区域经济与理论方法

“一带一路”沿线地区贸易网络韧性研究

  • 陈伟 , 1, 2 ,
  • 王芯芮 3 ,
  • 龙燕 3 ,
  • 赵晞泉 1, 2 ,
  • 刘志高 , 1, 2,
展开
  • 1.中国科学院 地理科学与资源研究所/区域可持续发展分析与模拟实验室,中国 北京 100101
  • 2.中国科学院大学 资源与环境学院,中国 北京 100049
  • 3.华东师范大学 地理科学学院,中国 上海 200062
※刘志高(1974—),男,博士,副研究员,硕士生导师,研究方向为演化经济地理学。E-mail:

陈伟(1989—),男,副研究员,硕士生导师,研究方向为经济地理、城市与区域发展。E-mail:

收稿日期: 2023-06-05

  修回日期: 2024-10-28

  网络出版日期: 2024-06-03

基金资助

第二次青藏高原综合科学考察研究项目(2019QZKK1007)

国家自然科学基金项目(42130508)

国家自然科学基金项目(42230406)

Resilience Evolution of the Trade Networks in Regions along the Belt and Road

  • CHEN Wei , 1, 2 ,
  • WANG Xinrui 3 ,
  • LONG Yan 3 ,
  • ZHAO Xiquan 1, 2 ,
  • LIU Zhigao , 1, 2,
Expand
  • 1. Institute of Geographic Sciences and Natural Resources Research & Key Laboratory of Regional Sustainable Development Modeling,Chinese Academy of Sciences,Beijing 100101,China
  • 2. College of Resources and Environment,University of Chinese Academy of Sciences,Beijing 100049,China
  • 3. School of Geographic Sciences,East China Normal University,Shanghai 200062,China

Received date: 2023-06-05

  Revised date: 2024-10-28

  Online published: 2024-06-03

摘要

文章借鉴复杂网络理论内涵,综合运用多种网络分析方法,构建测度贸易网络韧性的分析框架,从节点韧性和结构韧性2个维度对“一带一路”沿线地区贸易网络韧性开展综合测度,探讨其演变过程、发展特征和趋向。研究发现:①“一带一路”沿线各国贸易联系日趋紧密,贸易网络密度不断提升,不均衡态势逐渐显现,贸易网络拓扑结构呈现由松散向紧密发展、由多极向单极演变的趋势;②“一带一路”沿线地区贸易网络节点韧性具有明显异质性,并处于动态演化中,逐渐形成以中国、俄罗斯、印度、土耳其等国家为强韧核心的贸易格局;③综合考虑连通性、抗毁性、恢复性和稳健性4个维度,随着时间演化,“一带一路”沿线地区贸易网络结构韧性有所提升,网络结构异质性不断增强。未来,需进一步强化沿线国家间经贸合作,提升贸易网络连通性和稳健性,促进“一带一路”沿线地区贸易畅通走向更高水平和更宽维度。

本文引用格式

陈伟 , 王芯芮 , 龙燕 , 赵晞泉 , 刘志高 . “一带一路”沿线地区贸易网络韧性研究[J]. 经济地理, 2024 , 44(1) : 22 -31 . DOI: 10.15957/j.cnki.jjdl.2024.01.003

Abstract

On the basis of complex network theory,this paper uses various network analysis methods to build an analytical framework for measuring the trade network resilience,and conducts a comprehensive measurement of the trade network resilience in regions along the Belt and Road from two dimensions of node resilience and structural resilience,and explores the evolution process and development trend. The conclusions are as follows: 1) The trade links are getting closer in countries(regions) along the Belt and Road,the trade network density is increasing,the unbalanced situation is gradually emerging,and the trade network topology is changing from loose to close,and from multipolar to unipolar. 2) The node resilience of the trade network has evident heterogeneity in countries(regions) along the Belt and Road and is in dynamic evolution,it gradually forms a trade pattern with China,Russia,India,Turkey,and other countries as the strong core. 3) Considering the four dimensions of connectivity,invulnerability,recovery and robustness,the structural resilience of the trade network has been improved in countries(regions) along the Belt and Road,and the network structure heterogeneity has been enhanced. Therefore,in the future,it is necessary to strengthen further the economic and trade cooperation among the countries(regions) along the Belt and Road, enhance the connectivity and robustness of the trade network,and promote the trade interconnectivity to a higher level and broader dimension.

