区域经济与理论方法

用能权交易试点政策对全要素能源效率的影响

  • 束云霞 , 1 ,
  • 向斌 2 ,
  • 吴玉鸣 3 ,
  • 鲍曙明 3
展开
  • 1.天津商业大学 经济学院,中国 天津 300134
  • 2.中国人民大学 应用经济学院,中国 北京 100872
  • 3.华东理工大学 商学院,中国 上海 200237

束云霞(1994—),女,博士,讲师,研究方向为区域创新、政策评估。E-mail:

收稿日期: 2023-08-19

  修回日期: 2024-11-07

  网络出版日期: 2025-08-28

基金资助

国家自然科学基金面上项目(72073045)

The Impact of Pilot Energy Trading Policies on Total Factor Energy Efficiency

  • SHU Yunxia , 1 ,
  • XIANG Bin 2 ,
  • WU Yuming 3 ,
  • BAO Shuming 3
Expand
  • 1. School of Economics,Tianjin University of Commerce,Tianjin 300134,China
  • 2. School of Applied Economics,Renmin University of China,Beijing 100872,China
  • 3. School of Business,East China University of Science and Technology,Shanghai 200237,China

Received date: 2023-08-19

  Revised date: 2024-11-07

  Online published: 2025-08-28

摘要

提高能源效率可以缓解能源需求压力、推动经济低碳转型,进而实现节能减排与绿色发展。文章在计算2006—2021年中国30个省份全要素能源效率的基础上,将用能权交易试点政策视为一项准自然实验,运用双重差分法、合成控制法等方法探究了用能权交易试点政策对全要素能源效率的影响效果及其作用机制。 结果表明:①用能权交易试点政策显著提高了全要素能源效率,且这一结论在经过一系列检验后依然稳健。②用能权交易试点政策可以通过能源消费结构转型、产业结构升级和绿色技术创新提高全要素能源效率。③用能权交易试点政策对福建的全要素能源效率影响最大,四川次之,河南最小,对浙江虽短期出现影响但影响并不显著。研究结论为推进能源市场化改革、提升全要素能源效率提供了理论和实证依据,并为创新城市治理模式、实现可持续发展提供了经验参照。

本文引用格式

束云霞 , 向斌 , 吴玉鸣 , 鲍曙明 . 用能权交易试点政策对全要素能源效率的影响[J]. 经济地理, 2025 , 45(7) : 35 -45 . DOI: 10.15957/j.cnki.jjdl.2025.07.004

Abstract

Improving energy efficiency can alleviate the pressure on energy demand and facilitate the low-carbon transition of the economy, thereby achieving the objectives of energy conservation, emission reduction, and green development. Firstly, we employed the super-efficiency SBM model incorporating undesired CO2 outputs and the Malmquist productivity index (MPI) to calculate the total factor energy efficiency of 30 provinces between 2006 and 2021. Secondly, this paper regarded the energy rights trading pilot policy as a quasi-natural experiment and constructed methods such as the DID approach to explore the impact and mechanism of the energy rights trading pilot policy on total factor energy efficiency. Our findings show that: 1) The energy rights trading pilot policy significantly enhances total factor energy efficiency, and this conclusion remains robust after a series of tests. 2) According to the mechanism study, the energy rights trading pilot policy boosts total factor energy efficiency by optimizing the energy consumption structure, upgrading the industrial structure, and fostering green technology innovation. 3) This paper constructs a synthetic control method to explore the policy effect of each pilot province. The research reveal that Fujian Province experienced the most significant impact from the energy rights trading pilot policy, followed by Sichuan Province, while Henan Province was least affected. Although Zhejiang Province experienced a short-term impact from the policy, it was not significant. This study provides theoretical and empirical support for advancing energy marketization reform to enhance energy efficiency and offers practical insights for innovating urban governance models and achieving sustainable development.

工业化进程的快速推进,导致化石能源的大量开采和低效利用,从而加剧了温室气体排放和环境污染。面对严峻的能源环境问题,中国政府先后出台了一系列环境政策。早期的环境政策以命令控制型为主[1],随着市场化改革的深入,政府陆续出台了排污权、碳排放权和用能权等市场激励型环境政策。其中,用能权是推进绿色发展过程中的一项重大制度创新。其理论基础为科斯定理,主要表现为:在控制能源消费总量的前提下,由政府进行初始分配后再进行市场交易,旨在通过产权界定和市场激励机制实现能源有效配置[2]。因此,在实现“碳中和、碳达峰”目标背景下,探究中国现行的用能权交易试点政策能否实现能源消费绿色转型具有一定的现实意义。
国内外围绕市场激励型环境政策与能源效率的研究已较为成熟,与本文密切相关的文献主要分为两类。一类文献聚焦市场激励型政策的政策效应研究。相较于命令控制型环境政策,市场激励型环境政策既能以最小成本实现环境治理目标,又能持续推动技术创新,实现节能减排与经济增长的双赢[3-4]。现有文献针对排污权、碳排放权、用水权和用能权等市场型激励政策展开了一系列研究。这些研究不仅分析了排污权、碳排放权等政策的污染治理效应,也讨论了这些环境政策带来的经济潜力、节能潜力,以及波特效应和示范效应等[5-8]。另一类文献聚焦市场激励型环境政策对能源效率的影响研究。例如,史丹等研究发现排污权交易政策能够显著提高全要素能源效率,降低单位GDP能耗[9];罗世华等对30个省份进行实证研究,结果表明碳排放权交易政策在不同程度上提高了试点省份的全要素能源效率[10]。从微观企业层面来看,排污权和碳排放权交易政策均有助于提升企业能源效率[11-12]。上述研究均表明,市场激励型环境政策能显著提升能源效率。
相较现有研究,本文的边际贡献主要体现在以下方面:在研究视角上,现有文献大多从碳排放权、排污权和环境税费改革等视角出发,考察各类市场化改革政策对能源效率的影响。然而,这些文献普遍强调的是末端防治策略[13]。相比之下,从用能权交易试点政策这一污染前端治理策略出发,对全要素能源效率进行考察的研究尚显不足。目前,仅有Che、薛飞等直接研究了用能权交易试点政策对能源效率的影响[14-15],但他们的研究局限于单要素能源效率层面。史丹指出,单要素能源效率忽略了能源、资本、劳动等要素对产出的影响和要素间的相互作用,无法全面反映出能源效率和经济质量[16]。本文通过探讨用能权交易试点政策对全要素能源效率的影响,对既有文献进行了有效补充。在研究内容上,一方面本文深入考察用能权交易试点政策如何通过能源消费结构转型、产业结构升级和绿色技术创新等机制来促进全要素能源效率的提升,与已有文献侧重于考察绿色技术创新单一传导路径相比[15],本文的研究有助于拓宽用能权交易试点政策对全要素能源效率的影响渠道;另一方面,本文基于合成控制法,考察用能权交易试点政策在不同试点省份的实施效果,弥补了双重差分法在因果推断中因样本特征问题导致的结果偏误,有助于精准评估政策的地区异质性影响,为国家精准施策提供支撑。

