产业经济与创新发展

中国市域科技创新与实体经济融合水平分析及其时空特征

  • 曾鹏 , 1 ,
  • 尚玲杰 2
展开
  • 1.广西民族大学 民族学与社会学学院,中国广西 南宁 530006
  • 2.广西民族大学 经济学院,中国广西 南宁 530006

曾鹏(1981—),男,博士,教授,博士生导师,研究方向为城市群与区域可持续发展。E-mail:

收稿日期: 2023-11-14

  修回日期: 2024-03-01

  网络出版日期: 2024-09-12

基金资助

国家社会科学基金重大项目(20&ZD157)

Integration Level Between Technology Innovation and the Real Economy and Its Spatio-temporal Characteristics in China at the Prefecture Level

  • ZENG Peng , 1 ,
  • SHANG Lingjie 2
Expand
  • 1. College of Ethnology and Sociology,Guangxi Minzu University,Nanning 530006,Guangxi,China
  • 2. School of Economics,Guangxi Minzu University,Nanning 530006,Guangxi,China

Received date: 2023-11-14

  Revised date: 2024-03-01

  Online published: 2024-09-12

摘要

文章基于熵值法测算了2006—2020年中国284个地级及以上城市科技创新与实体经济融合水平,并对城市科技创新与实体经济融合水平的时空演变、区域差异及来源进行实证分析。研究发现:①全国及四大区域科技创新与实体经济融合水平稳步提升。②全国及四大区域科技创新与实体经济融合空间极化趋势明显,总体呈现“东高—西低”的空间格局。③区域间差异是中国科技创新与实体经济融合差异的主要来源。全国总体差异变化不大,东部地区区域内差异最大,东部—西部区域间差异最大。

本文引用格式

曾鹏 , 尚玲杰 . 中国市域科技创新与实体经济融合水平分析及其时空特征[J]. 经济地理, 2024 , 44(4) : 110 -120 . DOI: 10.15957/j.cnki.jjdl.2024.04.012

Abstract

Based on the entropy method,this paper calculates the integration level between the technology innovation and the real economy in China,and analyzes its spatial-temporal evolution and regional difference. The findings are as follows: 1) The integration level between the technology innovation and the real economy shows the steady increase trend in the whole country and four regions. 2) The integration level between the technology innovation and the real economy has obvious characteristics of spatial polarization in the whole country and four regions and presents a spatial pattern which is higher in the east of China and lower in the west of China. 3) The regional difference is the primary source of the integration between the technology innovation and the real economy difference in Chinese cities. The overall difference has not changed significantly. The difference in the eastern region is the biggest,and the difference between the eastern and western regions is the biggest. According the above,it provides a reference for grasping the integration level between the technology innovation and the real economy and exploring the countermeasures of the integration between the technology innovation and the real economy.

实体经济是国民经济的根基,是社会主义现代化经济体系建设的着力点。党的二十大报告提出“未来五年是全面建设社会主义现代化国家开局起步的关键时期”;习近平总书记也指出“要继续把发展经济的着力点放在实体经济上”[1]。实体经济具有直接创造社会财富的特质,使其成为推进中国式现代化建设强大的内生动力[2]。然而,目前中国实体经济发展面临“大而不强、全而不精”,绿色发展缓慢,经济“脱实向虚”等诸多挑战[3-4]。与此同时,在科技革新的大背景下,科技逐渐成为驱动我国经济高质量发展的核心动力,科技创新能够为实体经济的发展提质增效。2021年政府工作报告提出,依靠创新推动实体经济高质量发展,培育壮大新动能,促进科技创新与实体经济深度融合,更好发挥创新驱动发展作用[5]。实体经济与科技创新融合已是大势所趋,事关我国经济发展质量,并为我国实体经济发展指明了方向。那么当下中国科技创新与实体经济融合水平如何?近年来的发展呈现怎样的变化趋势?区域差异来源于哪些方面?厘清这些问题不仅有助于准确把握中国科技创新与实体经济融合水平的基本现状、区域差异和演变趋势,还可以为解决现实问题提供参考。
在全球经济一体化背景下,科技创新被普遍认为是实体经济增长的新引擎[6-7]。科技创新会加速新型产业的诞生,不断跃升的科技能力持续为实体经济创造新增量和新空间。不仅如此,科技创新还可助力产业结构优化调整[8],重塑传统产业链,从而激发实体经济的发展活力[9]。但是,科技创新不会无限促进实体经济的发展,管理者的过度自信对实业投资的影响呈现倒“U”型趋势[10]。为此,学者们采用PVAR模型[11]、面板阈值模型[12]、GMM模型[13]等研究了科技创新对实体经济发展的影响作用。已有研究得出以下3种结论:①科技创新对实体经济的增长具有显著的促进作用[14],并伴随显著的空间溢出效应和空间异质性。Law等和Boakye等的研究也得出相似的结果[15-16];科技创新对东部及中心城市经济的促进作用更强[17];金融创新会通过提高企业创新能力与行业技术效率来实现经济高质量增长[18]。②科技创新对实体经济发展的贡献率较低,这种情况在全国范围内普遍存在,而且科技创新投资的大幅度增加也没有能改善这种局面[18]。③科技创新与实体经济之间存在非线性关系[19],只有高增长潜力的科技创新才能积极促进实体经济的发展。
综上,已有成果有益于本文的研究,但仍存在一些待完善之处:①目前基于中国城市视角对科技创新与实体经济融合的研究比较匮乏。②已有文献大多聚焦于科技创新与实体经济互动关系的内在机理,缺少对科技创新与实体经济融合水平的测度和区域差异的研究。基于此,本文主要从以下方面进行拓展:①城市是经济活动的主战场[20],是实现科技强国战略目标的主战场,本文聚焦于城市层面对城市科技创新与实体经济融合水平的研究,更具有全局性和系统性。②在研究方法上,本文构建科技创新与实体经济融合“基础—规模—结构—效率”过程性综合评价指标体系,科学测算我国科技创新与实体经济融合水平,系统揭示我国科技创新与实体经济融合现状与提升潜力。③从研究内容看,本文在分析科技创新与实体经济融合的时空特征基础上,全面考察科技创新与实体经济融合水平差异的变化机制、空间分布和动态演进规律。以期为政府更好地推进城市科技创新与实体经济融合和制定更具针对性的政策提供经验借鉴和决策参考。

