Evolution and Obstacle Diagnosis of Agricultural Industry Chain Resilience in Wuling Mountains at the County Level

  • YANG Jian , 1, 2, 3 ,
  • CHEN Jiaheng , 1,
Expand
  • 1. School of Economics and Management, Tongren University, Tongren 554300,Guizhou, China
  • 2. Engineering Research Center of Intelligent Monitoring and Policy Simulation of Mountainous Territorial Space, Higher Education Institutions of Guizhou Province, Tongren 554300,Guizhou, China
  • 3. Laboratory of Agricultural (Rural) Development and Ecological Governance in Qiandong, Tongren 554300,Guizhou, China

Received date: 2025-08-15

  Revised date: 2025-12-05

  Online published: 2026-02-04

Abstract

Enhancing the resilience of county-level agricultural industry chains is crucial for safeguarding the overall agricultural industry chain security. Taking 71 counties of Wuling Mountains as the research object, and employing the methods of the Dagum Gini coefficient, kernel density estimation, Markov chains, and obstacle degree model, this study assesses the resilience level of their agricultural industry chain from 2010 to 2023, and analyzes their regional disparities, evolutionary trends, and inhibiting factors. Findings indicate that: 1) The resilience of the agricultural industry chain in research area showed an overall upward trend, but there is still significant potential for improvement. The spatial pattern was characterized by gradient differentiation and polarization, with a pronounced Matthew effect of "the high-value areas getting higher and the low-value areas getting lower" and highlighting notable path dependence. 2) Over the study period, disparities between regions showed a gradual narrowing trend. The primary spatial source of differences was identified as hypervariable density, and cross-regional collaboration was still insufficient. 3) It's difficult to achieve balanced development in the short term, and there was a distinct "club convergence" feature within the fixed geographical scope. Progress in agricultural industry chain resilience tended to occur incrementally, and the risk of downward transfer needs to be prevented. 4) Enhancing the resilience, recovery ability and re-creation ability is the key breakthrough point for improving the resilience of the county-level agricultural industrial chain in Wuling Mountains. At the same time, consolidating a twofold foundation of talent development and seed industry is essential to underpin the high-quality development and sustainable development. In the future, within a multi-level framework of differentiated governance at the county level, coordinated collaboration among provinces, and alignment with national strategies, it should promote the construction of the resilience of agricultural industrial chain in county-level areas of Wuling Mountains, and thereby achieve the establishment of mechanisms and policy guarantees for the entire industrial chain and value chain of characteristic agriculture in rural areas.

Cite this article

YANG Jian , CHEN Jiaheng . Evolution and Obstacle Diagnosis of Agricultural Industry Chain Resilience in Wuling Mountains at the County Level[J]. Economic geography, 2025 , 45(12) : 166 -177 . DOI: 10.15957/j.cnki.jjdl.2025.12.017

提升农业产业链韧性是应对不确定性风险冲击和链式困境、保障农业产业安全与经济安全及建设农业强国的内在要求[1-2]。党的十八大以来,我国坚持稳中求进,虽受疫情与经济波动冲击,2020年第一季度GDP大幅下降,但第二季度即率先回升[3];2022年粮食产量也保持增长[2]。党的二十大和二十届三中全会均强调需提升产业链韧性和安全水平。《加快建设农业强国规划(2024-2035年)》明确要推动产业链供应链价值链延伸拓展,壮大县域富民产业。农业产业链韧性关乎农业产业体系抗风险能力与发展稳定,是衡量农业强国建设成败的关键。
农业产业链韧性是指系统在遭遇冲击时,通过适应调整维持生存发展的能力[4],能迅速恢复并保持稳定[5],呈现“脆而不折、弱而不怠”的特性[6]。亦有学者将其归纳为断裂、冲击、演化韧性[7];或分解为抵抗、恢复、创新力[8-10]。此概念融合韧性的动态适应与产业链的价值联结特性,对其研究是风险治理的客观需求,其形成受政策、资源、市场与外部扰动共同作用[2,8]。在武陵山区这类多省交界、多民族聚居区,地理异质性、政策梯度与突发事件的冲击,加剧该地区农业产业链韧性的空间分异[9-12]。因此,本文在测度其水平并分析空间差异的基础上,探究韧性演变与外部冲击的响应机制,以深化理解。
现有研究多沿用非农领域方法,如核心变量法、综合评价法与投入产出法。三者思路迥异,结论常难比较[13]。具体来说,核心变量法应用普遍[14],但单一指标难以反映系统多维特征;综合评价法可刻画多维韧性[9,11],但其指标选取主观,且难以揭示微观层面抵御、恢复、再造等能力的动态过程;而投入产出法则多用于产业关联分析[15],其基于均衡视角建模[13],与实际冲击的非均衡性常不符。可见,各方法均有局限,有待整合。此外,该韧性是一个复杂系统,并非环节简单叠加或“自构”[16],常体现为多维度韧性间交叉作用,故需考虑系统关联并识别关键障碍因子。现有研究多聚焦省域[9,17],缺乏县域尺度的动态观测;同时因素识别多限于单因子分析[18-20],缺乏对系统阻力模式的客观诊断。此外,已有研究多关注发达地区或宏观层面[9,17],对欠发达地区多维能力的中观分析不足。
武陵山区包括湖北、湖南、重庆、贵州4省市交界地区的71个县(市、区)(以下简称“县域”),具有少数民族聚居、区域协作枢纽属性,是欠发达地区的典型代表,研究其农业产业链韧性具有现实意义。基于韧性“动态适应”本质,本文以“抵御—恢复—再造”概念模型为框架,以武陵山区为研究对象,构建评价体系,用熵权TOPSIS法确定权重,并综合运用Dagum基尼系数、核密度估计、马尔可夫链、障碍度模型及最小方差法,从相对差异、绝对差异、演进特征、障碍因子及系统阻力模式等角度分析其韧性演变特征及外部冲击响应机制,以期为类似地区农业产业链发展提供参考依据。