1 政策背景与研究假说

1.1 政策背景

自2015年国家正式推行用能权交易政策以来,该政策不断得到推广和完善,并在推进国家生态文明建设、助力能源消费改革等领域发挥了重要作用。2015年9月,中共中央、国务院在印发《生态文明体制改革总体方案》 中提出开展项目节能量交易,并逐步向基于能源消费总量管理下的用能权交易转变,明确了建设方向。同年10月,“十三五”规划明确建立健全用能权等初始分配制度。2016年7月,国家发展改革委印发《用能权有偿使用和交易制度试点方案》(以下简称《试点方案》) ,确定在浙江、福建、河南、四川开展用能权交易试点,并于2017年底正式批复实施方案。这一方案是能源市场化改革的一种探索尝试,为全国推广奠定基础。2021年3月,“十四五”规划强调用能权交易的重要性,提出推进相关市场化交易,引导能源向优势产业、龙头企业集聚。
浙江是最早探索用能权交易试点政策的省份,2015年率先在25个城市开展试点。河南选择4个代表性城市,将年综合耗能5000 t标准煤以上的有色、化工等重点行业用能企业纳入试点。福建先在水泥和火电行业试点,后扩大到合成氨等行业的44家重点企业。四川则把钢铁、水泥、造纸3个行业首批纳入试点,于2019年9月正式开市。这4个试点省份的区别在于:①试点路径上,浙江采用“以增量带动存量”,聚焦新增高耗能用能项目;其余3省则将达到一定能耗门槛的特定高耗能行业中所有增量与存量企业皆纳入试点范围,路径相对更为广泛。②交易主体上,浙江在试点初期集中在纳入试点的高耗能企业和当地政府之间进行交易,待市场成熟后交易拓展至用能企业之间;其余3省的交易主体主要为纳入试点的高耗能用能单位,交易主体更为集中。③指标分配上,浙江规定单位工业增加值能耗高于0.6 t标准煤/万元的新增用能量,需向政府有偿购买用能权指标;其余3省借鉴碳排放权交易,采用初始无偿分配和有偿交易相结合的方式。

1.2 用能权交易试点政策对全要素能源效率的影响

用能权交易制度本质上是一种基于成本理论的可交易许可证制度。它按照一定规则通过市场价格机制在企业间分配初始用能权,并利用市场激励和成本约束来控制能源消费总量,以获取经济和环境双重红利,从而推动能源效率的提升[4,17]。具体而言,当一个地区实施试点政策时,政府可以设定一定的能源消费总量和初始配额,将用能的权利分配给下辖的用能企业。随后,企业可以在用能权交易市场上进行自由买卖交易。这些企业被划分为高能耗和低能耗两类企业:高能耗企业往往是化石能源依存度高且能源利用效率相对较低的企业;低能耗企业则多为化石能源依存度低,同时处于生产效率前沿、能源利用效率较高的企业[18]。通常而言,低能耗企业的用能边际成本较低,因而它们可以灵活地将多余的用能权配额在市场上出售给高能耗企业。企业通过这种方式获得的收益,可以作为激励自身提升能源效率的动力,从而形成良性的连锁反应。据此,本文提出假说1。
H1:用能权交易试点政策可以促进全要素能源效率提升。
发展低碳经济、实现产业低碳化,关键在于降低对化石能源的依赖,优化能源消费结构,提高能源使用效率[19]。能源消费结构不合理不仅会造成能源效率低下,还会制约工业乃至整个国民经济的绿色发展。从能源消费结构对能源效率的影响来看,学术界已就优化能源消费结构能够提升能源效率这一观点达成共识[20-21]。其核心机制在于,清洁类能源能够替代煤炭等传统能源,从而减少了能源使用过程中的环境负外部性[22]
从用能权交易试点政策对能源消费结构的影响来看,多数研究表明市场激励型环境政策可显著改善能源消费结构[6,23-24]。在用能权交易试点政策作用下,高能耗企业可能会因为高昂的用能成本而降低对化石能源的依赖,提高清洁低碳能源消费占比,最终优化整个社会的能源消费结构。因此,减少煤炭等使用、发展清洁能源、改善能源消费结构等措施,不仅可以降低CO2等污染排放,还可以提高能源效率,进而实现节能减排和可持续发展的目标。据此,本文提出假说2。
H2:用能权交易试点政策通过优化能源消费结构提高全要素能源效率。
产业结构升级是实现节能减排目标的重要路径,兼具“资源转换器”与“环境控制器”功能[25]。其升级体现在两个方面:一是三次产业演进,从第一产业主导转向第二、三产业主导,实现产业结构高级化;二是产业链升级,产业类型沿劳动、资本、技术密集型方向转变,产品向高附加值、高加工度升级[26]。产业结构升级能促进全要素能源效率提升。一方面,第二产业能源消费量较大但效率相对较低,第三产业由于其行业特性,往往具有较高的能源效率。因此,在产业结构升级的过程中,随着第三产业占比的增加和第二产业占比的降低,能源消费结构也会相应调整,进而推动能源效率的提升。另一方面,产业链升级能够带动低能耗、低污染的新兴产业发展,并鼓励技术研发与高效设备投资,从而提高全要素能源效率。
用能权交易试点政策也可助力产业结构升级。在试点政策的作用下,高能耗产业需要为超出配额的能源支付更高的价格,这相应增加了其生产成本。通过淘汰高能耗、低产能的产业,试点政策有助于实现产业结构升级[11]。此外,在能源消费总量一定和成本最小化的双重约束下,为了达到节能政策的效果,地方政府也会大力推进技术创新,并通过招商引资引入高效清洁的产业,进而促进产业链升级和产业结构转型。综上所述,用能权交易试点政策可以促进产业结构升级,提高全要素能源效率,从而降低能源消耗和提高能源强度[19]。据此,本文提出假说3。
H3:用能权交易试点政策通过产业结构升级提高全要素能源效率。
绿色技术创新引致的绿色技术进步,是促进全要素能源效率的重要驱动力。绿色技术进步分为中性绿色技术进步和偏向性绿色技术进步。其中,中性绿色技术进步能在不增加其他生产要素使用的前提下,通过同比例提升各要素生产的生产效率来促进全要素能源效率的提升[27];而偏向性绿色技术进步则主要通过应用节能技术和设备,从而提高能源生产要素的产出弹性[28]
用能权交易试点政策能够促进绿色技术创新。依据成本最小化理论和波特假说,在市场竞争中,试点政策能够将能源边际消费成本内部化。这必然会加剧高能耗企业被拥有先进技术、效率更优的同类企业替代的风险,倒逼企业加大研发投入、实现绿色技术创新,最终使得那些能够降低用能成本的企业得以生存[9]。同时,市场激励型环境政策是推动偏向性绿色技术进步的重要因素之一。它通过限制污染排放和能源使用等方式,增加了企业的用能成本,从而对偏向性绿色技术进步产生了正向作用[29]。因此,作为市场激励型环境政策的一种,用能权交易试点政策能够通过提升绿色技术创新,促进偏向性绿色技术进步,进而提高全要素能源效率。据此,本文提出假说4。
H4:用能权交易试点政策通过提升绿色技术创新提高全要素能源效率。