1 科技创新与实体经济融合内涵、机理与评价指标体系构建

1.1 科技创新与实体经济融合内涵和机理分析

1.1.1 科技创新与实体经济的内涵

“实体经济”是一个成熟的西方经济学概念,源自“实际变量”。萨伊以是否“计入GDP”为基本依据辨认实体经济[21]。美国金融危机爆发以后,美联储认为由于房地产业具有金融功能,该行业的次级贷款危机造成了经济虚假繁荣的景象,产生了金融危机。因此,房地产和金融行业被划分为非实体经济范畴。“科技”是作为种概念的“科学”和“技术”所共同组成的属概念[22],科学是人类在认识和改造世界的历史进程中长期积累的关于世界事物的知识体系,技术是人类在现有生产实践经验和应用科学原理的基础上发展起来的各种技术方法和技术能力,以及已经实现的各种生产手段、物质材料和装备。科学是指导技术的重要基础,技术是形成科学的关键因素。随着社会经济的发展,人类对客观事物及其规律认识不断深入,持续对科技进行改革创新。科技创新本质是为了提升和改变现有科技,探索新的知识、理论、方法和技术,并将其转化为实际应用。

1.1.2 科技创新与实体经济融合的内涵阐释

科技创新与实体经济融合是指科技创新与实体经济相互渗透、相互作用,在相关融合基础设施、社会环境条件和人力资源、资金供给支撑下,实体经济企业通过购买和使用数据要素、科学技术和科技产品,实现技术、平台和场景向生产、消费、流通和分配环节逐步渗透,改造和升级自身的生产销售、管理制度和资源调度等,进而快速向知识密集型和创新驱动型方向迈进,催生新产业新业态新模式的动态过程[23]。1990年美国经济学家保罗·罗默提出了技术进步的内生经济增长模型,技术作为一种新的生产要素进入了生产函数。一方面,技术、平台和场景向实体经济企业的生产、消费、流通和分配环节逐步渗透,实现实体经济企业要素革新、资源重组、模式转型。另一方面,科学技术的演进推动传统产业重塑产业链、快速转型升级、向知识密集型和创新驱动型方向迈进,实现实体经济企业由量增长向质增长的转变[24]。与此同时,这种市场结构的演变又将反作用于科技创新企业,科技创新企业通过向实体经济企业销售数据、技术和产品,获得了广阔的市场空间、发展机会和收益来源。为了适应快速变化的市场环境,科技创新企业进行动态调整和资源重新配置,进而引发更为激烈的科技创新竞争,促进市场主体深度创新。

1.1.3 科技创新与实体经济融合的逻辑机理

科技创新与实体经济融合并不是科技创新在实体经济企业的简单应用,而是科技创新系统与实体经济系统相互关联、相互促进的长期动态过程。理解其中的逻辑规律可以为研究其演化过程提供一定的理论基础。
融合基础是前提和支撑,主要包括:专业技术的人才供给;推动科技创新的互联网设施;政府财政资金的支持;促进科技创新与实体经济融合的城镇化环境等。显而易见,这些为科技创新与实体经济融合提供公共基础条件,科技创新基础为实体经济发展供给数字化的生产力;实体经济基础为科技创新营造现代化的社会环境、提供先进的互联网设施,支撑服务于科技创新。融合规模是保障和潜力,主要包括创新人才集聚、资本富集、专业人才储备程度;有意愿购买数智产品的消费能力;代表科技创新与实体经济企业经营融合的经济产值水平等。这些反映科技创新与实体经济融合的总体状况,科技创新规模通过劳动力、技术、资本等生产要素渗透于实体经济企业,对实体经济企业进行全方位的升级和改造,提升其生产效率;实体经济企业为科技创新企业提供收益来源,进一步推动科技创新。融合结构是深度和趋势,清晰体现技术的应用和创新程度的加深影响产业竞争、产业发展、人员就业、市场竞争等的路径模式。科技创新结构实现传统实体经济企业要素重组、资源优化配置,推动其向创新驱动型转变,从而优化实体经济企业结构;实体经济企业作为科技创新成果的应用场景,为科技创新成果的转化提供市场需求。融合效率是结果和目标,科技创新通过技术进步催生新产业新技术新模式,转变实体经济发展方式,优化生产流程,缓解生态困境;实体经济效率的提升又推动科技创新成果的加速涌现,鼓励科技创新企业持续发展。

1.2 科技创新与实体经济融合评价指标体系构建

科技创新与实体经济融合过程蕴含着层层递进的逻辑关系,在融合开始前需要有基础支撑,融合中表现出一定的规模与结构,融合后呈现出相应的绩效[25-26]。基于上述理论逻辑,本文从融合的“基础—规模—结构—效率”4个维度出发,结合理论分析、频度分析,选取24个指标构成中国科技创新与实体经济融合水平评价指标体系(表1)。
表1 科技创新与实体经济融合水平评价指标体系

Tab.1 Evaluation index system of the integration level between the technology innovation and the real economy