1 研究设计

1.1 概念模型与指标体系

为解析农业产业链韧性的“动态适应”内涵,需将其理论概念转化为可观测、可分析的操作维度。本文将农业产业链韧性定义为面临风险时抵御、恢复与再造三大能力的综合体现。其中,抵御能力反映受冲击后产业链的收缩幅度[21],可分解为跨省政策资源协同、山地灾害与市场波动应对以及区域协作竞争等能力,用以体现吸收冲击、维持功能并防止过度衰退的特征。恢复能力需兼顾经济效益与脱贫巩固期常牺牲自然资源的现实[22],从农膜、化肥、农药施用强度及山地生产设施与商贸流通保障水平等方面评估,以反映农业产业链功能稳定性。再造能力强调产业链受冲击后,通过市场、金融、政府与创新等协同实现修复进化[17],并能寻找机遇向更高水平发展,本质是从被动恢复到主动超越的跃迁。在武陵山区,再造能力尤为关键,体现为引入山地农业新要素,将发展动能从依赖传统资源转向创新驱动。该过程不摒弃传统,多民族聚居区积累的乡土知识、生态种养模式及地方物种资源,可作为现代技术要素导入的基础,促进产业创新更具地域适应性与可持续性。根据改造传统农业理论,引入新生产要素可能形成创造性破坏[8],从而将破坏动能转化为再造能力。由此可见,农业产业链韧性系统以抵御能力为基础、恢复能力为核心,通过再造能力协同实现动态跃迁与功能超越,三者构成逐级递进、循环强化的闭环。基于此,借鉴已有研究[12],本文将韧性提升分为三阶段:抵御阶段聚焦即时应对;恢复阶段侧重短期复位;再造能力阶段推动长期进化,可能引致韧性下降、停滞或提升,并反作用于前续能力(图1)。前一阶段能力是后一阶段的必要非充分条件。例如,缺乏有效抵御将增加恢复成本;恢复不足则再造能力失去根基。
图1 农业产业链韧性提升的概念模型

Fig.1 Conceptual model for enhancing the agricultural industry chain resilience

依据上述概念模型并参考现有研究,本文构建包含3个子系统、25项指标的农业产业链韧性评价体系(表1)。针对农业贡献率,虽有研究将“农业总产值/GDP”视为“恢复能力”的指标[7,17,22,24],认为第一产业占比高易形成紧密产业链[28],但依据配第—克拉克定理等经典理论,该指标反映产业结构初级化,不宜直接衡量恢复能力。故本文借鉴相关研究[4,9-11,20],采用第一产业增加值增长率,以更直接反映冲击后生产恢复水平。此外,再造能力子系统中,环境规制力度的机制在于工业污染治理投资可通过减少污染转移保障农业生产环境安全,进而提升绿色生产能力。该路径经“强波特假说”及污染溢出研究证实[29-30],与再造能力显著关联。其余指标均基于文献与区域实际选取。为降低变量遗漏风险,综合考虑指标复杂性、可获性及科学性,均采用相对性指标,以提升区域可比性,并兼顾武陵山区71个县域在自然、社会经济与资源禀赋等方面的差异。
表1 农业产业链韧性综合评价指标体系及说明