2 研究方法与指标选取

2.1 计量模型构建

2.1.1 双重差分模型

双重差分法(DID)作为一种评估政策效果的有效手段,因其具有减少内生性干扰的优势而被广泛运用。中国出台的《试点方案》,为评估用能权交易试点政策的实际效果提供了一个良好的准自然实验环境。因此,本文将2017年视为政策开始的元年,将4个试点省份设定为处理组,其余26个省份设定为对照组,构建固定时间和省份的双重差分模型:
t f p e i t = a 0 + a 1 t r e a t i · p o s t t + β X i t + μ i + γ t + ε i t
式中: i表示第 i个省份; t表示第 t年;被解释变量 t f p e为全要素能源效率。当 y e a r 2017时, p o s t = 1,否则 p o s t = 0;当省份为浙江、福建、河南和四川时, t r e a t = 1,否则 t r e a t = 0 a 1为本文研究关注的重点,其符号正负和数值大小反映了用能权交易试点政策的实施对全要素能源效率的影响方向和程度。 X i t为一系列控制变量; μ i表示省份固定效应; γ t表示时间固定效应; ε i t为随机误差项。

2.1.2 中介机制模型

为了验证理论假说,本文引入中介变量构建中介效应模型:
m e d i t = γ 0 + γ 1 t r e a t i · p o s t t + β X i t + μ i + γ t + ε i t
t f p e i t = σ 0 + σ 1 m e d i t + σ 2 t r e a t i · p o s t t + β X i t + μ i + γ t + ε i t
式中: m e d为中介变量,其余变量的含义与基准回归模型式(1)一致。式(3)中的系数 σ 1表示中介变量对全要素能源效率的影响效应。

2.2 指标选取

2.2.1 被解释变量

全要素能源效率(tfpe)。能源效率的衡量主要分为单要素和全要素能源效率两种。单要素指标仅纳入能源单一要素指标,忽视了其他要素对能源的替代弹性[16],相比之下,全要素能源效率更能反映包含劳动、资本和能源等要素在内的能源利用效率。因此,本文选取全要素能源效率作为被解释变量,并采用包含非期望产出的超效率SBM模型对其进行测度。参考现有研究[10],在测算tfpe时,本文使用的投入和产出指标分别为:
①投入指标从人力、资本和能源投入3个方面选取,分别利用年末从业人员总量、资本存量和能源消费总量衡量。其中,资本存量利用固定资产形成总额进行计算[30]
②产出指标分为期望产出和非期望产出指标。期望产出用实际GDP来衡量,本文以2005年为基期,利用居民消费价格指数来计算实际GDP。非期望产出选取CO2排放量,具体计算方法是采用碳排放系数法,将煤炭、焦炭、原油等9种主要消耗能源按各自折算系数转化成标准煤。

2.2.2 核心解释变量

用能权交易试点政策( t r e a t · p o s t)。本文将2017年视为政策开始的元年,当 y e a r 2017时, p o s t = 1;当 y e a r 2017时, p o s t = 0。当省份为浙江、福建、河南和四川时, t r e a t = 1;当省份为其他省份时, t r e a t = 0

2.2.3 中介变量

根据前文理论假说,本文选取以下中介变量:
①能源消费结构转型:本文利用煤炭消费量占能源消费总量的比例(soec1)和能源消费结构低碳化水平(soec2)来衡量。能源消费结构低碳化水平借鉴柳亚琴等的研究[31]进行指标构建。
②产业结构升级:本文利用产业结构合理化和产业结构高级化来度量。其中,产业结构合理化(stru1)采用泰尔指数的倒数衡量[32];产业结构高级化数量(stru2)和产业结构高级化质量(stru3),借鉴袁航等的研究[33],利用产业结构的层次系数和劳动生产率的变动系数来刻画。
③绿色技术创新:由于绿色专利申请数量比绿色专利授权数量更能够反映地区绿色技术创新水平,因此本文以各省份人均绿色专利申请数(patent)来表征。

