工业及服务业形成高附加值生态产品,同时搭建流域生态产品市场,促进生态产品价值转化。
[1]
张友国. 构建生态文明新格局:释义与路径探索[J]. 中国人口·资源与环境, 2023, 33(7):9-17.

[2]
陆大道. 长江大保护与长江经济带的可持续发展——关于落实习总书记重要指示,实现长江经济带可持续发展的认识与建议[J]. 地理学报, 2018, 73(10):1829-1836.

DOI

[3]
洪银兴, 刘伟, 高培勇, 等. “习近平新时代中国特色社会主义经济思想”笔谈[J]. 中国社会科学, 2018(9):4-73,204-205.

[4]
杨和平, 李红波. 空间均衡导向下的生态产品价值实现路径及演进——基于改进四象限模型的理论分析[J]. 中国土地科学, 2023, 37(2):92-101.

[5]
易家林, 郭杰, 林津, 等. 生态文明理念下的国土空间均衡:基于两种财富的分析框架[J]. 地理研究, 2022, 41(4):945-959.

DOI

[6]
鲍鹏程, 黄磊. 创新人才集聚如何影响城市生态财富[J]. 山西财经大学学报, 2023, 45(5):28-42.

[7]
何好俊, 彭冲. 城市产业结构与土地利用效率的时空演变及交互影响[J]. 地理研究, 2017, 36(7):1271-1282.

DOI

[8]
Zheng Y, Peng J, Xiao J, et al. Industrial structure transformation and provincial heterogeneity characteristics evolution of air pollution:Evidence of a threshold effect from China[J]. Atmospheric Pollution Research, 2020, 11(3):598-609.

[9]
Wang X, Zhao D, Xu Y. Threshold effect of industrial structure upgrading on water environment pollution in China[J]. Journal of Coastal Research, 2020, 115(1):518-521.

[10]
原嫄, 周洁. 中国省域尺度下产业结构多维度特征及演化对碳排放的影响[J]. 自然资源学报, 2021, 36(12):3186-3202.

DOI

[11]
刘蒙罢, 张安录, 熊燕飞. 长江经济带城市土地利用生态效率空间差异及其与产业结构升级的交互溢出效应[J]. 中国人口·资源与环境, 2022, 32(10):125-139.

[12]
刘黎明, 崔江龙. 空气污染视角下北京市产业结构调整的政策模拟研究[J]. 中国人口·资源与环境, 2020, 30(4):85-94.

[13]
赵蕊. 水资源短缺对区域产业结构优化影响:以榆林市为例[J]. 中国人口·资源与环境, 2016, 26(Sup1):333-335.

[14]
江洪, 赵宝福. 碳排放约束下能源效率与产业结构解构、空间分布及耦合分析[J]. 资源科学, 2015, 37(1):152-162.

[15]
汪艳涛, 张娅娅. 生态效率区域差异及其与产业结构升级交互空间溢出效应[J]. 地理科学, 2020, 40(8):1276-1284.

DOI

[16]
徐晓光, 寇佳丽, 郑尊信. 产业结构升级与生态环境优化的耦合协调[J]. 宏观经济研究, 2022, 25(8):131-156.

[17]
Niu K, He W, Qiu L. Symbiosis coordination between industrial development and ecological environment for sustainable development:Theory and evidence[J]. Sustainable Development, 2023, 31(4):3052-3069.

[18]
于斌斌, 苏宜梅. 产业结构调整对土地利用效率的影响及溢出效应研究——基于PSDM模型和PTR模型的实证分析[J]. 中国土地科学, 2020, 34(11):57-66.

[19]
裴延峰. 中国产业结构变迁的空间不平衡对地区经济差距的影响[J]. 数量经济技术经济研究, 2022, 39(3):3-23.

[20]
马志远, 段学军, 王磊, 等. 长江经济带区域发展与资源环境承载力空间耦合特征及高质量发展路径[J]. 长江流域资源与环境, 2022, 31(9):1873-1883.

[21]
韩雁, 张士锋, 吕爱锋. 外调水对京津冀水资源承载力影响研究[J]. 资源科学, 2018, 40(11):2236-2246.

DOI

[22]
张宁宁, 粟晓玲, 周云哲, 等. 黄河流域水资源承载力评价[J]. 自然资源学报, 2019, 34(8):1759-1770.

DOI

[23]
邵全琴, 刘树超, 宁佳, 等. 2000—2019年中国重大生态工程生态效益遥感评估[J]. 地理学报, 2022, 77(9):2133-2153.

DOI

[24]
田时中, 陈雨婷. 长三角绿色低碳循环发展的时空格局及系统耦合协调评价[J]. 经济地理, 2023, 43(11):25-35.

DOI

[25]
李倩茹, 贾彦龙, 王慧军, 等. 基于生态功能区的河北省生态系统服务权衡与协同分析[J]. 地理学报, 2023, 78(11):2833-2849.

DOI

[26]
赵宏波, 谷天顺, 孙东琪, 等. “三生”功能视角下黄河流域城市人居环境动态演变与机制[J]. 地理学报, 2023, 78(12):2973-2999.

DOI

[27]
胡楠林, 任志彬, 董禹麟, 等. 中国城市群热岛效应时空演变及其影响因素分析[J]. 地理科学, 2022, 42(9):1534-1545.

DOI

[28]
冯琰玮, 甄江红, 田桐羽, 等. 呼和浩特市人居环境脆弱性演变及机制[J]. 经济地理, 2020, 40(12):91-99.

DOI

[29]
王松茂, 牛金兰. 山东半岛城市群城市生态韧性的动态演化及障碍因子分析[J]. 经济地理, 2022, 42(8):51-61.

DOI

[30]
孙伟增, 牛冬晓, 万广华. 交通基础设施建设与产业结构升级——以高铁建设为例的实证分析[J]. 管理世界, 2022, 38(3):19-34,58,35-41.

[31]
邓慧慧, 杨露鑫, 潘雪婷. 高铁开通能否助力产业结构升级:事实与机制[J]. 财经研究, 2020, 46(6):34-48.

[32]
童昀, 马勇, 刘海猛. COVID-19疫情对中国城市人口迁徙的短期影响及城市恢复力评价[J]. 地理学报, 2020, 75(11):2505-2520.

DOI

[33]
Liu H, Liu J, Li M, et al. Assessing the evolution of PM2.5 and related health impacts resulting from air quality policies in China[J]. Environmental Impact Assessment Review, 2022,https://doi.org/10.1016/j.eiar.2021.106727.

[34]
Yang J, Huang X. The 30 m annual land cover dataset and its dynamics in China from 1990 to 2019[J]. Earth System Science Data, 2021, 13(8):3907-3925.

DOI

[35]
Li J, He H B, Zeng Q Z, et al. A Chinese soil conservation dataset preventing soil water erosion from 1992 to 2019[J]. Scientific Data, 2023, 10(1):319.

DOI PMID

[36]
Oda T, Maksyutov S, Andres R J. The open-source data inventory for anthropogenic CO2,version 2016(ODlAC2016):A global monthly fossil fuel CO2 gridded emissions data product for tracer transport simulations and surface flux inversions[J]. Earth System Science Data, 2018, 10(1):87-107.

[37]
Chen Y, Feng X, Fu B, et al. Maps with 1 km resolution reveal increases in above- and belowground forest biomass carbon pools in China over the past 20 years[J]. Earth System Science Data, 2023, 15(2):897-910.

[38]
Peng S, Ding Y, Liu W, et al. 1 km monthly temperature and precipitation dataset for China from 1901 to 2017[J]. Earth System Science Data, 2019, 11(4):1931-1946.

文章导航

/