作为当今世界规模最大的国际合作平台,“一带一路”倡议已成为深受欢迎的国际公共产品,有力重塑了全球经济和贸易合作新格局。截至2023年3月,中国已与151个国家和32个国际组织签署200余份共建“一带一路”合作文件[1]。其中,贸易畅通是共建“一带一路”的重要领域,对于深化沿线地区经贸合作与交流、提升沿线地区凝聚力和影响力具有重要作用,也是推动构建“一带一路”的基本动力[2]。近年来,国际形势的复杂多变和新冠肺炎疫情的全球流行给世界贸易体系造成了巨大冲击,在持续深化经贸合作的同时,经贸合作的潜在风险也成为“一带一路”沿线各国开展对外贸易和制定政策时不可忽视的内容[3]。在此背景下,“一带一路”沿线地区贸易合作格局、网络韧性演化和趋向等已成为学术界的重要议题。同时,伴随网络科学领域迅猛发展,网络分析方法为社会学、经济学、地理学等学科提供了新的研究视角,国际贸易与网络分析不断融合并形成贸易网络研究,贸易网络逐步成为解析“一带一路”贸易合作的重要维度[4]。目前,借鉴网络分析方法,“一带一路”沿线贸易网络研究主要集中于贸易格局[5]、拓扑结构[6-7]、时空演化[8-9]及影响因素[10]等方面,研究结论丰富了对“一带一路”贸易合作的初步认知。例如,邹嘉龄等对中国与“一带一路”沿线国家贸易网络的总体格局、组团结构和“核心—边缘”特征进行分析[11]。杨文龙等采用复杂网络和地统计方法,研究发现贸易网络具有小世界和无标度性质以及“核心—边缘”等级结构[7]。陈伟等提出了“门户国家”概念,深入剖析了“一带一路”贸易网络时空演化,并进一步揭示了贸易门户国家在凝聚和支撑“一带一路”贸易网络体系中的战略地位[12]。同时,部分学者对能源[13]、矿产[14]、粮食[15]、制造产品[16]等特定产品和行业的贸易网络进行延伸探讨,剖析了贸易网络的行业特征及影响。现有文献主要侧重于对贸易网络整体格局、结构特征及其影响因素等方面的探讨,却相对缺乏对“一带一路”贸易网络韧性和稳健性开展系统性研究,导致“一带一路”贸易网络韧性演化过程尚未能被全面和深入揭示。因此,如何科学测度“一带一路”贸易网络韧性对于保障沿线地区经贸畅通、维护双边贸易稳定发展、促进“一带一路”高质量发展具有重要意义。
“韧性”概念最早起源于工程领域,用于分析系统受到冲击后恢复到原始状态的能力,即系统维持稳定的能力[17]。后来,生态学家Holling将韧性用于分析生态系统抵御冲击、快速恢复以应对外界干扰的能力[18]。随后,韧性概念被引入心理学、社会学、经济学和地理学等学科领域,相关研究逐步深入并形成体系,其概念内涵也得到进一步丰富。2000年以来,随着“场所空间”向“流空间”转变,城市和经济网络化发展趋向明显,网络韧性的测度也开始受到关注。一般而言,网络韧性指的是网络系统中的个体通过彼此在社会、经济、组织等领域的协作互补,形成的能够响应和适应外部急性冲击和慢性压力并从中恢复或转化的能力[17]。目前,网络韧性已成为地理学领域新的研究热点之一,尤其集中于交通网络[19]、经济网络[20]、信息网络[21]、旅游网络[22]及生态网络[23]等领域。随着网络韧性研究的兴起,关于贸易网络韧性的测度研究也逐步增多[24-25]。例如,于娱等通过构建国际贸易网络,从静态和动态两方面进行铁矿资源贸易网络韧性测度,并对5类铁矿产品贸易网络中全球20大经济体的抗干扰性进行测度和层级划分[26]。Sun等通过构建全球油气资源交易网络的网络韧性评价框架,从多维度和多指标视角考察了全球原油和天然气贸易网络结构韧性演化特征[24]。Yang等运用复杂网络分析方法,描绘了全球钴贸易网络时空格局和演化过程,并进一步测度了全球钴贸易网络结构韧性,为认识全球钴供应链安全提供了有价值的参考[27]。总体上,已有研究大多借助静态和动态两类方法从节点和连边两个维度对网络韧性进行测度。其中,静态方法主要通过选取层级性、匹配性、传输性、多样性和集聚性等一个或多个方面的网络指标来反映网络结构韧性[21];而动态方法则是通过构建仿真模型对网络开展模拟攻击,并利用攻击下网络相关特性指标的变化情况反映网络韧性的动态演变特征[26,28]
从网络韧性测度框架上看,虽然现有研究从不同视角和层面对网络韧性开展了初步探索,但受限于网络本身的复杂性和非均衡性,目前的网络韧性分析多针对无权网络展开,未能顾及节点和连边权重在网络结构和连通性表达上的交互作用。而贸易网络属于典型的有向加权网络,网络节点和连边具有显著的异质性、复杂性和非均衡性,网络权重对于网络韧性综合测度至关重要。因此,如何顾及节点和连边权重的作用、构建适用于贸易网络全连通特性的网络韧性测度框架,成为具有重要价值的方法论探索。
为解决上述难题,基于复杂网络理论内涵,在剖析“一带一路”贸易网络拓扑结构特征基础上,本文构建“一带一路”加权贸易网络韧性测度框架,运用节点强度、中介中心性和多样化系数的加权算法解析“一带一路”贸易网络的节点韧性,从连通性、抗毁性、恢复性和稳健性4个维度探究“一带一路”贸易网络的结构韧性,全面揭示“一带一路”贸易网络的韧性演化特征及其发展趋向,以期为科学认识“一带一路”贸易畅通、推动“一带一路”高质量建设提供决策参考。

1 分析框架、方法与数据

1.1 分析框架思路

根据网络科学理论,节点和连边是网络的基本要素,而节点、连边及其相互关系共同构成了网络拓扑结构。考虑到网络权重信息,网络可划分为非加权网络和加权网络。在加权网络中,节点权重表示节点的强度,连边权重指示2个节点间的强度或距离,节点和连边权重均为真实世界网络的重要属性。由于网络权重在网络特征表达上的难度和复杂性,加权网络的韧性测度从来不是容易的事。参考已有文献[24-25,27,29],从复杂网络和韧性理论出发,在顾及网络权重信息基础上,本文尝试从节点和结构2个维度入手,选择以节点强度、中介中心性、多样性系数3类指标的加权算法分别表征节点在网络中的影响力、中介枢纽性以及贸易多元化程度,以此衡量沿线各国在“一带一路”贸易网络中的韧性特征;同时使用全局效率、基尼系数、同配性系数及模拟攻击分析算法分别表征节点在网络中的连通性、抗毁性、恢复性以及稳健性,测度“一带一路”贸易网络在结构维度的韧性特征和趋向。