2.2.4 控制变量

为了缓解遗漏变量偏误造成的内生性问题,本文借鉴既有文献[15,20],控制变量选取经济发展、城镇化水平、教育水平、对外开放程度、政府干预、金融发展和环境规制7个指标。其中,经济发展(pgdp)用人均实际GDP的对数来表示;城镇化水平(urb)用城镇常住人口与总常住人口之比表示;教育水平(edu)用大专以上受教育人数与总常住人口之比表示;对外开放程度(open)运用进出口总额与GDP的比值来衡量;政府干预(gov)用地方财政一般预算支出与GDP的比值表示;金融发展(fin)利用年末存贷款余额与GDP的比值来衡量;环境规制(ern)利用工业污染治理完成投资与GDP的比值表示。
考虑数据可获得性,本文选取中国30个省、自治区、直辖市(以下简称“省份”)作为研究样本,不包括西藏和港澳台地区。数据来源于EPS数据库、《中国统计年鉴》《中国能源统计年鉴》和各省份统计年鉴等。“十一五”规划纲要将提高资源利用效率首次纳入经济发展的主要目标,因此本文选取2006—2021年为研究期。

3 结果与分析

3.1 全要素能源效率变化趋势

本文运用超效率SBM和Malmquist生产率指数,测算2006—2021年中国30个省份的全要素能源效率。从图1中2006年与2021年空间分布对比可知:①大多数省份的全要素能源效率出现下降的趋势。具体而言,相较于2006年,2021年30个省份的全要素能源效率的均值由0.6986下降为0.5579,下降了20.14%,其中非试点省份的均值由0.6992下降为0.5472,下降了21.74%。从试点省份来看,福建下降14.62%,河南下降24.79%,而浙江仅下降0.14%,四川则略升0.86%,因此,浙江和四川的变化相对不明显。②全要素能源效率空间差异显著,主要表现为高能效省份多集中在沿海地区,低能效省份主要分布在非沿海地区 。以2006年为例,沿海省份的全要素能源效率为0.9141,高出非沿海省份54.72%。③省份排名发生变化。2006年全要素能源效率排名前五的省份分别是北京、广东、上海、天津和广西,且这些省份的效率值均超过了1;排名后五的省份包括内蒙古、吉林、贵州、青海和宁夏。到2021年,前五名变为北京、江苏、广东、浙江和上海,但其中仅有北京、江苏和广东的效率值超过1;排名后五的省份为辽宁、云南、河北、宁夏和青海。由此可见,北京、广东和上海等地凭借其丰富的资源、发达的经济和先进的科技创新能力,其全要素能源效率常年保持在全国前列;而青海、宁夏等地则持续处于较低水平。
图1 中国各省份全要素能源效率的变化

注:基于自然资源部标准地图服务网站下载的审图号为GS(2024)0650号的标准地图制作,底图边界无修改。

Fig.1 The tfpe spatial distribution map of all provinces in 2006 and 2021

图2为试点和非试点省份全要素能源效率平均值的时间趋势图。非试点省份的全要素能源效率均值在0.5~0.7区间内,呈现出逐年下降的趋势。这可能与近年来中国工业化进程的加速导致的资源过度消耗与浪费,以及日益严峻的环境污染问题密切相关。相比之下,试点省份福建和浙江的全要素能源效率均高于非试点省份的平均水平,其数值在0.7~0.9间波动。其中,福建在2016年出现了一个转折点,随后在2017年实现了显著提升;河南和四川的全要素能源效率在2017年之前均低于非试点省份的平均值,但两者均在2016年呈现出上升趋势,与福建的拐点相似。从图2信息还可初步推测,试点省份2017年效率大幅提升,可能与2016年7月《试点方案》的出台有关,后续研究将进一步验证。然而,值得注意的是,自2019年起,4个试点省份与非试点省份的效率均值都出现了下降趋势,这可能与新冠疫情、石油危机以及外贸出口受阻等经济下行因素导致的阶段性影响有关。
图2 2006—2021年试点和非试点省份均值的全要素能源效率变化趋势

Fig.2 The tfpe trends of pilot provinces and the mean of non-pilot provinces, 2006-2021

3.2 政策影响效果与检验

3.2.1 DID估计结果

为精准选择模型,本文在回归估计前通过Hausman检验判断选用固定效应还是随机效应模型。检验结果显著拒绝随机效应模型假设,故而选取固定效应模型估计。表1中,模型1为仅控制时间和省份固定效应;模型2为加入经济发展等控制变量并控制省份固定效应;模型3为加入控制变量和时间固定效应;模型4为加入控制变量、同时控制时间和省份固定效应,以期控制可能会出现的结果偏误。表2中,模型1~模型4的用能权交易试点政策交互项的回归系数均显著为正,显示无论是否添加其他影响因素,该政策均显著促进全要素能源效率提升。其中模型4的政策交互项的估计系数为0.0530,即试点政策使试点省份全要素能源效率较非试点省份提高5.30%。由此验证假说1成立。
表1 DID基准估计结果

Tab.1 The estimated results of the DID

模型1 模型2 模型3 模型4
tfpe tfpe tfpe tfpe
treat·post 0.0609*** 0.0350** 0.0587*** 0.0530***
pgdp -0.1074*** 0.1212*** 0.0773*
urb 0.6181*** 0.7046*** 1.0132***
edu -0.2048 0.3972*** 0.3368**
open 0.0073 -0.0260 -0.0796***
gov -0.2412*** -0.4412*** -0.3254***
fin -0.0410*** 0.0287** 0.0108
ern 1.2627 -1.7386 0.2827
_cons 0.6986*** 1.5953*** -0.7757** -0.4603