目标层 逻辑层 要素层 观测层 指标描述 指标性质










基础 科技创新基础 教育投入基础 教育支出占财政预算支出比值(%) 正向
科研投入水平 每万人R&D经费支出额(元) 正向
人才支撑基础 每万人研究与试验发展活动人员数(人) 正向
实体经济基础 城镇化水平 城镇人口占常住人口比例(%) 正向
基础设施建设 每万人互联网宽带接入用户数(户) 正向
社会福利水平 人均财政支出(元) 正向
规模 科技创新规模 科教事业规模 每万人普通高等学校在校人数(人) 正向
数字就业规模 信息传输计算机服务和软件业从业人员数占比(%) 正向
产业资本规模 每万人科学技术支出额(元) 正向
实体经济规模 社会消费规模 每万人社会消费品零售额(元) 正向
经济发展规模 每万人地方财政一般预算内支出额(元) 正向
经济产值规模 人均GDP(万元) 正向
结构 科技创新结构 产业竞争结构 第三、二产业增加值之比(%) 负向
工业产值结构 规模以上工业总产值占GDP比重(%) 正向
就业人员结构 科学、技术服务和地质勘察人员占比(%) 正向
实体经济结构 产业发展结构 产业结构高级化指数(%) 正向
市场竞争结构 第二三产业增加值占GDP 比例(%) 正向
就业人员结构 一二产业从业人员占比(%) 正向
效率 科技创新效率 创新能力效率 申请的发明占比(%) 正向
产业发展效率 规模以上工业增加值相对发展率(%) 正向
污染治理效率 污水处理厂集中处理率(%) 正向
实体经济效率 科技贡献效率 全要素生产率(%) 正向
资源消耗效率 工业用电占比(%) 负向
污水减排效率 万元GDP工业废水排放量(t) 负向
①融合基础:从科技创新基础与实体经济基础2个方面来衡量,共计6个指标。科技创新基础具体包括教育支出与财政预算支出的比值、每万人R&D经费支出额、每万人研究与试验发展活动人员数3个测度指标,代表提升经济质量应该具备的教育支持、资金支持、智力条件[25];实体经济基础具体包括区域城镇化水平、基础设施建设水平和政府支持力度,分别使用城镇化率、每万人互联网宽带接入用户数、人均财政支出3个指标进行衡量。
②融合规模:从科技创新规模与实体经济规模2个方面来衡量,共计6个指标。科技创新规模采用信息传输计算机服务和软件业从业人员数占比、每万人科学技术支出额、每万人普通高等学校在校人数3个测度指标来表征[25],衡量区域高素质人力资源的储备情况和政府对科技创新的投资情况;实体经济规模采用每万人社会消费品零售额、每万人地方财政一般预算内支出额、人均GDP 3个测度指标来衡量[27-28],体现购买力水平、财政投入和区域经济实力和发展潜力。
③融合结构:从科技创新结构与实体经济结构2个方面来衡量,共计6个指标。科技创新结构包括产业竞争结构、工业产值结构和就业人员结构,采用第三、二产业增加值之比,规模以上工业总产值占GDP比重[29],科学、技术服务和地质勘察人员占比[25]3个指标来表征;实体经济结构具体采用第二三产业增加值占GDP比例、产业结构高级化指数[30](第一产业产值比重·1+第二产业产值比重·2+第三产业产值比重·4)、一二产业从业人员占比3个指标来表征。
④融合效率:从科技创新效率与实体经济效率2个方面来衡量,共计6个指标。科技创新效率采用申请的发明占比(发明/发明、实用新型和外观设计之和)、规模以上工业增加值相对发展率、污水处理厂集中处理率3个指标来考察,反映创新能力、产业发展、污染治理的效率;实体经济效率采用全要素生产率[31](本文采用非期望产出的超效率SBM模型和Malmquist生产率指数来测度全要素生产率,选取的投入要素有劳动,用三产业总就业人数衡量;资本,用全社会固定资产投资额来反映;期望产出为GDP;非期望产出为工业烟尘和工业SO2排放量)、工业用电占比、万元GDP工业废水排放量3个指标来测度,在一定程度上反映科技贡献、资源消耗、污水减排的效率。

2 研究区、方法和数据

2.1 研究区界定

从2006年起,中国连续提出并强调科技强国战略。综合考虑数据的准确性和可行性等因素,本文选取2006—2020年中国284个地级及以上城市(以下简称城市)为研究区。同时,参考《全国城镇体系规划(2006—2020年)》和《东中西部和东北部地区划分办法》等文件,将北京、天津等86个城市作为东部地区;太原、合肥等80个城市作为中部地区;重庆、南宁等84个城市作为西部地区;大连、长春等34个城市作为东北部地区。

2.2 研究方法

2.2.1 熵权法

在计算科技创新与实体经济融合水平之前,需对评价指标体系中的指标赋权。本文采用熵值法来确定权重,将所有指标的标准化值乘以对应的权重加总得到各科技创新与实体经济融合状况。计算步骤参考曾鹏等的研究[32]

2.2.2 核密度估计法

本文采用核密度估计法[33]来分析中国科技创新与实体经济融合水平的动态演进趋势,识别全国及区域科技创新与实体经济融合的绝对差异。核密度曲线分布位置表示科技创新与实体经济融合水平的高低,波峰高度和宽度表示区域间科技创新与实体经济融合水平的聚散程度,波峰数量表示科技创新与实体经济融合水平的极化程度,分布延展性表示科技创新与实体经济融合水平最高的城市与其他城市的相对差异。

2.2.3 Dagum基尼系数分解

在考察科技创新与实体经济融合绝对差异的基础上,本文运用Dagum基尼系数及其分解方法[34]从相对值角度刻画中国科技创新与实体经济融合水平的相对差异及其来源、不同区域内部及之间的差异,探究科技创新与实体经济融合空间非均衡性的来源。