Tab.1 Comprehensive evaluation index system and description for agricultural industry chain resilience

系统 评估目标 指标层 指标说明 权重 文献来源 代码



协同发展能力 产业服务化水平 农林牧渔服务业增加值/第一产业增加值 0.0472 [49-1117] A1
乡村非农就业比 第二、三产业从业人员/乡村就业总人数 0.0365 [417] A2
农旅融合水平 休闲农业营业收入/第一产业增加值 0.0379 [9-1017] A3
风险控制能力 风险分担力度 农业保险保费收入/农作物播种面积 0.0247 [1117] A4
农用资料价格波动水平 农业生产资料价格波动水平 0.0263 [1724] A5
农产品价格波动水平 农产品生产价格波动水平 0.0259 [1724] A6
种植业生产价格指数 种植业产品生产价格指数 0.0393 [2025] A7
市场竞争能力 农业经营主体密度 区域内第一产业法人单位数占比 0.0461 [1724] A8
区内农产品市场集中度 区域内农产品市场交易额占比 0.0337 [1724] A9



经济效益水平 农业贡献率 第一产业增加值增长率 0.0666 [49-1120] B1
农产品加工规模 农产品加工业主营业务收入 0.0402 [1017-18] B2
供给保障水平 农膜施用强度 农用塑料薄膜使用量/播种面积 0.0325 [471218-2022-2327] B3
化肥施用强度 农用化肥施用量/播种面积 0.0275 [41218-2022-23] B4
农药施用强度 农药使用量/播种面积 0.0782 [471218-2022-23] B5
农田建设投入水平 农田基本建设作业量 0.0387 [7917-18] B6
农村电商发展水平 淘宝村数量/行政村数量 0.0277 [81017] B7



市场协同能力 谷物总产值增长率 (当期谷物总产值-上期谷物总产值)/上期
谷物总体产值
0.0264 [1820] C1
农产品国际贸易活跃度 农产品进出口总额/农业总产值 0.0481 [12182027] C2
金融协同能力 涉农贷款深度 涉农贷款余额/当地同期GDP 0.0332 [1724] C3
数字金融指数 数字普惠金融指数 0.0317 [8101217] C4
政府协同能力 财政支农力度 农林水事务支出/地方财政支出 0.0355 [479-1117-1823-24] C5
乡村人均固定资产投资 农林牧渔业固定资产投资额/乡村人口 0.0401 [471123] C6
环境规制力度 工业污染治理完成投资额/工业增加值 0.0331 [1726-27] C7
创新协同能力 农业研发人才投入水平 农业R&D全时人员当量 0.0626 [710-1217-1820] C8
种业科技支撑能力 农业植物新品种申请数 0.0603 [1117-18] C9

1.2 数据来源及研究方法

本文数据源于湖南、湖北、重庆、贵州4省市2010—2023年统计年鉴、相关县域财政与环保部门数据,以及EPS、Wind等数据库。本文选取2010年为起始点主要基于两点考虑:一是2010年后《武陵山片区区域发展与扶贫攻坚规划(2011—2020年)》等国家政策相继实施,为观察政策干预下产业链韧性演变提供完整周期;二是此时4省市相关统计指标体系已趋规范,利于数据可比与连续。个别缺失数据用线性插值法补齐;数据分析与图表绘制通过MATLAB R2024a、Origin 2024、ArcGIS完成。
为揭示武陵山区农业产业链韧性的时空演进机制,本文构建“水平测度—差异分解—动态演进—障碍诊断”分析框架,采用熵权TOPSIS法进行综合测度[11,20-23],运用Dagum基尼系数分解总体差异来源[20,23,27];通过核密度估计刻画韧性分布的演变[12,17,23],利用马尔可夫链及其空间拓展识别韧性等级转移的路径依赖与邻域溢出[21-23,27,32];借助障碍度模型与最小方差法诊断关键指标与系统阻力模式[12,20,31]。无量纲化处理及综合得分的计算可参见相关文献[11,20-23]。其中系统层障碍度分析引入最小方差法诊断系统阻力模式。理论上,韧性提升受3个子系统不同组合影响,其单系统、双系统、三系统阻力模式的理论分布值依次为(1,0,0)、(1/2,1/2,0)和(1/3,1/3,1/3)。方差最小时,实际分布最接近理论分布,对应类型即为当前系统阻力模式。