1.2 研究方法

1.2.1 节点韧性测度方法

①节点强度。节点强度(Node Strength)是一种针对加权网络中节点权重的测度方法,用来衡量某一节点在加权网络中的重要性,也称为加权节点度。一般而言,节点强度指的是某一节点所有相邻连接的权重之和。在有向网络中,内向节点强度是流入节点的连接权重总和,对外节点强度是节点对外连接的权重总和。因此,节点强度被定义为[30]
S i = j N w i j
式中: S i为节点i的节点强度; w i j为节点i和节点j之间的连接权重。
②中介中心性。中介中心性(Betweenness Centrality)用于衡量节点在网络中的中介重要性。中介中心性越高,说明该节点在网络中的桥梁作用越强,控制其他节点的潜在能力越强。在一个具有N个节点的网络中,节点hj之间的最短路径会途经某些节点,如果节点i被许多最短路径经过,则表示该节点在网络中很重要[31]。其重要性可以用中介中心性BCi来表示,计算公式[32]为:
B C i = 1 n - 1 n - 2 h , j N h j , h i , j i σ h j i σ h j
式中: σ h j为节点hj之间最短路径的条数; σ h j i为节点hj之间的最短路径经过的节点i的条数。在加权有向网络中,通过将加权、有向路径转换为对应的路径长度,从而等效地计算出加权有向网络中的中介中心性。
③多样性系数。在真实网络中,节点对间通常具有多种联系路径,而不只是与少数节点相联系,形成了网络的多样性。当网络受到外部攻击时,如果在某个节点失效或连边移除的情况下,多样性丰富意味着节点间仍具有多条能够连接的路径,其他联系路径依然能够保证整个网络的正常运行。因此,多样性代表了网络整体的容错能力,能有效衡量外部攻击后网络的恢复能力。
为测度网络联系的异质性,Eagle等将拓扑多样性测度转换为香农熵函数进行刻画[33],计算多样性系数(Diversity Coefficient)。因此,节点的多样性系数被定义为节点相邻连边权重的香农熵,计算公式为:
D i = H i l o g k i
H i = - j = 1 k p i j l o g p i j
p i j = V i j j = 1 n V i j
式中: D i为节点i的多样化系数; H i p i j的函数; p i j是节点i连接总量中与j相连的占比;ki的连接数量; p i ji连接总量中与j相连的占比; V i j是节点i和节点j之间联系的总量。基于上述步骤,计算出所有节点的多样性系数。

1.2.2 结构韧性测度方法

①全局效率。全局效率(Global Efficiency)是所有节点对的逆最短路径长度的平均值,被看作是衡量信息在网络中交换效率的指标[34]。当一个图是完全连通时,传输效率最大;当一个图是完全不连通时,传输效率是最小的。在直观上,全局效率度量了网络的全局传输能力,平均最短路径长度越短,网络全局效率越高,则网络节点间传递信息的速率就越快,网络连通性就越高。具体地,全局效率计算公式为[35]
E = 1 N ( N - 1 ) i j 1 d i j
式中: E i是节点i的效率值; d i j是节点i和节点j之间的最短路径长度。在加权网络,需要将连边权重映射为路径长度,即联系越强、路径长度越短,从而计算出加权全局效率。
②基尼系数。抗毁性是网络自身抵御攻击或自然灾害的一种能力。根据已有研究,网络的抗毁性与异质性高度相关[29],强异构性网络对随机攻击具有鲁棒性,对故意攻击具有脆弱性。而网络的加权节点度能够反映出节点在网络中的异质性水平。因此,基于加权节点度分布,采用基尼系数(Gini Coefficient)测度网络的异质性水平。其计算公式[36]为:
G = 1 2 n 2 u j = 1 n i = 1 n Y j - Y i
式中: Y j - Y i是任何一对节点强度差的绝对值;n是节点数量;u是节点强度的均值。
③同配性系数。同配性系数(Assortativity Coefficient)指的是连边两端所有节点度之间的相关系数,是对网络恢复能力的一种有效度量[37-38]。在网络中,若具有高中心性的枢纽节点之间彼此相互联系,则同配性系数为正值,称之为同配性网络;若具有高中心性的枢纽节点倾向于连接低中心性的节点,则同配性系数为负值,称之为异配性网络。在同配性网络结构中,网络联系分布紧凑、相对集中,节点损失对网络结构影响程度降低,具有相对的韧性;而在异配性网络结构中,网络联系相对分散分布,存在易受攻击的高节点度枢纽,个别节点失效可能会危及整个网络的功能和运行,网络韧性程度降低。
在同配性系数计算方法基础上,Leung等进一步提出了加权同配性系数测度方法[39],其计算公式为:
r w = l - 1 ( i , j ) L k i o u t k j i n - l - 1 ( i , j ) L 1 2 w i j k i w + k j w 2 l - 1 ( i , j ) L 1 2 w i j k i w 2 + k j w 2 - l - 1 ( i , j ) L 1 2 w i j k i w + k j w 2
式中: r w是加权网络中连边两端的加权度的皮尔逊相关系数,其范围为-1~1之间; k i w指的是连边i两端节点的加权度; k j w指的是连边j两端节点的加权度。
④模拟攻击。网络结构的稳健性也是复杂网络的基本特征之一。根据渗透理论(Percolation Theory),当被移除的节点数量达到一个临界值,网络就会被分割成许多独立的子图[40]。然而,究竟在何种程度网络会由于随机和固定节点的故障或失效而面临解体是网络的稳健性问题,也称之为鲁棒性[41]。因此,结合网络结构特征,本文首先对加权节点度和连边权重进行排序,在此基础上通过模拟攻击移除特定节点和连边,测度网络连通规模指标的变化,考察节点或连边失效对网络结构的整体影响,从而判别网络的稳健性程度。

1.3 数据处理

国家间贸易流量矩阵的构建是综合测度“一带一路”贸易网络韧性演化的首要前提。本文所采集的贸易数据源自联合国商品贸易统计数据库(UN Comtrade Database),原始数据包括报关国、伙伴国、贸易流量、贸易额等信息。由于贸易数据普遍存在进口和出口数据不一致问题,本文参考已有研究[2,7,14],主要采用进口口径的贸易流量数据,对于数据缺失的国家通过出口口径数据进行插补和完善。经过上述数据采集过程,通过数据清洗和转换构建贸易网络矩阵数据集。考虑到与现有研究的可比性和延续性,本文同样选取“一带一路”沿线65个国家和地区作为研究对象,将其设定为“一带一路”贸易网络模型中的节点,将国家(地区)间贸易关系设定为连边,并用贸易额表征国家间贸易流量权重,最终构建长时序“一带一路”沿线国家间贸易网络联系,矩阵形式为有向加权网络。在研究期限上,中国于2001年正式加入WTO,自此显著改变了世界经贸格局,因此本文将其作为研究起始年份,并选择2010和2015年作为研究截面,以2021年作为截止年份,以此探究“一带一路”贸易网络韧性演化过程。