2.3 数据来源与说明

本文原始数据来源于2007—2021年的《中国城市统计年鉴》《中国城市建设统计年鉴》、2006—2020年各省份统计年鉴、国民经济和社会发展统计公报及中国区域数据库。特别需要说明的是,《中国城市统计年鉴》在2011年之后才公布工业烟尘和粉尘的总排放量,2011年以前仅统计工业烟尘的排放量。因此,为保持数据的严谨性,本文从各省份及城市统计年鉴分别查找2006—2010年工业烟尘和粉尘排放量,加总得到各城市工业烟(粉)尘排放量。此外,采用移动平均插值法或年均增长率法对缺失的数据进行估算,并对面板数据进行标准化处理。

3 实证结果分析

3.1 中国科技创新与实体经济融合时空演化特征分析

3.1.1 时序演化特征

为了比较不同地区的科技创新与实体经济融合水平现状,图1展示了2006—2020年全国及四大区域科技创新与实体经济融合水平的均值和演变态势。可以看出考察期内全国及四大区域科技创新与实体经济融合水平年均值介于0.070~0.238,均呈现明显上升趋势。这意味着中国科技创新与实体经济融合是未来的发展趋势,究其原因可能是国家重视科技创新与实体经济深度融合并出台了一系列积极政策。从全国层面来看,科技创新与实体经济融合水平显著上升,年均增长率为5.15%,表明我国科技创新与实体经济融合水平总体上呈现良好的发展态势。从区域层面来看,东部、中部、西部和东北部地区科技创新与实体经济融合水平也均呈增长态势,年均增长率分别为5.26%、5.84%、4.80%和3.91%。然而,科技创新与实体经济融合水平存在明显的区域异质性。具体来说,东部地区科技创新与实体经济融合水平年均值最大,明显高于中部、西部和东北部地区,并且在2010年以后,东部与中部、西部和东北部地区科技创新与实体经济融合差距还在持续扩大。其中,东部地区经济较为发达,拥有雄厚的科技资源和人力资源,有助于推动科技创新与实体经济融合;中部、西部和东北部地区科技创新与实体经济融合水平均值基本一致,但中部地区的年均增速明显高于西部和东北部地区。可能原因是得益于中部崛起战略,带动了中部地区科技创新与实体经济融合水平的提升。综上所述,东部地区科技创新与实体经济融合水平最高且增速较快,中部地区科技创新与实体经济融合水平较高且增速最快,西部和东北部地区科技创新与实体经济融合水平较低且增速较慢,这说明虽然我国科技创新与实体经济融合水平在逐步提高,但是存在明显的地区异质性,地区之间科技创新与实体经济融合不平衡现象不容忽视。
图1 科技创新与实体经济融合水平的演变态势

Fig.1 Evolution trend of the integration level between the technology innovation and the real economy

3.1.2 动态演化特征

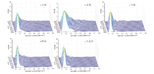
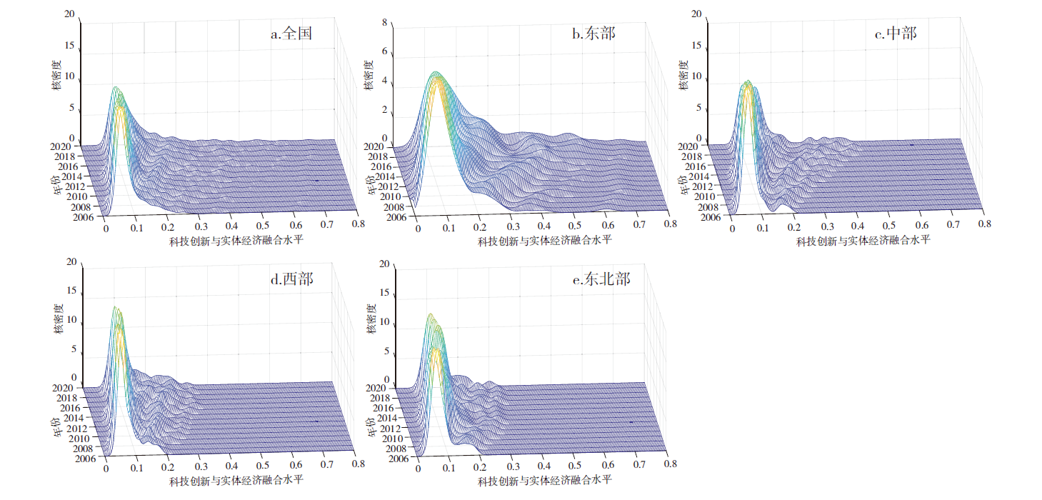
本文基于MATLAB软件,采用核密度估计方法分析全国及四大区域科技创新与实体经济融合水平的分布位置、形态、延展性和极化现象等演变特征(图2表2)。具体如下:
图2 科技创新与实体经济融合水平的分布动态演进

Fig.2 Dynamic distribution of the integration level between the technology innovation and the real economy

表2 科技创新与实体经济融合水平动态演进特征

Tab.2 Dynamic evolution characteristics of the integration level between the technology innovation and the real economy