2 结果分析

2.1 武陵山区农业产业链韧性的水平测度

2.1.1 县域农业产业链韧性整体的时序演变分析

图2展示了武陵山区农业产业链韧性水平。时序上,综合得分从2010年的0.4330升至2023年的0.4965,整体增幅为14.67%,年均增幅1.03%,表明该地区在抗风险、系统修复、结构升级方面取得一定成效,但仍有提升空间。分片区看,湖南与湖北两省所属片区韧性明显高于其他片区。其中,湖南片区得分始终最高,从2010年的0.4345稳步提升至2023年的0.4996;其与湖北片区均持续领先(图2a)。这主要源于湖南、湖北作为农业大省,拥有更优的地理条件、更完善的产业基础以及更先进的科技体系,利于提升产业链价值链协同与抗风险能力。
图2 2010—2023年武陵山区县域农业产业链韧性综合得分

Fig.2 Comprehensive scores of county-level agricultural industry chains resilience in Wuling Mountains (2010-2023)

从3个维度看,样本期内抵御能力明显高于其他能力,2012年后保持平稳增长(图2b),反映出特色农产品布局、绿色食品认证、农业集群培育等政策在该区域取得较好效果。具体而言,综合得分变化趋势与恢复能力较接近,而再造能力在2015—2018年增长最快,2018年后逐渐接近综合得分。总体看,武陵山区农业产业链韧性及其3个维度均呈现多维非均衡发展特征。深层原因在于,区域资源禀赋分异是固有基础,而跨省协调机制不完善导致的政策执行梯度与基础设施滞后,进一步强化要素流动壁垒,制约乡村特色农业在全产业链与全价值链上的协同效率提升。

2.1.2 县域农业产业链韧性各维度时序差异分析

图3可知,2010—2023年武陵山区四片区农业产业链韧性各维度表现存在差异。总体看,湖南片区在三维度上变动平稳,表现最好。在抵御能力方面,湖北片区水平和增速均领先,湖南片区随后,贵州和重庆片区居后。这主要得益于湖北在产业基金、标准化基地、绿色技术等方面的长期投入,并通过培育特色集群、科技帮扶等措施增强抵御能力。
图3 2010—2023年武陵山四片区县域农业产业链韧性分维度得分的变化趋势

Fig.3 Change trends in dimensional scores of four sub-regions in the agricultural industry chain resilience of Wuling Mountains at the county level (2010-2023)

在恢复能力方面,湖南片区明显优于其他片区,湖北片区次之,重庆与贵州片区相对滞后。贵州片区自2018年起恢复能力提升,差距缩小并曾短暂赶超湖北和重庆片区,主要受益于脱贫攻坚政策及社会多方支持。该片区少数民族聚居,林下经济、特色种养等与传统生计结合紧密,地方性知识在政策扶持下易形成内生动力,利于供应链稳定。2022—2023年受极端干旱气候影响,重庆和贵州片区恢复能力得分有所回落。
在再造能力方面,4个片区均呈上升态势。重庆市片区再造能力增幅最大,从2010年的0.3831升至2023年的0.4974,2016年后居首位;贵州省片区则相对滞后。其原因在于,贵州片区在农村金融、数字普惠、三产融合等方面发展不足,尤其在资金整合、产业链金融、研发人才投入上存在短板,制约再造能力提升。这一差异与政策倾斜有关,重庆片区在金融创新、数字普惠、涉农整合等方面改革较多,实践三产融合、供应链金融及政企研合作等机制;而贵州片区虽实施山地特色农业技术推广,但整体成效仍存在差距。
综上,各维度差异是资源禀赋、政策导向与突发事件能力共同作用的结果。湖北高效的灾后应急恢复机制及省级风险分散策略,推动特色产业集群发展,通过政府、企业、社会协同提升抵御能力。相比之下,湖南片区的恢复能力优势则源于水利基础、政策投入与产业链延伸。2016年以来的“造血式”扶贫政策,推动了4个片区再造能力的整体提升。