注:*、**、***分别表示在10%、5%和1%的显著性水平上显著;为节省版面,标准误不显示。表2~表5同。

表2 稳健性检验

Tab.2 Robustness checks

模型1 模型2 模型3 模型4 模型5 模型6 模型7 模型8
替换
被解释变量
1∶3近邻匹配 1∶4近邻匹配 1∶5近邻匹配 政策时间
滞后1年
政策时间
滞后2年
删除
排污权省份
删除
碳排放权省份
treat·post 0.1080*** 0.0361* 0.0489** 0.0349* 0.0494*** 0.0426** 0.0839*** 0.0530***
pgdp 0.9078*** -0.4511*** -0.2136* -0.1800 0.0733* 0.0714* 0.1079** 0.1319***
urb -1.0790*** 0.4574 0.5933 2.0140*** 1.0190*** 1.0281*** 0.5073** 0.4689**
edu 0.1625 0.6584 1.0088** 0.7932* 0.3161* 0.2992* 0.0111 0.4067**
open -0.1597*** -0.0746 -0.1089 -0.3859*** -0.0799*** -0.0810*** -0.0052 -0.4850***
gov -0.7876*** -2.0526*** -0.4480 -0.5031 -0.3220*** -0.3170*** -0.1696* -0.2748***
fin 0.0522** -0.0153 -0.0410 -0.0171 0.0078 0.0054 0.0343** 0.0237*
ern 3.3430 -16.8135 -2.9631 -4.0961 0.4209 0.6122 -5.3741 0.4570
_cons 0.7247 5.4041*** 2.7119** 1.8317* -0.4165 -0.3962 -0.5917 -0.7210**

3.2.2 平行趋势检验

使用双重差分模型的一个重要前提是满足平行趋势假定,即若处理组未受到政策冲击,处理组与对照组的全要素能源效率有一致的时间变动趋势,因此本文需要对样本进行平行趋势检验。为验证平行趋势假定,并分析在不同时间段受到的政策冲击的影响,本文借鉴Jacobson等提出的事件研究法对动态效应进行研究[34],具体公式如下:
t f p e i t = α 0 + - 4 j 4 δ j t r e a t i · p o s t t - j + β X i t + μ i + γ t + ε i t
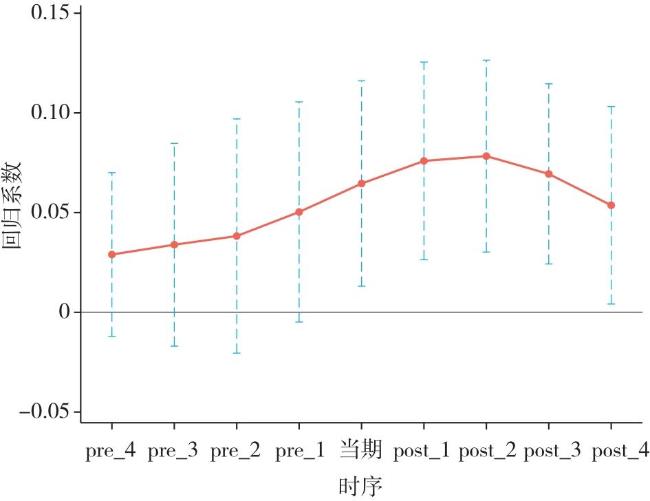
式中: p o s t t - j表示政策实施前后第 j年的虚拟变量,其他变量与式(1)一致。为方便分析,在90%的置信区间上给出动态变化趋势图。图3为全要素能源效率在政策前后4年的动态变化趋势图,以政策时点pre_4前的所有期作为检验的基准期。在用能权交易试点政策实施前,每年政策交互项的回归系数都不显著,因此本文的研究满足平行趋势假定。在政策实施后估计系数显著为正,因此可以进一步说明用能权交易试点政策对全要素能源效率具有显著积极影响。
图3 平行趋势检验

Fig.3 The parallel trend test

3.2.3 安慰剂检验

安慰剂检验的原理是,若全要素能源效率变化并非源于用能权交易试点政策,而是其他因素,那么假设非试点省份实施该政策时,模型回归应能得出显著结果;反之,则认为全要素能源效率的提高是受到试点政策的冲击效应的影响。基于此,本文采用反事实方法进行安慰剂检验。具体方法为从全部样本中随机抽取4个样本作为假设的政策冲击样本,构建政策交互项进行DID估计。为增强分组随机性说服力,本文将上述过程重复1000次,并将1000次抽样所得的系数估计值的分布绘制成图。结果显示,随机抽取的政策交互项的系数估计值的均值非常接近于0,且远小于本文基准回归估计所得的结果。同时,这些估计系数的分布与正态分布接近,且在1000次回归结果中约有95%未通过10%的显著性检验水平。这表明基准回归中试点政策对全要素能源效率的显著影响并非由其他未观测到的因素所驱动,从而证实了基准回归结果的稳健性。

3.2.4 稳健性检验

为强化用能权交易试点政策对全要素能源效率的检验,本文采用替换被解释变量和PSM-DID模型等来进行稳健性检验:
①将被解释变量替换为单要素能源效率,本文采用单位能耗GDP的对数作为其衡量指标。表2模型1的政策交互项的回归系数显示,试点政策显著提升了单位能耗GDP,且该回归系数与基准回归系数相差不大。
②为减少自选择问题带来的内生性和估计偏差,本文使用倾向评分匹配(PSM)与DID结合的方法进行稳健性检验:首先,利用最近邻匹配法(匹配比分别为1∶3、1∶4和1∶5),将控制变量作为协变量进行logit回归,找出与处理组尽可能相似的省份,并将这些省份设定为对照组。其次,利用DID方法估计匹配后处理组和对照组的差异。倾向得分匹配法需要满足样本条件独立假设,因此在进行PSM-DID回归前需要通过平衡性检验。结果显示,协变量匹配后的标准偏差(%bias)结果的绝对值基本小于10%,这表明匹配结果可信。PSM-DID的回归结果见表2中模型2~模型4,表明用能权交易试点政策依然显著促进全要素能源效率,且交互项系数与基准回归的系数接近,因此基准回归结果稳健。
③本文将2017年视为政策元年,但政策落地与生效可能存在一定的延后性。为了检验政策延后效应对本文的研究结论是否产生影响,本文将试点省份的政策时间滞后一年和两年重新进行回归检验(表2模型5和模型6)。结果表明,当政策时间滞后一年和两年后,政策交互项的回归系数依然显著为正,说明回归结果稳健。
④鉴于排污权和碳排放权均有可能对全要素能源效率产生潜在影响,本文进行了剔除其他政策干扰的检验,以确保研究结果的准确性和可靠性(表2模型7和模型8)。结果表明,在删除排污权省份和碳排放权省份的样本后,政策交互项的回归系数依然显著为正。