区域 分布位置 高度 宽度 分布延展性 波峰数量
全国 小幅右移 总体高度下降 宽度变大 存在右拖尾;延展拓宽 多峰
东部 小幅右移 总体高度下降 宽度变大 存在右拖尾;延展趋势不明显 多峰
中部 小幅右移 总体高度下降 宽度变大 存在右拖尾;延展拓宽 双峰或多峰
西部 小幅右移 总体变化不明显:2006—2016年下降;2016—2018年上升;2018—2020年基本停滞 宽度变大 存在右拖尾;延展拓宽 双峰或多峰
东北部 小幅右移 总体上升:2006—2014年下降;2014—2016年上升;2016—2020年基本停滞 宽度变小 存在右拖尾;延展拓宽 双峰或多峰
首先,全国层面。①从分布位置来看,全国科技创新与实体经济融合水平分布曲线随时间的推移出现小幅右移,说明中国科技创新与实体经济融合水平呈现上升态势。②从分布形态来看,全国科技创新与实体经济融合水平分布曲线的主峰高度持续下降,曲线宽度持续拓宽,这表明科技创新与实体经济融合水平的绝对差异在不断扩大。③从分布延展性来看,全国城市科技创新与实体经济融合水平分布曲线出现显著的右拖尾现象,且分布延展性表现为逐年向右拓宽,这意味着在样本观测期间融合程度逐渐加深,高融合水平城市与平均融合水平城市的差距不断扩大,可能是在区位优势和政策倾斜等因素的共同影响下,核心城市通过虹吸效应大量吸引周边城市的创新人才和技术,导致差距进一步增大。④从极化现象来看,全国分布曲线的波峰数量呈现“多峰”现象,表明科技创新与实体经济融合水平存在多极分化现象。2009—2020年,侧峰数量越来越多且和主峰之间的距离逐渐变大,这表明科技创新与实体经济水平多极分化特征逐渐增强,全国各城市间出现微弱梯度效应。这可能是由于实体经济发展水平较高的城市通过集聚、规模经济的方式不断强化自身在科技研发、技术创新等方面的领先优势,进而提高了科技创新与实体经济的融合水平。
其次,区域层面。①从分布位置来看,四大区域科技创新与实体经济融合水平分布曲线随时间的推移小幅右移,说明四大区域科技创新与实体经济融合程度不断加深。②从分布形态来看,东部和中部地区分布曲线宽度持续拓宽,主峰高度持续下降,表明东部和中部地区的科技创新与实体经济融合水平的绝对差异呈现明显扩大的趋势。虽然东部地区得益于历史积累和区位优势,融合水平较高,但是部分城市对外开放程度不足,致使地区内绝对差异扩大。中部地区主要依托传统农业生产,部分城市经济发展较慢,科技创新人才缺乏、投入不足和能力不强,因此融合水平的绝对差异扩大。西部地区分布曲线的主峰高度先降低再升高,总体高度变化趋势不明显,宽度有所增大。东北部地区分布曲线的主峰高度先降低再升高,总体高度呈现上升趋势,宽度小幅减小,表明东北部地区科技创新与实体经济融合水平的绝对差异呈缩小趋势。随着工业化进程的加快,东北老工业基地注重产业转型升级、把握发展机遇,鼓励创新,实现经济转型升级,因此融合水平的绝对差异缩小。2018—2020年西部和东北部地区的主峰分布形态的变化减缓甚至停滞,说明两大区域科技创新与实体经济融合水平绝对差异的变化幅度在减弱。③从分布延展性来看,四大区域的分布曲线均出现显著的右拖尾现象。中部、西部和东北部地区的分布延展性均表现为向右拓宽,这意味着中部、西部和东北部地区中心城市的科技创新与实体经济融合水平呈现稳步上升趋势,低融合水平城市无法追赶高融合水平城市的融合发展。而东部地区的分布延展性则经历了先拓宽再收敛、总体延展趋势不明显的变化,说明东部地区科技创新与实体经济融合水平的内部差距先扩大再缩小,总体变化不明确。④从极化现象来看,东部地区分布曲线的波峰数量呈现“多峰”现象,表明科技创新与实体经济融合水平存在多极分化现象。2006—2016年,侧峰和主峰之间的距离逐渐变大,这表明科技创新与实体经济水平多极分化特征逐渐增强。中部、西部和东北部地区分布曲线的波峰数量由“双峰”转变为“多峰”。2006年,曲线由主峰和一个右侧峰组成,右侧峰距离主峰较近但峰值相差较大,表明三大区域内科技创新与实体经济融合水平差异明显且有显著的两极分化特征;2010年起,三大区域内的曲线表现为“多峰”,这表明科技创新与实体经济融合水平的空间极化特征越来越明显。综上所述,考察期内四大区域科技创新与实体经济融合水平提升、空间极化特征增强,东部和中部地区绝对差异扩大、东北部地区绝对差异缩小。

3.1.3 空间格局演化特征

为进一步探究科技创新与实体经济融合的空间分异特征,本文利用ArcGIS技术展示了2006、2010、2015和2020年科技创新与实体经济融合水平的空间分布格局。通过图3发现,虽然中国科技创新与实体经济融合水平呈现逐年递增趋势,但融合水平的空间特征却相对稳定。以“胡焕庸线”为界,呈现“东高—西低”的空间分异格局。从区域分布看,高融合水平地区主要分布于东南沿海,包括北京、天津、江苏、上海、浙江、广东、合肥、武汉、长沙和厦门等;低融合水平地区主要分布于西北、西南、东北部以及部分东中相邻的地区,包括广西、贵州、云南、青海、甘肃、陕西、河北、山西、宁夏、辽宁、吉林、黑龙江等;其余区域普遍为中融合水平地区,主要分布于部分环渤海、中部及部分中西部相邻地区,包括山东、河南、湖北、湖南、江西、安徽、新疆、内蒙古、重庆和四川等。这些地区的区位优势、交通便利和政策支持使得其科技创新与实体经济融合具有一定的基础,但与东部沿海地区的优势相比,其发展潜力较弱。从城市分布看,高融合水平地区集中分布在“胡焕庸线”以东,北京和上海在中国科技创新与实体经济融合水平的空间演化中发挥着极强的引领作用,融合水平稳居前两位。位于中部的武汉、长沙、合肥,东部的天津、苏州、无锡、南京、杭州、宁波、深圳、东莞、广州、佛山、珠海,属于除北京和上海之外的高融合水平区。高融合水平城市大多位于东部沿海地区,说明东部地区科技创新与实体经济融合水平较高,这与前文的结论类似。
图3 科技创新与实体经济融合水平的空间格局演化