2 结果分析

2.1 贸易网络拓扑结构演化

为清晰地显示“一带一路”贸易网络结构特征,本文采用弦图对2001、2010、2015和2021年4个年份的“一带一路”贸易网络联系特征进行可视化表达,其中,弧长体现国家的贸易规模,连线代表国家间贸易联系强度,而箭头指明贸易联系方向(图1)。由图1可知,2001年以来,“一带一路”沿线各国贸易联系日趋紧密,贸易网络密度不断提升,不均衡态势逐渐显现,呈现出以中国为绝对核心,印度、俄罗斯、马来西亚等国为重要节点,其他国家紧密参与的贸易格局。
图1 “一带一路”贸易网络拓扑结构演化

Fig.1 Topological evolution of the “Belt and Road” trade network

2001年以来,“一带一路”贸易网络呈现出由松散向紧密发展、由多极向单极演变的整体趋势。2001年,中国、新加坡、俄罗斯和马来西亚共同构成网络中的核心节点,4个国家的进出口贸易额近乎均等。2010年,贸易网络极化现象进一步加强,中国占沿线地区贸易总额的比重逐渐上升,并与俄罗斯、印度、新加坡等国家拉开差距。自2013年“一带一路”倡议提出后,中国在“一带一路”沿线贸易网络中的地位有了实质性的提升,逐渐成为“一带一路”沿线贸易网络的绝对核心。2015—2021年,“一带一路”沿线国家贸易网络结构呈现出稳中有变的态势,中国稳居“一带一路”沿线贸易规模首位,并与其他国家的差距逐渐拉大,2021年中国的贸易额已是第二名的近4.5倍。同时,印度的贸易发展也较为迅速,已由2001年的第七位上升至2021年的第二位。在贸易额排名前五的国家中,俄罗斯和马来西亚均呈现稳中有升的良好态势,而新加坡则出现下降趋势,最终被越南超越,掉出贸易总规模排名前五的行列。
在进出口结构上,中国的第一大进口来源国由新加坡转变为印度,并在2015年后稳定为越南,而中国的第一大出口目的国则由俄罗斯转变为马来西亚,表明在“一带一路”倡议和中国—东盟自由贸易协定等国际合作平台的作用下,中国与东南亚国家的贸易合作持续深化、贸易联系日益紧密。新加坡在“一带一路”贸易网络中的进出口贸易伙伴国结构也产生了较大变动。2001年,新加坡与马来西亚的双边贸易额居于领先地位,而随着“一带一路”深入发展,中国与新加坡的双边贸易迅速发展,至2015年中国已超越马来西亚成为新加坡最大的进口和出口贸易伙伴国,此后,两国的经贸合作日趋紧密。就中俄贸易而言,中国已连续十多年稳居俄罗斯第一大贸易伙伴国的位置。中俄两国贸易稳步增长,一方面源于两国间全面战略协作伙伴关系,另一方面两国在资源禀赋和产业结构方面有较强的互补性,俄罗斯丰富的能矿资源能够弥补中国的油气和矿产资源缺口,而中国则为俄罗斯提供了大量的制造业产品。

2.2 贸易网络节点韧性演化

本文采用加权节点度、中介中心性和多样性系数对2001年以来“一带一路”贸易网络节点韧性进行测度,结果见表1。从节点韧性角度看,“一带一路”沿线各国在贸易网络中的地位和角色具有明显的异质性,中国、俄罗斯、印度、新加坡、土耳其等国属于韧性较强的国家,而其他国家贸易联系强度则相对较弱,表现为节点韧性较低。
表1 “一带一路”贸易网络节点韧性测度排名前10位国家

Tab.1 Top 10 countries of resilience indicators in the “Belt and Road” trade networks