2.1.3 县域农业产业链韧性空间格局分析

本文利用ArcGIS软件的自然断裂点分级法,将韧性水平划分为低(Ⅰ)至高(V)五类(表2图4)。总体而言,韧性类型从Ⅲ类聚集逐步向Ⅳ类、V类聚集。其中,Ⅲ类及以上县域占比由2010年的66.20%升至2023年的73.24%;2023年Ⅲ类县域较2010年减少3个,V类增至17个,而2020年V类县域仅有7个,呈非均衡极化与梯度跃升共存的特征。空间分布上,Ⅰ类县域主要集中于重庆市片区及贵州省片区北部。2010、2015和2020年贵州德江、思南、印江与重庆酉阳、秀山形成两个韧性洼地,其他6个县域零星分散分布,至2023年分布更为分散。Ⅱ类县域主要位于湖南省片区。2010年石门、慈利、永定、武陵源连片分布,2020年扩展至桑植,形成更大连片区,同年城步、武冈、洞口、隆回、新邵也形成连片区。Ⅲ类县域集中分布在湖南和贵州省片区。从2010年集中集聚,经2015年相对聚集、2020年逐渐聚集,到2023年转为分散。Ⅳ类县域在2010与2020年聚集显著,主要集中于湖南省片区,其中花垣、保靖、龙山、永顺、沅陵、泸溪、溆浦、洪江、绥宁、靖州、通道形成“3”字型带状连片区。V类县域除2020年外,在2010、2015和2023年聚集增强,重心向湖南和湖北片区转移,至2023年两地连成最大连片区。
表2 武陵山区县域农业产业链韧性水平分级统计

Tab.2 Statistical classification of county-level agricultural industry chain resilience in Wuling Mountains

韧性水平类型 2010 2015 2020 2023
得分区间 县域数量(个) 得分区间 县域数量(个) 得分区间 县域数量(个) 得分区间 县域数量(个)
低水平(Ⅰ) (0.280,0.340] 11 (0.288,0.372] 13 (0.309~0.399] 13 (0.317,0.382] 8
较低水平(Ⅱ) (0.340,0.398] 13 (0.372,0.425] 12 (0.399~0.463] 17 (0.382,0.440] 11
中等水平(Ⅲ) (0.398,0.455] 20 (0.425,0.471] 18 (0.463~0.521] 19 (0.440,0.498] 17
较高水平(Ⅳ) (0.455,0.505] 17 (0.471,0.523] 16 (0.521~0.570] 15 (0.498,0.547] 18
高水平(V) (0.505,0.569] 10 (0.523,0.611] 12 (0.570~0.643] 7 (0.547,0.659] 17
图4 武陵山区县域农业产业链韧性水平空间分布

Fig.4 Spatial distribution of resilience level of agricultural industry chain in counties of Wuling Mountains

此外,部分县域类型长期稳定。如五峰、冷水江、玉屏、会同、印江、思南、麻阳和酉阳8个县域长期为Ⅰ类;秭归、来凤、武冈、城步和永定5个县域始终为Ⅱ类;新晃、辰溪、正安、邵阳和巴东5个县域保持Ⅲ类,其中正安县依托林下经济与吉他制造等多元产业,在一定程度上对冲农业单一化风险,韧性稳定;绥宁、洪江、溆浦和泸溪4个县域始终为Ⅳ类;鹤城、长阳、石柱、安化、务川、宣恩和恩施7个县域一直为V类。由此可见,韧性空间格局呈梯度分异与极化并存态势,存在“高者愈高、低者愈低”现象。韧性“洼地”与省际交界、山区腹地等区位重叠,反映出自然地理阻隔与行政边界效应可能叠加,强化资源要素流动壁垒,进而通过马太效应和路径依赖长期影响区域农业产业链发展。

2.2 武陵山区农业产业链韧性的区域差异

2.2.1 区内、区间差异分析

表3显示,武陵山区农业产业链韧性水平在研究期内整体呈上升趋势,但存在发展不均衡、区内差异大及协同不足等问题。总体基尼系数从2010年的0.079降至2023年的0.074,表明区域不平衡有所缓解。分区域看,除湖北片区外,湖南、贵州和重庆片区的区内差异总体呈波动下降;区内差异年均值由大到小依次为湖北、贵州、湖南、重庆。其中,重庆片区的区内基尼系数及均值最低,不足湖北或贵州的50%,发展较为均衡。片区之间差异较大,反映内部不平衡显著,这与自然条件、资源禀赋及政策执行梯度等因素相关。湖南片区基尼系数始终围绕0.073小幅波动,表明其县域韧性较为均衡。
表3 武陵山区农业产业链韧性的空间分异规律

Tab.3 Spatial differentiation patterns of agricultural industry chain resilience in Wuling Mountains