注:该图基于自然资源部标准地图服务网站下载的审图号为GS(2019)1825号的标准地图制作,底图无修改。

Fig.3 Spatial pattern evolution of the integration level between the technology innovation and the real economy

3.2 中国科技创新与实体经济融合水平的差异及来源分析

3.2.1 总体差异演变趋势

由前文的分析可知,我国科技创新与实体经济融合水平存在地区之间的不平衡。为了刻画我国科技创新与实体经济融合水平的总体差异,本文运用Dagum基尼系数方法进行分析,测度结果如图4所示。我国科技创新与实体经济融合水平的总体差异介于0.258~0.300,均值为0.280,总体差异变化不大,呈现波动中略有下降的趋势,年均降低15.09%。这说明虽然我国科技创新与实体经济水平存在显著的空间差异,但是科技创新正在登上经济发展的主战场,经济高质量发展的创新含量有所提高。值得注意的是,尽管中国科技创新与实体经济融合水平的地区差异呈缩小态势,但是提高科技创新与实体经济融合水平的进程任重而道远。因此,基于空间视角对中国科技创新与实体经济融合水平的差异来源进行全面系统剖析,有助于相关部门把握当下科技创新与实体经济深度融合痛点难点,通过精准施策,突破当前面临的 “瓶颈”,增强科技创新与实体经济融合水平均等化的可持续性。
图4 科技创新与实体经济融合水平的总体差异演化

Fig.4 Overall difference evolution of the integration level between the technology innovation and the real economy

3.2.2 区域内与区域间差异

本文采用Dagum基尼系数分解法分析2006—2020年我国科技创新与实体经济融合水平的区域差异,具体情况见表3。可以看出,四大区域科技创新与实体经济融合水平的差异在波动中呈现“上升—下降—上升—下降—上升—下降”的趋势。①从区域内差异看,考察期间东部地区科技创新与实体经济融合水平差异的区域内均值为0.325,一直处于最高水平,这可能是由于上海、深圳、珠海、厦门等沿海城市的对外开放程度高,创新要素集聚优势明显,使区域内科技创新与实体经济融合水平差异较大;中部、西部和东北部地区科技创新与实体经济融合水平的区域内差异在大多数年份都小于东部地区,均值分别为0.226、0.235和0.194。中部地区区域内差异在波动中稍有增加,年均增长率为0.55%,而东部、西部和东北部地区区域内差异呈波动下降态势,年均下降0.60%、0.40%和1.60%。由此可见,东部地区的科技创新与实体经济融合的不平衡问题尤为突出,但其科技创新与实体经济融合水平差异有缩小倾向。虽然中部地区科技创新与实体经济融合水平较低,但存在上升态势,且其区域内差异不容忽视。②从区域间差异看,东北部—中部区域间差异始终最小,均值为0.207,可能是因为中部地区以传统制造业为主,东北部地区依赖于重工业和传统产业,经济结构较为单一并且中部地区和东北部地区区域内差异最小;西部—东部区域间差异在大多数年份都最高,均值为0.332,其次是中部—东部,这说明中部、西部与东部地区的差距过大是造成我国科技创新与实体经济融合水平区域间差异的主要原因,中部、西部地区科技创新与实体经济融合水平亟待提升。中部—东部、东北部—中部、东北部—西部区域间科技创新与实体经济融合水差异总体呈波动下降趋势,分别年均下降0.36%、0.23%、0.99%;西部—东部、西部—中部、东北部—东部区域间差异年均增长0.01%、0.23%、0.38%。需要注意的是,西部—东部区域间差异最大,且存在进一步扩大的趋势,这2个地区间科技创新与实体经济融合水平差异状况不容乐观。可能是因为西部地区开发较晚,实体经济发展水平与东部地区差距过大;相反,东部地区地理位置优越、人力资源丰富,这为科技创新与实体经济融合水平的提高提供了坚实基础。
表3 科技创新与实体经济融合区域内及区域间差异演化

Tab.3 Intra-and inter-regional differences of the integration level between the technology innovation and the real economy

年份 区域内差异 区域间差异
东部 中部 西部 东北部 东—中 东—西 中—西 东—东北 中—东北 西—东北
2006 0.339 0.202 0.227 0.210 0.327 0.331 0.217 0.311 0.210 0.224
2007 0.344 0.218 0.252 0.220 0.336 0.347 0.238 0.320 0.223 0.241
2008 0.337 0.219 0.239 0.220 0.334 0.339 0.231 0.313 0.225 0.236
2009 0.317 0.192 0.222 0.196 0.308 0.319 0.210 0.288 0.200 0.218
2010 0.306 0.185 0.212 0.185 0.299 0.310 0.201 0.279 0.191 0.207
2011 0.309 0.178 0.215 0.193 0.301 0.315 0.200 0.286 0.192 0.212
2012 0.326 0.200 0.223 0.202 0.325 0.325 0.214 0.304 0.208 0.218
2013 0.347 0.220 0.246 0.217 0.346 0.356 0.236 0.326 0.224 0.240
2014 0.337 0.219 0.236 0.212 0.341 0.347 0.230 0.324 0.220 0.229
2015 0.325 0.214 0.223 0.198 0.328 0.333 0.221 0.319 0.208 0.214
2016 0.315 0.203 0.208 0.176 0.315 0.323 0.209 0.311 0.191 0.195
2017 0.310 0.204 0.209 0.168 0.312 0.322 0.210 0.308 0.188 0.193
2018 0.320 0.213 0.218 0.182 0.322 0.337 0.220 0.327 0.200 0.202
2019 0.329 0.226 0.235 0.194 0.329 0.351 0.238 0.346 0.218 0.218
2020 0.312 0.218 0.214 0.167 0.311 0.332 0.224 0.329 0.204 0.195
均值 0.325 0.207 0.225 0.196 0.322 0.332 0.220 0.313 0.207 0.216