2001 2010
国家 加权
节点度
国家 中介
中心性
国家 多样性
系数
国家 加权
节点度
国家 中介
中心性
国家 多样性
系数
中国 859.35 中国 1167.63 土耳其 0.7591 中国 6951.87 中国 1569.49 中国 0.7672
新加坡 802.31 俄罗斯 1098.82 叙利亚 0.7477 俄罗斯 2887.09 俄罗斯 1084.21 土耳其 0.7441
俄罗斯 670.33 新加坡 356.80 印度 0.7433 印度 2738.66 印度 331.97 黎巴嫩 0.7268
马来西亚 620.54 印度 218.14 中国 0.7402 新加坡 2577.59 土耳其 261.17 埃及 0.7078
泰国 417.11 阿联酋 216.23 埃及 0.7349 马来西亚 2100.83 阿联酋 163.80 斯洛文尼亚 0.7074
阿联酋 251.74 土耳其 208.42 俄罗斯 0.7209 泰国 1793.68 泰国 93.73 俄罗斯 0.6885
印度 248.86 泰国 193.83 阿联酋 0.7175 阿联酋 1671.65 沙特阿拉伯 92.24 塞尔维亚 0.6883
印度尼西亚 242.94 沙特阿拉伯 131.98 罗马尼亚 0.7147 印度尼西亚 1519.95 伊拉克 71.48 叙利亚 0.6841
沙特阿拉伯 237.54 波兰 111.53 匈牙利 0.7117 沙特阿拉伯 1372.35 塞尔维亚 55.55 罗马尼亚 0.6768
乌克兰 223.47 斯洛文尼亚 82.41 黎巴嫩 0.6913 土耳其 1300.32 斯洛文尼亚 41.57 阿塞拜疆 0.6766
2015 2021
国家 加权
节点度
国家 中介
中心性
国家 多样性
系数
国家 加权
节点度
国家 中介
中心性
国家 多样性
系数
中国 9577.64 中国 1705.17 中国 0.7793 中国 17386.64 中国 1798.77 中国 0.7673
印度 2915.58 俄罗斯 697.57 土耳其 0.7592 印度 4659.53 俄罗斯 563.19 土耳其 0.7650
新加坡 2575.75 土耳其 244.51 塞尔维亚 0.7111 俄罗斯 3911.34 印度 322.31 乌克兰 0.7004
俄罗斯 2508.71 沙特阿拉伯 227.01 黎巴嫩 0.7102 马来西亚 3545.37 土耳其 176.21 北马其顿 0.6879
马来西亚 2335.86 印度 201.28 罗马尼亚 0.7037 越南 3473.30 泰国 124.87 塞尔维亚 0.6853
泰国 2119.57 伊拉克 165.87 印度 0.6927 新加坡 3248.46 立陶宛 93.58 印度 0.6789
越南 1763.95 泰国 96.32 俄罗斯 0.6925 泰国 2918.67 匈牙利 87.39 埃及 0.6756
沙特阿拉伯 1674.94 塞尔维亚 85.88 斯洛文尼亚 0.6912 印度尼西亚 2719.47 阿联酋 72.48 斯洛文尼亚 0.6717
印度尼西亚 1652.14 立陶宛 65.46 乌克兰 0.6860 阿联酋 2396.63 伊拉克 65.81 黑山 0.6708
土耳其 1555.20 新加坡 63.63 埃及 0.6788 波兰 2241.47 巴基斯坦 53.16 阿尔巴尼亚 0.6702
具体而言,2001年以来,沿线各国加权节点度和多样性系数排名位次有所调整,其中,加权节点度普遍提升,而多样性系数则无明显变化。加权节点度的提升和多样性系数的高位稳定,说明网络中的贸易联系从稀疏变得稠密,网络结构逐渐复杂化。国家间的指标差值呈现出增大趋势,表明沿线各国在“一带一路”贸易网络中地位和角色的异质性增强,形成了枢纽节点连接普遍节点的网络交织形态,且枢纽节点的地位日趋巩固。在排名前十位的国家中,中国、泰国、印度、马来西亚等国具有较大的经济体量和制造业优势,成为“一带一路”沿线重要的商品输出国;而俄罗斯、印度尼西亚、阿联酋、沙特阿拉伯等国家具有丰富的能矿资源,是沿线地区重要的能矿资源供给国;新加坡和土耳其凭借优越的地理区位和转口贸易成为“一带一路”沿线重要的贸易中转枢纽。在资源禀赋、产业结构和地理区位等综合作用下,这些国家拥有较高的对外贸易水平,并与沿线各国不断建立和加强贸易联系,对于巩固其在网络中的优势地位具有重要意义。
在中介中心性方面,2001年以来,除中国有明显上升以外,其他国家普遍存在波动或下降趋势,这说明中国作为中介枢纽节点,在“一带一路”贸易网络扮演的核心角色不断强化。俄罗斯在中介中心性排名中稳居第二,说明在“一带一路”沿线贸易活动中,俄罗斯的协调和控制能力仅次于中国,同样占据着较为重要的枢纽位置。由此可知,中国和俄罗斯在“一带一路”贸易网络中占据核心地位。一方面,两国贸易权重占比遥遥领先,且在整个网络中具有重要的连接与控制功能,承担着“桥梁”作用;另一方面,由于中国的对外贸易需求高,既是进口国也是出口国,在整个贸易网络中起到集散和中介的作用,而俄罗斯则凭借丰富的能源资源和横跨欧亚的地理区位,在“一带一路”能矿和粮食贸易中具有控制地位。

2.3 贸易网络结构韧性演化

2.3.1 网络连通性

全局效率是用以衡量“一带一路”贸易网络全局传输能力的指标,即贸易网络连通性。由图2可知,2001年以来,贸易网络连通性总体呈现上升态势,网络全局传输能力有所提升。其中,2008年之前网络连通性呈现加速上升趋势;2008年以后受金融危机、全球贸易低迷、新冠肺炎疫情等影响,网络连通性呈现出波动上升趋势,与全球经济发展趋势一致。
图2 “一带一路”贸易网络连通性测度

Fig.2 Connectivity of the “Belt and Road” trade network

2001—2008年,随着经济全球化和信息化的发展,沿线各国间贸易途径逐渐拓宽,贸易壁垒减少,商品、资金、信息等流动传输效率显著提升,“一带一路”贸易网络连通性得到快速发展,全局效率数值由2001年的2.9上升至2008年的16.2。2001年,中国加入世界贸易组织,并逐步成为经济全球化的深度参与者,中国与沿线各国的贸易往来日益频繁,在“一带一路”贸易网络中的核心地位持续加强。中国、俄罗斯及印度等重要节点国家间贸易联系紧密,而原先贸易体量较小的边缘国家也逐渐融入贸易网络中,“一带一路”贸易网络同步实现了规模扩张和连通性提升,全局效率加速增长。
2008年,美国次贷危机爆发并迅速波及全球,由此引发的各种金融问题对国际金融体系和世界经济体系造成巨大冲击,全球贸易失衡并陷入低迷,“一带一路”沿线国家间贸易也受到明显影响,贸易网络连通性由2008年的16.2跌落至2009年的11.8,但此后迅速回升,2011年恢复至21.0。此后,随着沿线各国经济复苏以及2013年“一带一路”倡议正式提出,沿线地区的贸易网络连通性进入稳步提升阶段。2015—2016年,由于全球经济增速放缓、国际市场需求不足以及世界贸易萎缩等因素,“一带一路”贸易网络连通性出现短暂下跌,后又迅速回升并超过原有水平。至2021年,“一带一路”贸易网络连通性已发展到31.8,沿线各国在贸易规模和贸易联系方面均取得突破,沿线地区在全球贸易体系中的地位得到巩固和加强,“一带一路”沿线贸易网络连通效率实现了质的跨越。