年份 总体 区内基尼系数 区间基尼系数
湖北 湖南 贵州 重庆 湖北—湖南 湖北—贵州 湖北—重庆 湖南—贵州 湖南—重庆 贵州—重庆
2010 0.079 0.095 0.074 0.085 0.048 0.088 0.092 0.081 0.080 0.066 0.073
2011 0.079 0.097 0.073 0.085 0.048 0.089 0.093 0.082 0.080 0.064 0.072
2012 0.079 0.096 0.074 0.085 0.049 0.088 0.092 0.081 0.081 0.066 0.072
2013 0.079 0.103 0.074 0.083 0.040 0.092 0.096 0.084 0.079 0.063 0.068
2014 0.078 0.099 0.074 0.081 0.040 0.089 0.093 0.082 0.078 0.062 0.067
2015 0.078 0.101 0.074 0.080 0.035 0.090 0.093 0.082 0.078 0.060 0.064
2016 0.079 0.099 0.076 0.080 0.037 0.090 0.092 0.080 0.079 0.062 0.065
2017 0.077 0.098 0.073 0.081 0.034 0.088 0.093 0.080 0.078 0.061 0.064
2018 0.077 0.099 0.071 0.082 0.036 0.088 0.093 0.081 0.078 0.061 0.066
2019 0.076 0.096 0.071 0.081 0.036 0.086 0.091 0.078 0.077 0.061 0.065
2020 0.076 0.098 0.072 0.079 0.037 0.088 0.091 0.079 0.077 0.061 0.064
2021 0.075 0.097 0.070 0.078 0.037 0.086 0.090 0.079 0.075 0.060 0.064
2022 0.075 0.097 0.070 0.079 0.034 0.086 0.090 0.078 0.076 0.059 0.063
2023 0.074 0.095 0.069 0.080 0.036 0.085 0.090 0.076 0.076 0.059 0.064
均值 0.077 0.098 0.073 0.081 0.039 0.088 0.092 0.080 0.078 0.062 0.067
从区间差异看,湖北与贵州片区差异最突出,样本期内均值为0.092;湖北与湖南片区次之,介于0.085~0.092;湖北与重庆片区位列第三,年均值超0.08;其余3组年均值均低于0.08。湖北与其他三片区间的差异在2013年前波动上升,之后转为下降。年均值低于0.08的3组在2012年后亦呈下降趋势,其中贵州—重庆片区降幅最大。2012年后区域农业协作加强,跨区域品牌共建、灾害联防及技术共享取得成效。

2.2.2 空间差异来源分解

武陵山区总体差异分解为区内差异、区间差异和超变密度(如图5所示)。区内差异变幅最小,2010—2018年平均0.027,2019—2023年略降至0.026;区间差异贡献值年均仅为0.0035;超变密度贡献值最大,由2010年的0.050降至2023年的0.045(图5a)。三者年均贡献率分别为34.47%、4.60%、60.93%,呈“超变密度>区内差异>区间差异”格局(图5b)。超变密度是主要空间来源,表明不同行政区之间存在较高的交叉重叠。该现象主要源于地理条件复杂和行政区划交错导致的“政策—产业—资源”错配。地理分割与发展基础差异使政策执行出现梯度,产业布局受行政边界限制,资源要素配置困难。具体表现为政策不协调加剧产业同质竞争,削弱抗风险能力;资源分配不均限制基建与科技投入;县域产业链衔接不畅阻碍技术外溢与协同。上述因素共同导致县域产业结构趋同、协作不足、政策不一、灾害应对能力不均,最终形成韧性发展水平的差异。
图5 武陵山区农业产业链韧性水平的区域差异及其来源

Fig.5 Regional disparities of agricultural industry chain resilience and their source decomposition in Wuling Mountains

2.3 武陵山区农业产业链韧性的演进特征

2.3.1 核密度估计分析

为探究武陵山区农业产业链韧性水平的动态演进,采用高斯核密度函数,重点分析分布位置、变动态势、延展性及极化特征。由图6可知,观察期内4个片区的核密度曲线中心与分布区间均右移,表明韧性水平总体上升。在湖南片区主峰高度2010年后下降,2016年后回升,分布宽度略增,说明不均衡现象得以控制,或与2016年后的政府引导有关。湖北片区主峰高度最低,各年份曲线形态相近,显示其韧性差异变化最小。重庆片区主峰高度逐年上升,宽度收窄,反映绝对差异减小、集聚增强;2018年后曲线出现两次右拖尾,并由单峰渐呈双峰,揭示内部极化趋势显现。贵州片区曲线宽度波动小,分布重心稳定,2019年后无明显变化,与湖南、湖北片区相似,未现拖尾或极化。总体看,区域韧性差异虽逐步缩小,但短期内难以实现全面均衡。
图6 武陵山四片区农业产业链韧性核密度曲线分布