3.2.3 差异的贡献因素

2006—2020年我国科技创新与实体经济融合水平差异的空间来源分解结果如图5所示。从区域差异贡献看,科技创新与实体经济融合水平区域差异主要来源于区域间差异,均值高达39.60%;其次是超变密度,均值为34.30%;区域内差异贡献率最低,仅为26.11%。区域间差异贡献率呈上升趋势,年均增长1.04%;超变密度贡献率在波动中呈下降趋势,年均递减1.16%;区域内差异贡献率变化趋势平稳。因此,近年来区域间差异是科技创新与实体经济融合水平区域差异的主要来源。
图5 科技创新与实体经济融合水平差异贡献的演变态势

Fig.5 Evolution trend of difference contribution of the integration level between the technology innovation and the real economy

4 结论与启示

4.1 研究结论

本文从基础、规模、结构和效率4个方面,构建了科技创新与实体经济融合水平综合评价指标体系,运用熵值法对2006—2020年我国科技创新与实体经济融合水平进行测度,并利用核密度估计法、自然间断点法探究其时空演化规律。在此基础上,运用Dagum基尼系数及其分解揭示了我国科技创新与实体经济融合水平的区域差异及来源。得到如下研究结论:
①从时序演化特征来看,全国及四大区域科技创新与实体经济融合水平稳步提升。东部地区融合水平均值明显高于中部、西部和东北部地区,这种差异在2010年以后呈现持续扩大的趋势;中部、西部和东北部地区融合水平均值基本一致,但中部地区的年均增速明显高于西部和东北部地区。
②从动态和空间格局演化特征来看,研究期内全国及四大区域科技创新与实体经济融合水平呈明显上升态势,空间极化趋势明显,仅东北部地区绝对差异呈缩小态势;总体呈现“东高—西低”的空间分布格局,高融合水平地区集中分布在“胡焕庸线”以东,北京和上海的融合水平始终保持前两位。
③从区域差异及来源来看,区域内差异演进态势异质性明显,区域间差异是我国科技创新与实体经济融合水平发展差异的主要来源,其次为超变密度,区域内差异贡献最小。具体地,全国科技创新与实体经济融合总体差异变化不大。区域内差异方面,东部地区区域内差异高于其余3个地区,仅中部地区区域内差异在波动中稍有增加。区域间差异方面,东部—西部区域间差异最大,且存在进一步扩大的趋势;东北部—中部区域间差异最小,且呈波动下降态势。

4.2 政策启示

基于上述研究结论,本文得到以下政策启示:
①从科技创新与实体经济融合的基础、规模、结构和效率4个方面入手,深化科技创新与实体经济融合发展。首先,夯实科技创新与实体经济融合基础。政府投资兴建创新园区,为科技企业提供集聚和协同创新的平台,以激发创新活力;制定更为灵活的人才引进政策,吸引国内外高水平科研人才,同时加大对本土人才的培养力度,确保城市拥有充足的科技智力支持。其次,扩大科技创新与实体经济融合规模。建设科技创新产业集聚区,形成产业集群效应发挥规模效应,促进技术和经验的共享;鼓励不同地区、不同领域、不同行业之间深度合作,实现规模经济的跨足。再次,优化科技创新与实体经济融合结构。一方面政府宏观调控引导产业结构优化,另一方面鼓励企业调整产业布局,推动科技创新更好地服务于实体经济的各个环节。最后,建立城市科技创新与实体经济信息共享平台和技术交流合作平台,促进不同企业之间的信息流通,借鉴和吸收先进的管理方式和技术模式,避免重复研发,共同攻克技术难题,提高创新效率和融合效率。
②重视并正确对待科技创新与实体经济融合发展长期存在的空间非均衡格局。近年来科技创新与实体经济融合水平逐渐提高,但其空间极化趋势明显,“东高—西低”的区域非均衡问题凸显。应客观认识东部地区科技创新与实体经济融合的领先地位和中部、西部、东北部地区融合水平相对落后的事实,制定明确的区域性发展规划,促进区域科技创新与实体经济融合发展。遵循区域梯度发展的规律,继续支持东部地区科技创新与实体经济融合水平的提升,在提升融合水平的同时带动后进地区发展;通过政策倾斜等手段,引导西部等滞后地区科技创新与实体经济融合。充分发挥杭州、上海、深圳、南京、武汉、合肥等核心城市的正向空间溢出效应,以“增长极”引领邻近城市科技创新与实体经济融合水平协同提升,改善科技创新与实体经济融合的空间非均衡格局,最终形成空间协同和有序发展的格局。
③制定区域协同发展政策,缩小科技创新与实体经济融合的区域发展差距。区域间差异是我国科技创新与实体经济融合水平发展差异的主要来源,区域间差异主要表现在东部—西部地区。因此,借助东部率先发展、中部崛起、西部大开发、振兴东北等区域战略契机,充分发挥各区域的比较优势,形成区域良性协同发展。东部地区在现有科技创新与实体经济融合的基础上,继续加强科技创新的相关研究,大力推进科技创新与实体经济融合;中部地区需要注重夯实科技创新基础,大力发展教育,为科技创新与实体经济融合培育后备力量;东北部地区需要科学利用资源优势,优化产业结构来促进科技创新与实体经济融合。此外,建设东部和西部地区互助合作跨区域科技合作平台至关重要,通过建设跨区域科技合作平台,促进科技人才跨区域流动、平衡科技创新资源配置,助力西部地区发展,缩小区域间科技创新与实体经济融合水平差距。
[1]
习近平. 高举中国特色社会主义伟大旗帜为全面建设社会主义现代化国家而团结奋斗[N]. 人民日报,2022 -10- 26(1).