2.3.2 网络抗毁性

网络的抗毁性可理解为在受到攻击或出现故障时,在部分节点或连边失效的情况下网络仍能继续运作的能力[30]。参考已有研究,本文采用基尼系数衡量“一带一路”贸易网络抗毁性演化。基尼系数越高,则网络的异质性越强,对随机攻击的抵抗能力越强,而对针对特定节点的蓄意攻击具有脆弱性。
2001—2021年,“一带一路”贸易网络抗毁性呈现出周期性波动上升的变化态势(图3)。当基尼系数增长一或两年后,往往会面临短时间内的小幅下跌,而后再经历上升,在达到新峰值后再次跌落,如此循环往复。2019—2021年,“一带一路”沿线各国贸易基尼系数已实现连续3年较快增长,贸易网络抗毁能力逐步增强。
图3 “一带一路”贸易网络抗毁性测度

Fig.3 Invulnerability of the “Belt and Road” trade network

2001年,“一带一路”沿线贸易总体处于初级发展阶段,沿线各国贸易的基尼系数处在最低水平,此时该贸易网络的抗毁性相对较弱。中国、新加坡、俄罗斯、马来西亚等国家的贸易总额相差不大,且国家间贸易联系相对松散,整体贸易网络呈现多中心的发展格局,对于针对核心节点的攻击具有较强的抵御能力。2021年,“一带一路”沿线贸易的基尼系数已上升至0.71,网络异质性加强,极化效应日益显著。此时,沿线地区贸易网络应对蓄意攻击的能力下降,网络抗毁性减弱,若移除具有大量连接的枢纽节点,则贸易网络可能会面临整体失效的困境。

2.3.3 网络恢复性

同配性系数是衡量网络恢复能力的重要指标。由图4可知,2001—2021年“一带一路”贸易网络的同配性系数均为负值,说明网络中的联系相对分散,整体网络结构趋向于异配性网络,个别高中心性节点受到攻击失效后,易对整个网络的功能和运行产生较大影响,网络恢复能力较弱,导致网络韧性程度较低。但同配性系数呈现出逐年增大态势,也表明“一带一路”沿线贸易网络恢复能力处于不断改善当中。
图4 “一带一路”贸易网络恢复性测度

Fig.4 Recoverability of the “Belt and Road” trade network

根据网络恢复性测度结果,目前网络中高中心性枢纽节点大多连接低中心性节点,核心骨干之间的连接强度有待于加强。2001—2021年,“一带一路”沿线贸易网络的同配性系数由-0.0642增长至 -0.0297,网络联系的分散程度有所降低,恢复能力逐步增强。这一方面可能是因为处于核心地位的贸易大国通过与其他国家开展贸易合作,对其经济发展和对外贸易产生积极促进效应,带动了沿线各国贸易网络的发展;另一方面也体现了中国、新加坡、俄罗斯等沿线贸易大国间贸易合作的持续深化,高中心性国家间贸易联系强度不断强化,形成沿线地区贸易网络的骨干结构,从而有效提升了网络的连通性和恢复性。“一带一路”贸易网络的主要贸易联系逐渐由“核心—非核心”连通结构向“核心—核心”或“核心—次核心”连通结构转变,网络联系总体趋向紧凑、集中化发展,使得贸易网络的恢复能力和整体韧性有所提高,避免因个别国家的角色危机导致整体贸易网络失效,同时这一转变也将推动贸易网络“核心—边缘”连通模式的形成。

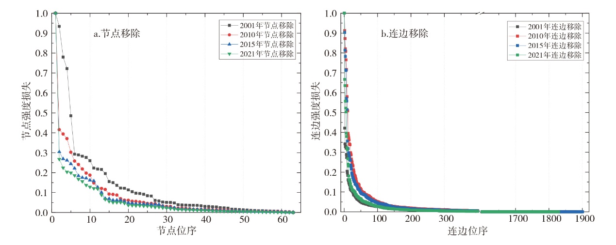
2.3.4 网络稳健性

为了测度“一带一路”贸易网络稳健性,本文进一步对网络中各节点的加权节点度和连边权重进行排序,通过模拟攻击移除特定节点和连边,测度网络连通规模指标的变化(图5)。由图5可知,“一带一路”贸易网络的节点和连边强度位序—规模分布近似为幂指数曲线,具有显著的极化效应,网络连通程度随着节点和连边的移除呈现先快速下降、后低位稳定的态势,存在对网络功能具有决定性作用的关键国家和贸易联系,并随着时间推移对随机攻击的抵御能力略有提升而对蓄意攻击的抵御能力总体较低且日益下降。
图5 “一带一路”贸易网络稳健性测度

Fig.5 Robustness of the “Belt and Road” trade network

从网络节点来看,“一带一路”沿线贸易规模极化效应日益显著,少数国家占据了沿线地区大部分贸易额,移除最核心节点对网络节点强度造成的损失逐年扩大(图5a)。2001年,排名前六位的国家占据了大量贸易规模,移除这6个节点使得网络的总体节点强度大幅下跌,在此点之后,节点移除带来的节点强度损失下降速率有所减小,而在国家位序约26位之后曲线较为平稳。2010、2015和2021年的节点位序—强度损失曲线形态较为相似,节点强度损失的衰减速率较为相近,都在国家位序约15位左右显著降低,并在约30位之后近似呈直线分布。值得注意的是,作为排名第一的国家,中国拥有最高的节点强度,一旦被移除或失效,将极大地影响整个网络连接效率。而对于排序靠后的节点,即使因被攻击而失效,对于网络节点强度造成的损失也很小,对网络的整体运转几乎不具有威胁性。
从网络连边来看,“一带一路”沿线贸易联系的极化效应呈现先减小后增大的态势,但总体较为显著,少数贸易联系对网络整体结构具有决定性作用(图5b)。4个年份的连边移除结果具有较高相似性,都表现为排序前50的连边失效对整体网络连边强度损失的影响较大,而排序在200位之后的连边对于整个网络的连边强度影响趋近于0。其中,2001年连边位序—强度损失曲线的弯曲程度最大,而2010年弯曲程度有所减小,2015和2021年又进一步增大,说明2001年以来“一带一路”沿线贸易联系呈现先集中,后趋于分散,而后又逐渐紧密的演化特征。2001年,“一带一路”贸易网络较为松散,存在较多仅与少量沿线国家开展贸易合作的“边缘国家”,主要贸易联系集中在中国、新加坡、俄罗斯等贸易大国间,“一带一路”贸易联系较为集中。随着经济全球化深入发展和沿线国家贸易合作的持续深化,沿线各国间普遍建立了贸易联系,各国与核心贸易大国之间的贸易联系也日益紧密,“一带一路”沿线贸易联系相较于2001年略微松散。之后,随着中国等贸易核心国家间经贸合作进一步深入,沿线地区贸易联系又向主要大国间集聚。
综上所述,“一带一路”贸易网络中存在少数权重极高的节点和连边,对于网络的稳健性具有决定性作用,一旦失效将造成整个网络的瓦解和崩溃。同时,也存在较多对网络稳健性影响很小的节点,即使移除或失效也并不影响网络的运行。由于大量低权重节点和连边的存在,使得“一带一路”贸易网络对于随机攻击的抵御能力相对较强,而少数高权重核心节点和连边的存在,也会导致贸易网络对于蓄意攻击的抵御能力总体减弱,网络稳健性有待进一步增强。