Fig.6 Distribution of resilience core density curve of agricultural industry chain in four regions of Wuling Mountain

2.3.2 马尔可夫链分析

前文分析,尚不足以深入揭示韧性演变的时空规律,因此有必要进一步构建传统与空间马尔可夫转移概率矩阵。本文采用四分位法将韧性水平划分为低、中低、中高、高4种类型(k=1,2,3,4);向上转移指由低向高转移,向下转移则相反。结果可知,传统马尔科夫转移概率矩阵中对角线上转移概率明显高于非对角线,且两端数值较高,进一步证实存在马太效应与极化效应。具体来看,有87.34%的县域一年后保持中低水平,10.92%向上转移,1.75%转为低水平;另有87.34%保持中高水平,12.07%升至高水平,仅8.60%向下转移。观测期内,韧性水平呈梯次发展,未出现跨越式转移。可见,韧性水平提升具有渐进性,整体趋势向好,但仍需警惕向下转移风险,着力提高向上转移概率,推动资源禀赋劣势转化为发展动能。
县域韧性状态的转移常与邻域类型相关。本文进一步在传统马尔可夫链概率矩阵中加入空间滞后条件,分析邻域影响。与传统马尔可夫链概率矩阵相比,加入空间因素后转移概率显著变化,与邻域类型的协同性增强。当邻域类型为2时,低韧性县域数量明显更多;当邻域类型为3时,高韧性县域更为突出。一般而言,与高韧性县域为邻时,会提高自身向上转移的概率;反之亦然。例如,在高水平邻域条件下,P12/4(0.3333)>P12(0.0984),P23/4(0.1429)>P23(0.1092)。总体看,转移多发生于相邻等级之间,表明存在显著空间溢出效应,“俱乐部收敛”现象更为明显。为检验空间滞后效应的显著性,提出原假设“韧性状态转移在空间上相互独立”。经卡方拟合优度检验,在自由度为36、置信水平α=0.005的情况下,Qb=125.14(p=0.000),拒绝原假设。综上,空间溢出效应对韧性的提升具有重要驱动作用。
综合核密度与马尔可夫链分析,武陵山区农业产业链韧性演进呈现“整体趋好、渐进转移、空间俱乐部收敛”的特征。整体水平提升得益于政策投入,但县域状态转移高度依赖原有基础,且显著受邻域状态的空间溢出影响。这意味着韧性提升是长期累积的渐进过程,而打破低水平县域的“局部锁定”,需借助跨县域协同与差异化干预,以削弱负面溢出或强化正面带动。

2.4 武陵山区县域农业产业链韧性的障碍诊断

2.4.1 系统层障碍因子

表4展示2010、2015、2020和2023年武陵山区县域农业产业链韧性系统层的障碍度测算结果。从中看出,2010、2015和2020年的子系统障碍度排序均为再造能力(C)>抵御能力(A)>恢复能力(B);到2023年,变为C>B>A。具体看,子系统A的障碍度先升后降,B逐年上升,C趋势与A相反。整体上,再造能力(C)在系统层障碍因子中占据主导地位,说明其对韧性提升影响深远,同时抵御与恢复能力的作用也逐渐显现。
表4 武陵山区县域农业产业链韧性系统层障碍度

Tab.4 Obstacle degree of the county-level agricultural industry chain resilience in Wuling Mountains

系统 障碍度均值(%) 考察期
年均值
2010 2015 2020 2023
A 32.24 32.29 32.43 31.97 32.30
B 31.10 31.32 31.69 32.06 31.52
C 36.66 36.39 35.88 35.97 36.19
为进一步识别障碍与突破口,采用最小方差法(LSE)划分阻力模式结果显示,考察期内仅武陵源、武冈和德江3个县域属于A—C型双系统阻力模式,其余68个县域均为A—B—C型三系统阻力模式。这说明德江、武冈和武陵源3个县域的阻力主要来自抵御和再造能力系统。以德江县为例,其农业经营主体密度(A8)、乡村人均固定资产投资(C6)、农产品国际贸易活跃度(C2)、种业科技支撑能力(C9)等指标障碍度较高,因此需加强农业经营主体培育、基础设施、科技转化、东西部协作等政策引导,以提升产业链延伸能力与韧性。综上,武陵山区绝大多数县域的障碍度呈均衡分布,仅改进单一系统难以提升整体韧性。内在机制在于子系统间存在协同作用,如再造能力通过技术溢出增强抵御与恢复能力,而双系统阻力模式因缺失环节支撑,导致韧性提升受限。