[2]
张楷卉. “十四五”时期数字经济与实体经济深度融合的创新机制[J]. 经济体制改革, 2022, 40(4):88-94.

[3]
杨军. 中国式现代化视角下推动实体经济高质量发展的创新路径[J]. 中州学刊, 2023, 45(3):36-42.

[4]
王婧菲, 孙立. 数字产业化、金融科技创新与实体经济“脱实向虚”[J]. 商业研究, 2023, 65(3):30-38.

[5]
邓峰, 王一飞. 技术锁定对创新绩效的影响:创新模式的调节作用[J]. 科技进步与对策, 2022, 39(14):1-11.

DOI

[6]
Wu M, Zhao M, Wu Z. Evaluation of development level and economic contribution ratio of science and technology innovation in eastern China[J]. Technology in Society, 2019, 42(59):101-194.

[7]
Jorgenson D W, Vu K M. The ICT revolution,world economic growth,and policy issues[J]. Telecommunications Policy, 2016, 40(5):383-397.

[8]
田秀娟, 李睿. 数字技术赋能实体经济转型发展——基于熊彼特内生增长理论的分析框架[J]. 管理世界, 2022, 38(5):56-74.

[9]
Desmet K, Rossi-Hansberg E. Spatial development[J]. American Economic Review, 2014, 104(4):1211-1243.

[10]
李传英, 王文涛, 曹丹丹. 经济金融化背景下管理者自信对实业投资的影响机制研究[J]. 重庆社会科学, 2021, 39(10):108-116.

[11]
王泽宇, 丛琳惠, 王焱熙, 等. 现代海洋产业体系发展水平测度及动态演进——基于四位协同视角[J]. 经济地理, 2023, 43(7):77-87.

DOI

[12]
Han J, He M, Xie H, et al. The impact of scientific and technological innovation on high-quality economic development in the Yangtze river delta region[J]. Sustainability, 2022, 14(21):14346.

[13]
唐未兵, 傅元海, 王展祥. 技术创新、技术引进与经济增长方式转变[J]. 经济研究, 2014, 49(7):31-43.

[14]
Ding C, Liu C, Zheng C, et al. Digital economy,technological innovation and high-quality economic development:Based on spatial effect and mediation effect[J]. Sustainability, 2022, 14(1):216.

[15]
Law S H, Sarmidi T, Goh L T. Impact of innovation on economic growth:Evidence from Malaysia[J]. Malaysian Journal of Economic Studies, 2020, 57(1):113-132.

[16]
Boakye A, Nwabufo N, Dinbabo M. The impact of technological progress and digitization on Ghana’s economy[J]. African Journal of Science,Technology,Innovation and Development, 2022, 14(7):1981-1986.

[17]
张亚丽, 项本武. 数字经济发展对中国市域经济韧性的影响效应[J]. 经济地理, 2023, 43(1):105-113.

DOI

[18]
叶祥松, 刘敬. 政府支持与市场化程度对制造业科技进步的影响[J]. 经济研究, 2020, 55(5):83-98.

[19]
孙红玉, 雷正, 杨艳武. 技术创新、地方政府行为与长期经济增长[J]. 统计与决策, 2022, 38(16):113-117.

[20]
封亦代, 刘耀彬, 程风雨. 中国城市绿色全要素能源效率的区域差异及空间收敛[J]. 地理研究, 2023, 42(9):2343-2368.

[21]
Ankargren S, Bjellerup M, Shahnazarian H. The importance of the financial system for the real economy[J]. Empirical Economics, 2017, 42(53):1553-1586.

[22]
环捷. 当代中国“科技”概念的重思与辩护[J]. 中国人民大学学报, 2022, 36(4):191-198.

[23]
洪银兴, 任保平. 数字经济与实体经济深度融合的内涵和途径[J]. 中国工业经济, 2023, 40(2):5-16.

[24]
郭晗, 全勤慧. 数字经济与实体经济融合发展:测度评价与实现路径[J]. 经济纵横, 2022, 38(11):72-82.

[25]
宋德勇, 张麒. 环境保护与经济高质量发展融合的演进与驱动力[J]. 数量经济技术经济研究, 2022, 39(8):42-59.

[26]
Yang Y, Bao W, Wang Y, et al. Measurement of urban-rural integration level and its spatial differentiation in China in the new century[J]. Habitat International, 2021, 46(117):102-420.

[27]
张帅, 吴珍玮, 陆朝阳, 等. 中国省域数字经济与实体经济融合的演变特征及驱动因素[J]. 经济地理, 2022, 42(7):22-32.

DOI

[28]
孙勇, 樊杰, 刘汉初, 等. 长三角地区数字技术创新时空格局及其影响因素[J]. 经济地理, 2022, 42(2):124-133.

DOI

[29]
姜松, 孙玉鑫. 数字经济对实体经济影响效应的实证研究[J]. 科研管理, 2020, 41(5):32-39.

[30]
张志新, 邢怀振, 于荔苑. 城镇化、产业结构升级和城乡收入差距互动关系研究——基于PVAR模型的实证[J]. 华东经济管理, 2020, 34(6):93-102.

[31]
张虹, 胡金, 胡明骏, 等. 国家级承接产业转移示范区设立能够促进绿色发展吗[J]. 科技进步与对策. 2023, 40(10):1-11.

[32]
曾鹏, 唐婷婷, 魏旭. 基于贝叶斯修正聚类的新设国家中心城市识别[J]. 统计与信息论坛, 2023, 38(9):112-128.

[33]
李彦龙, 毕钰. 城市创业活跃度:区域差异、动态演变与影响因素[J]. 中国软科学, 2023, 40(5):99-106.

[34]
刘长生, 陈昀, 简玉峰, 等. 中国旅游产业发展间接就业带动能力测算及其时空差异[J]. 地理学报, 2022, 77(4):918-935.

DOI

文章导航

/