3 结论与讨论

3.1 结论

贸易畅通是“一带一路”建设的重要目标,开展经贸合作是沿线各国提升国际竞争力和影响力的重要方式,也是推动“一带一路”高效建设的基本动力。借鉴复杂网络理论内涵,本文综合运用多种网络分析方法,从节点韧性和结构韧性2个维度对2001—2021年“一带一路”贸易网络韧性进行综合测度,并探讨其演变过程、发展特征和趋向。主要结论如下:
①“一带一路”沿线各国贸易联系日趋紧密,贸易网络密度不断提升,不均衡态势逐渐显现,贸易网络拓扑结构呈现由松散向紧密发展、由多极向单极演变的趋势,形成了以中国为绝对核心,俄罗斯、印度、马来西亚等国为重要节点的贸易格局。
②在节点韧性方面,“一带一路”沿线各国在贸易网络中的地位和角色具有明显的异质性,并处于动态演化中。2001年以来,贸易网络加权节点度数值普遍提升,多样性系数无明显变化,而中介中心性除中国有明显上升以外,其他国家普遍存在波动或下降趋势,逐渐形成以中国、俄罗斯、印度、土耳其等国家为强韧核心的贸易格局。
③在结构韧性方面,“一带一路”贸易网络结构韧性总体有所提升,网络结构异质性不断增强。从连通性来看,2001年以来“一带一路”贸易网络的全局效率显著提升,网络连通性大幅上升;从抗毁性来看,“一带一路”贸易网络抗毁性呈现出周期性波动上升态势,整体贸易网络的抗毁能力逐步增强;从恢复性来看,“一带一路”贸易网络为异配性网络、网络恢复能力较弱,但同配系数逐渐增大,网络恢复性逐渐提升;从稳健性来看,“一带一路”贸易网络存在少数对于整体网络稳健性具有关键作用的高权重节点和连边,一旦失效将造成整个网络的瓦解和崩溃。

3.2 讨论

开展“一带一路”贸易网络韧性研究,对于明确沿线地区经贸合作重点方向、优化沿线地区贸易格局、提高沿线国家贸易往来的抗风险能力具有重要意义。在当前复杂多变的国际形势下,“一带一路”沿线贸易合作在充满机遇的同时,也面临许多新的挑战和问题。在未来“一带一路”建设中,为实现贸易网络的有效构建和稳定发展,首先应通过基础设施联动建设、政策协同制定、信息无壁垒交流和贸易自由流动等,进一步加强“一带一路”贸易网络各节点间的连通能力,确保人才、信息、资金等的高效率流通。其次应强化核心国家与核心国家、核心国家与边缘国家等之间多维度互动和经贸联系,通过政策沟通寻找利益契合点,进一步提升贸易网络的连通性和稳健性,促进“一带一路”贸易畅通向更高水平、更宽维度高质量发展。在后续研究中,将考虑对“一带一路”贸易网络韧性的影响因素和驱动机制开展探究,为营造更加安全、开放和可靠的“一带一路”贸易环境提供科学指引。
[1]
中国一带一路网. 已同中国签订共建“一带一路”合作文件的国家一览[EB/OL]. https://www.yidaiyilu.gov.cn/xwzx/roll/77298.htm,2023-03-07.

[2]
Chen W, Zhang H, Tang Z, et al. Assessing the structural connectivity of international trade networks along the “Belt and Road”[J]. PloS ONE, 2023,https://doi.org/10.1371/journal.pone.0282596.

[3]
吕越, 尉亚宁, 王强. 共建“一带一路”与全球贸易网络深化[J]. 中国人民大学学报, 2023, 37(1):131-144.

[4]
钮潇雨, 陈伟, 俞肇元. “一带一路”贸易网络连通性演化[J]. 地理科学进展, 2023, 42(6):1069-1081.

DOI

[5]
宋周莺, 车姝韵, 张薇. 我国与“一带一路”沿线国家贸易特征研究[J]. 中国科学院院刊, 2017, 32(4):363-369.

[6]
宋周莺, 车姝韵, 杨宇. “一带一路”贸易网络与全球贸易网络的拓扑关系[J]. 地理科学进展, 2017, 36(11):1340-1348.

DOI

[7]
杨文龙, 杜德斌, 马亚华, 等. “一带一路”沿线国家贸易网络空间结构与邻近性[J]. 地理研究, 2018, 37(11):2218-2235.

DOI

[8]
刘志高, 王涛, 陈伟. 中国崛起与世界贸易网络演化:1980—2018年[J]. 地理科学进展, 2019, 38(10):1596-1606.

DOI

[9]
Liu Z, Wang T, Sonn J W, et al. The structure and evolution of trade relations between countries along the Belt and Road[J]. Journal of Geographical Sciences, 2018, 28(9):1233-1248.