3.3 影响机制检验

上述研究表明,用能权交易试点政策对全要素能源效率有显著正向作用。为了验证假说H2~H4,本文从能源消费结构转型、产业结构升级和绿色技术创新3个方面选取变量进行分析(表3表4)。
表3 能源消费结构转型和绿色技术创新的机制检验

Tab.3 Mechanism discussions of energy consumption structure and green technology innovation

模型1 模型2 模型3 模型4 模型5 模型6
soec1 tfpe soec2 tfpe patent tfpe
treat·post -0.0567*** 0.0514*** 0.1383*** 0.0419*** 0.4170** 0.0492***
soec1 -0.1233**
soec2 0.0805***
patent 0.0091**
pgdp -0.0703** 0.1932*** -0.1946** 0.0929** 0.6044 0.0718*
urb 0.0410*** 0.0301** 0.2261 0.9950*** -7.9467*** 1.0854***
edu -0.0090 0.1382 0.3541 0.3083* 14.8009*** 0.2022
open 0.0271 0.0087 -0.2277*** -0.0613** -4.2518*** -0.0409
gov 0.2805*** -0.2728*** -0.1119 -0.3164*** -0.2577 -0.3230***
fin -0.0302*** 0.0138 -0.0233 0.0126 -0.4242** 0.0146
ern 0.0045 -2.7395 9.8192 -0.5076 66.4173* -0.3215
_cons 1.1181*** -1.1072*** 7.2444*** -1.0433*** -0.2312 -0.4582
表4 产业结构升级的机制检验

Tab.4 Mechanism discussions of industrial structure

模型1 模型2 模型3 模型4 模型5 模型6
stru1 tfpe stru2 tfpe stru3 tfpe
treat·post 1.4049*** 0.0524*** 0.0261*** 0.0486*** 1.0788*** 0.0406***
stru1 0.0005
stru2 0.1704*
stru3 0.0115***
pgdp -1.7850*** 0.0781* -0.0583*** 0.0872** 6.0392*** 0.0077
urb -1.6424 1.0139*** -0.1259 1.0346*** -18.8439*** 1.2301***
edu -5.7710** 0.3395** -0.1698** 0.3658** 19.9296*** 0.1074
open -0.5503 -0.0794*** 0.0423*** -0.0868*** -4.7416*** -0.0250
gov 0.9722 -0.3258*** 0.0307 -0.3306*** -7.0388*** -0.2443***
fin 0.0047 0.0107 0.0030 0.0102 -0.7077** 0.0189
ern 60.2086 0.2553 0.3966 0.2151 32.0578 -0.0865
_cons 18.7187*** -0.4688 2.8866*** -0.9521** -40.5093*** 0.0061
在能源消费结构转型方面,本文利用煤炭消费量占比(soec1)和能源消费结构低碳化水平(soec2)来衡量。表3中,模型1是以soec1作为被解释变量的回归模型,结果显示政策交互项的系数在1%的显著性水平下显著为负,说明试点政策可以显著降低煤炭消费占比;模型2在基准回归中加入soec1这一变量,结果显示试点政策和降低煤炭消费占比均显著提高全要素能源效率;模型3是以soec2作为被解释变量的回归模型,结果显示政策交互项的系数在1%的显著性水平下显著为正,说明试点政策可以显著促进能源消费结构低碳化水平;模型4在基准回归中加入soec2这一变量,结果显示试点政策和能源消费结构低碳化水平均在1%的显著性水平下显著为正。综上表明,用能权交易试点政策可以通过降低煤炭消费量占比、促进能源消费结构低碳化提高全要素能源效率,假说H2得到验证。
从绿色技术创新视角来看,表3中模型5和模型6对这一机制进行了探讨。其中,模型5是以绿色技术创新(patent)为被解释变量的回归模型,结果显示政策交互项的系数在5%的显著性水平下显著为正,说明试点政策可以显著促进绿色技术创新;模型6在基准回归中加入绿色技术创新这一变量,结果显示试点政策和绿色技术创新的系数均显著为正。由此说明用能权交易试点政策通过提高绿色技术创新促进全要素能源效率,假说H3得到验证。
在产业结构升级方面,本文采用产业结构合理化(stru1)和产业结构高级化来衡量。其中,产业结构高级化由产业结构高级化数量(stru2)和产业结构高级化质量(stru3)来衡量。表4中,模型1是以stru1为被解释变量的回归模型,结果显示政策交互项的系数在1%的显著性水平下显著为正,说明试点政策可以显著促进产业结构合理化;模型2在基准回归中加入stru1这一变量,结果表明产业结构合理化对全要素能源效率未产生显著影响,因此试点政策无法通过促进产业结构合理化提升全要素能源效率;模型3是将stru2作为被解释变量的回归模型,结果显示试点政策可以促进产业结构高级化的数量;模型4在基准回归中分别加入stru2,结果发现模型4中的stru2和政策交互项的系数均显著为正;模型5是将stru3作为被解释变量的回归模型,结果显示试点政策可以促进产业结构高级化的质量;模型6在基准回归中分别加入stru3,结果发现模型6中的stru3和政策交互项的系数均显著为正。由此表明,用能权交易试点政策可以通过促进产业结构高级化的数量和质量来提升全要素能源效率,假说H4得到验证。

3.4 试点省份的政策异质性分析

3.4.1 试点省份的政策效果

中国幅员辽阔,各省份间发展差异明显,为避免估计偏差需对区域差异进行控制。因此,本文利用合成控制法来考察每个试点省份的政策效果。图4分别展示了福建、浙江、河南和四川4个试点省份在政策实施前后全要素能源效率的实际值与合成值的变化趋势。①福建的合成值由以下省份的权重构成:天津(0.087)、山东(0.257)、广东(0.213)、广西(0.122)和湖南(0.321)。若福建未实施试点政策,其2017年的全要素能源效率预测值为0.6758(真实值为0.7173)。因此,在政策实施当期,福建的全要素能源效率在该政策的影响下提高了6.1409%。②浙江的合成值由上海(0.050)、北京(0.066)、天津(0.044)、山东(0.501)、广东(0.036)和江苏(0.302)的权重构成。若浙江未实施试点政策,其2017年的全要素能源效率预测值为0.8288(真实值为0.8385)。因此,2017年浙江的全要素能源效率在该政策的影响下提高了1.1704%。③河南的合成值由安徽(0.073)、广西(0.031)、河北(0.296)、湖南(0.552)和贵州(0.047)的权重构成。若河南未实施试点政策,其2017年的全要素能源效率预测值为0.4964(真实值为0.5161)。因此,2017年河南的全要素能源效率在该政策的影响下提高了3.9686%。④四川的合成值由吉林(0.186)、山东(0.041)、湖北(0.346)、甘肃(0.405)和贵州(0.022)的权重构成。若四川未实施试点政策,其2017年的全要素能源效率预测值为0.5394(真实值为0.5624)。因此,2017年四川的全要素能源效率在该政策的影响下提高了4.2640%。
图4 用能权交易试点省份全要素能源效率的真实值与合成值

Fig.4 The true value and synthetic value of tfpe in pilot provinces

图4还可看出,在2017年前,4个省份全要素能源效率的真实值和合成值曲线的走势高度吻合,拟合效果良好。在2017年后,福建和四川的真实值曲线开始明显偏离合成值曲线,并且真实值一直高于合成值。相比之下,河南的真实值虽然也一直高于合成值,但在2020年开始出现下降趋势。浙江的情况则略有不同,其真实值仅略微高于合成值,并且在2020年,浙江的真实值也呈现出下降趋势,甚至低于合成值。综上所述,用能权交易试点政策对试点省份的全要素能源效率的影响存在异质性。具体而言,福建受政策的影响程度最大,其次是四川,河南相对最小。虽然浙江在短期内也受到了该政策的影响,但其影响并不显著。其主要原因在于浙江采用了“以增量带动存量”的试点路径,该路径主要将交易范围限定在新增高耗能用能项目上,而未将高耗能行业中的所有增量与存量企业均纳入考察范围,从而使得试点覆盖面相对较窄,难以全面反映和有效推动整个行业的能源效率提升。

3.4.2 政策效应的稳健性检验

为了进一步验证试点省份全要素能源效率的提升是源于用能权交易试点政策而非其他因素,本文利用Abadie等提出的方法[35]进行安慰剂检验。首先,假设样本中的26个对照组在2017年分别开始实施试点政策,利用合成控制法得到这26个省份的反事实政策效果。其次,由于合成控制法使用的前提是政策实施前的拟合效果好,因此本文剔除2017年前拟合不理想的省份(即RMSPE值比较大的省份)。
图5分别为4个试点省份的安慰剂检验结果,实线代表真实试点省份,虚线代表反事实试点省份,纵坐标为利用合成控制法计算得出的全要素能源效率的真实值与合成值的差值。具体来看,福建和四川的实线处于虚线的上方,这表明试点政策显著提升了这2个省份的全要素能源效率。河南的实线在政策实施初期到2020年前处于虚线的上方,但2020年后河南的全要素能源效率出现大幅下降的趋势。这说明试点政策虽然能够在短期内促进河南的全要素能源效率提升,但其效果并不具有持续性。浙江未通过安慰剂检验,说明试点政策对浙江的全要素能源效率的影响不显著。可能原因是,浙江的全要素能源效率已经处于较高水平且政策的力度有限,导致政策的边际效应不明显。
图5 合成控制法安慰剂检验

Fig.5 Placebo test for synthetic control methods

4 结论与建议

本文以用能权交易试点政策作为切入点,将其视为一项准自然实验,从多个角度探讨了试点政策对全要素能源效率的影响。主要结论如下:①用能权交易试点政策可以显著促进全要素能源效率的提升;②用能权交易试点政策可以通过能源消费结构转型、产业结构升级和提高绿色技术创新3条路径对全要素能源效率产生激励作用;③用能权交易试点政策对不同省份的全要素能源效率的影响存在异质性,其中对福建的影响最大,四川次之,河南最小,对浙江虽短期出现影响但并不显著。
根据以上结论,本文提出以下政策建议:
①完善政策制度,扩大试点范围。首先,政府要优化用能权的配额机制,在全面评估企业能效的基础上对企业用能权指标予以科学合理的分配。其次,用能权交易制度要发挥其市场属性,激发企业自主节能降耗的意识。再次,政府要完善用能权交易制度相关的法律法规,制定权威有效的监管条例和评价标准,实现市场交易的公平透明,为用能权市场化交易提供制度保障。最后,在完善政策制度的基础上,政府应当总结现有成功经验,扩大用能权交易试点范围,在全国范围内建设交易平台。
②重视用能权交易制度的节能提效效应,激发用能权交易制度的机制枢纽,全方位提升全要素能源效率。要通过能源消费结构转型、产业结构升级和绿色技术创新淘汰落后产能,提高清洁能源消费比重,鼓励高效节能生产设备的投资;通过市场竞争倒逼企业加大研发投入、实现绿色技术创新,从而降低用能成本,实现全要素能源效率的提升。
③因地制宜、精准施策。针对试点省份在政策效果上存在的差异性,政府在制定配套政策时必须充分考虑各省份的实际情况,对用能企业进行精准分类与定位,并据此制定具有差异化和针对性的政策方案。此外,政府不仅需要依靠市场机制的调节作用,还需辅以必要的评估与监管手段,以完善政策执行体系。为此,应建立试点省份的政策竞争与效果评估机制,并定期进行汇总评估,以更好地发挥试点政策的示范和推广作用。
[1]
吴朝霞, 曾家豪, 刘泓轩, 等. 绿色金融促进治污减排机制与空间效应[J]. 经济地理, 2023, 43(10):128-138.