DOI

[10]
种照辉, 覃成林. “一带一路”贸易网络结构及其影响因素——基于网络分析方法的研究[J]. 国际经贸探索, 2017, 33(5):16-28.

[11]
邹嘉龄, 刘卫东. 2001—2013年中国与“一带一路”沿线国家贸易网络分析[J]. 地理科学, 2016, 36(11):1629-1636.

DOI

[12]
陈伟, 赵晞泉, 刘卫东, 等. “一带一路”贸易网络演化与贸易门户国家识别[J]. 地理学报, 2023, 78(10):2465-2483.

DOI

[13]
Li J, Dong X, Jiang Q, et al. Natural gas trade network of countries and regions along the belt and road:Where to go in the future?[J]. Resources Policy, 2021,https://doi.org/10.1016/j.resourpol.2020.101981.

[14]
计启迪, 刘卫东, 陈伟, 等. 基于产业链的全球铜贸易网络结构研究[J]. 地理科学, 2021, 41(1):44-54.

DOI

[15]
Chen W, Zhang H. Characterizing the structural evolution of cereal trade networks in the Belt and Road regions:A network analysis approach[J]. Foods, 2022, https://doi.org/10.3390/foods11101468.

[16]
丛海彬, 邹德玲, 高博, 等. “一带一路”沿线国家新能源汽车贸易网络格局及其影响因素[J]. 经济地理, 2021, 41(7):109-118.

DOI

[17]
魏冶, 修春亮. 城市网络韧性的概念与分析框架探析[J]. 地理科学进展, 2020, 39(3):488-502.

DOI

[18]
Holling C S. Resilience and stability of ecological systems[J]. Annual Review of Ecology and Systematics, 1973, 4(1):1-23.

DOI

[19]
郭卫东, 钟业喜, 冯兴华. 基于脆弱性视角的中国高铁城市网络韧性研究[J]. 地理研究, 2022, 41(5):1371-1387.

DOI

[20]
李博, 曹盖. 基于涉海A股上市公司的中国沿海地区海洋经济网络结构韧性演化研究[J]. 地理科学进展, 2022, 41(6):945-955.

DOI

[21]
魏石梅, 潘竟虎. 中国地级及以上城市网络结构韧性测度[J]. 地理学报, 2021, 76(6):1394-1407.

DOI

[22]
方叶林, 苏雪晴, 黄震方, 等. 中国东部沿海五大城市群旅游流网络的结构特征及其韧性评估——基于演化韧性的视角[J]. 经济地理, 2022, 42(2):203-211.

DOI

[23]
黄梅, 刘晨曦, 俞晓莹, 等. 城市水生态网络韧性评价与优化策略——以长沙市为例[J]. 经济地理, 2022, 42(10):52-60.

DOI

[24]
Sun X, Wei Y, Jin Y, et al. The evolution of structural resilience of global oil and gas resources trade network[J]. Global Networks, 2023, 23(2):391-411.

DOI

[25]
Kharrazi A, Rovenskaya E, Fath B D. Network structure impacts global commodity trade growth and resilience[J]. PLoS ONE, 2017,https://doi.org/10.1371/journal.pone.0171184.

[26]
于娱, 马代鹏, 王贤梅. 国际铁矿资源全产业链产品的贸易网络韧性[J]. 资源科学, 2022, 44(10):2006-2021.

DOI

[27]
Yang J, Chen W. Unravelling the landscape of global cobalt trade:Patterns,robustness,and supply chain security[J]. Resources Policy, 2023,https://doi.org/10.1016/j.resourpol.2023.104277.

[28]
Buldyrev S V, Parshani R, Paul G, et al. Catastrophic cascade of failures in interdependent networks[J]. Nature, 2010, 464(7291):1025-1028.

DOI

[29]
Gao J, Barzel B, Barabási A L. Universal resilience patterns in complex network[J]. Nature, 2016, 530(7590):307-312.

DOI

[30]
Barrat A, Barthelemy M, Pastor-Satorras R, et al. The architecture of complex weighted networks[J]. Proceedings of the National Academy of Sciences, 2004, 101(11):3747-3752.

DOI

[31]
Alves H, Brito P, Campos P. Centrality measures in interval-weighted networks[J]. Journal of Complex Networks, 2022,https://doi.org/10.1093/comnet/cnac031.

[32]
Freeman L C, Roeder D, Mulholland R R. Centrality in social networks:II. experimental results[J]. Social Networks, 1979, 2(2):119-141.

DOI

[33]
Eagle N, Macy M, Claxton R. Network diversity and economic development[J]. Science, 2010, 328(5981):1029-1031.

DOI PMID

[34]
Latora V, Marchiori M. Efficient behavior of small-world networks[J]. Physical Review Letters, 2001,DOI:10.1103/PhysRevLett.87.198701.

[35]
Chen W, Zhao X. Understanding global rice trade flows:Network evolution and implications[J]. Foods, 2023,https://doi.org/10.3390/foods12173298.

[36]
Dagum C. A new approach to the decomposition of the Gini income inequality ratio[J]. Empirical Economics, 1997, 22(4):515-531.

DOI

[37]
Newman M E J. Assortative mixing in networks[J]. Physical Review Letters, 2002,DOI:10.1103/PhysRevLett.89.208701.

[38]
Pigorsch U, Sabek M. Assortative mixing in weighted directed networks[J]. Physica A:Statistical Mechanics and its Applications, 2022,https://doi.org/10.1016/j.physa.2022.127850.

[39]
Leung C C, Chau H F. Weighted assortative and disassortative networks model[J]. Physica A:Statistical Mechanics and Its Applications, 2007, 378(2):591-602.

DOI

[40]
Barabási A L. Network Science[M]. Cambridge: Cambridge University Press, 2016.

[41]
Wei N, Xie W, Zhou W. Robustness of the international oil trade network under targeted attacks to economies[J]. Energy, 2022,https://doi.org/10.1016/j.energy.2022.123939.

文章导航

/