DOI

[2]
刘海英, 王钰. 用能权与碳排放权可交易政策组合下的经济红利效应[J]. 中国人口·资源与环境, 2019, 29(5):1-10.

[3]
Jaffe A B, Newell R G, Stavins R N. Technological Change and the Environment[J]. Environmental Resource & Economics, 2000, 22(3):461-516.

[4]
张宁, 张维洁. 中国用能权交易可以获得经济红利与节能减排的双赢吗?[J]. 经济研究, 2019, 54(1):165-181.

[5]
张彩云. 排污权交易制度能否实现“双重红利”?——一个自然实验分析[J]. 中国软科学, 2020(2):94-107.

[6]
黄向岚, 张训常, 刘晔. 我国碳交易政策实现环境红利了吗?[J]. 经济评论, 2018(6):86-99.

[7]
马九杰, 崔怡, 孔祥智, 等. 水权制度、取用水许可管理与农户节水技术采纳——基于差分模型对水权改革节水效应的实证研究[J]. 统计研究, 2021, 38(4):116-130.

[8]
王兵, 赖培浩, 杜敏哲. 用能权交易制度能否实现能耗总量和强度“双控”?[J]. 中国人口·资源与环境, 2019, 29(1):107-117.

[9]
史丹, 李少林. 排污权交易制度与能源利用效率——对地级及以上城市的测度与实证[J]. 中国工业经济, 2020(9):5-23.

[10]
罗世华, 王栋. 碳交易政策对省域全要素能源效率的影响效应[J]. 经济地理, 2022, 42(7):53-61.

DOI

[11]
Li S, Liu J, Shi D. The impact of emissions trading system on corporate energy efficiency:Evidence from a quasi-natural experiment in China[J]. Energy, 2021, 233:121129.

[12]
Du W, Li M, Wang Z. Open the black box of energy conservation:Carbon reduction policies and energy efficiency of microcosmic firms in China[J]. Energy Strategy Reviews, 2022, 44:100989.

[13]
黄和平, 谢云飞. 市场型环境规制促进了工业低碳转型吗?——来自用能权交易的证据[J]. 产业经济研究, 2023(1):58-72.

[14]
Che S, Wang J. Policy effectiveness of market-oriented energy reform:Experience from China energy-consumption permit trading scheme[J]. Energy, 2022, 261:125354.

[15]
薛飞, 周民良. 用能权交易制度能否提升能源利用效率?[J]. 中国人口·资源与环境, 2022, 32(1):54-66.

[16]
史丹. 中国能源效率的地区差异与节能潜力分析[J]. 中国工业经济, 2006(10):49-58.

[17]
Stavins R N. Experience with Market-Based Environmental Policy Instruments[J]. SSRN Electronic Journal, 2003, 1:355-435.

[18]
宋德勇, 陈梅, 朱文博. 用能权交易制度是否实现了环境和经济的双赢?[J]. 中国人口·资源与环境, 2022, 32(11):134-145.

[19]
张伟, 朱启贵, 高辉. 产业结构升级、能源结构优化与产业体系低碳化发展[J]. 经济研究, 2016, 51(12):62-75.

[20]
魏楚, 沈满洪. 结构调整能否改善能源效率:基于中国省级数据的研究[J]. 世界经济, 2008, 363(11):77-85.

[21]
曾胜, 靳景玉. 能源消费结构视角下的中国能源效率研究[J]. 经济学动态, 2013(4):81-88.

[22]
Bilgen S. Structure and environmental impact of global energy consumption[J]. Renewable and Sustainable Energy Reviews, 2014, 38:890-902.

[23]
林伯强, 刘希颖, 邹楚沅, 等. 资源税改革:以煤炭为例的资源经济学分析[J]. 中国社会科学, 2012(2):58-78,206.

[24]
岳立, 曹雨暄, 王宇. 能源政策的区域碳减排效应[J]. 资源科学, 2022, 44(6):1105-1118.

DOI

[25]
于斌斌. 产业结构调整如何提高地区能源效率?——基于幅度与质量双维度的实证考察[J]. 财经研究, 2017, 43(1):86-97.

[26]
刘伟, 张辉, 黄泽华. 中国产业结构高度与工业化进程和地区差异的考察[J]. 经济学动态, 2008(11):4-8.

[27]
Li K, Lin B. How to promote energy efficiency through technological progress in China?[J]. Energy, 2018, 143:812-821.

[28]
张平淡, 屠西伟. 制造业集聚、技术进步与企业全要素能源效率[J]. 中国工业经济, 2022(7):103-121.

[29]
刘自敏, 黄敏, 申颢. 中国碳交易试点政策与绿色技术进步偏向——基于城市层面数据的考察[J]. 产业经济评论, 2022(1):201-219.

[30]
单豪杰. 中国资本存量K的再估算:1952-2006年[J]. 数量经济技术经济研究, 2008, 25(10):17-31.

[31]
柳亚琴, 孙薇, 朱治双. 碳市场对能源结构低碳转型的影响及作用路径[J]. 中国环境科学, 2022, 42(9):4369-4379.

[32]
杨骞, 秦文晋. 中国产业结构优化升级的空间非均衡及收敛性研究[J]. 数量经济技术经济研究, 2018, 35(11):58-76.

[33]
袁航, 朱承亮. 国家高新区推动了中国产业结构转型升级吗[J]. 中国工业经济, 2018(8):60-77.

[34]
Jacobson L S, Lalonde R J, Sullivan D G. Earnings losses of displaced workers[J]. The American Economic Review, 1993, 83(4):685-709.

[35]
Abadie A, Diamond A, Hainmueller J. Synthetic control methods for comparative case studies:Estimating the effect of California's tobacco control program[J]. Journal of the American statistical Association, 2010, 105:493-505.

文章导航

/