2.4.2 指标层障碍因子

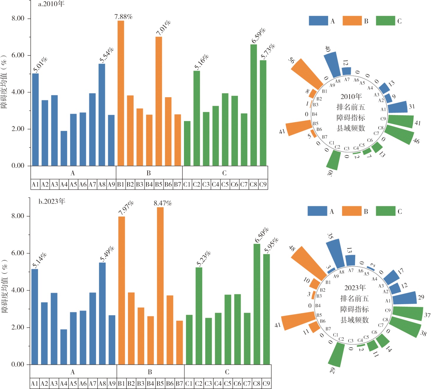
为识别主要障碍,本文选取2010和2023年各指标障碍度年均值进行对比,并筛选各县域前5障碍因子制作频数直方图(图7)。横向看,2010年障碍度超过5%的指标包括产业服务化水平(A1)、农业经营主体密度(A8)、农业贡献率(B1)、农药施用强度(B5)、农产品国际贸易活跃度(C2)、农业研发人才投入水平(C8)和种业科技支撑能力(C9),障碍水平依次为5.01%、5.54%、7.88%、7.01%、5.16%、6.59%、5.73%,对应县域频数分别为31、40、56、41、30、46、41。到2023年,上述指标的障碍度仍超过5%,县域频数变为29、35、48、41、29、38、37。2个年份前5障碍指标覆盖40%~70%的县域,表明产业服务、企业带动、产业结构、化学投入、外向流通、人才与技术转化等方面存在系统瓶颈。例如,农药施用强度过高会削弱生态可持续性,人才投入不足制约技术转化,经营主体密度偏低弱化组织协同。上述关键环节的“木桶效应”需通过系统性补短板来协同提升韧性。
图7 武陵山区县域农业产业链韧性障碍度年均值及重要障碍指标的县域频数

Fig.7 Annual average value of obstacle degree in agricultural industry chain resilience and county frequency of key obstacle indicators in Wuling Mountain Area

纵向看,2010年障碍度最高的为农业贡献率(B1),2023年其值上升但排名降至第2。2023年首位变为农药施用强度(B5),年均值8.47%。农业研发人才投入水平(C8)在2个年份均位列第3,障碍度略降。前5障碍指标的县域频数比较显示,农业贡献率(B1)、农业研发人才投入水平(C8)、农业经营主体密度(A8)等6个指标频数下降;农药施用强度(B5)、农产品价格波动水平(A6)、数字金融指数(C4)等9个指标频数基本持平;农田建设投入水平(B6)、农旅融合水平(A3)、财政支农力度(C5)等10个指标频数有所上升。具体而言,农业贡献率与研发人才投入的县域频数各减少8个,农田建设投入增加6个。这可能反映安化、隆回、鹤峰、来凤和建始等县域在产业增值、技能培训与科技服务上取得进展;而中方、靖州、新化、新宁、松桃和玉屏等县域在水利、机械、物流等方面仍存阻力。此外,研发人才投入和种业科技支撑始终居前,说明农技推广与特色种质资源保育影响深远。综上,障碍因子具有系统性与结构性。系统性体现为关键障碍指标广泛关联;结构性表现为障碍重心从产业基础向资源环境约束与创新短板迁移。这表明韧性提升需从单一“补缺”转向系统联动与结构“重构”。

3 结论与建议

3.1 结论

本文基于农业产业链韧性提升的概念模型,首先测算2010—2023年武陵山区县域农业产业链韧性水平,分析其时序差异与空间特征;继而利用Dagum基尼系数解析区内差异、区间差异及其差异来源,并进一步借助核密度估计与马尔科夫链分析其演进趋势;最后运用障碍度模型和最小方差法诊断障碍因子及系统阻力模式。主要结论如下:
①从时空格局来看,武陵山区县域农业产业链韧性水平整体上升,但仍有提升空间。研究期内,抵御能力明显高于恢复与再造能力,时序上呈多维非均衡特征。湖南片区在三维度上波动幅度相对更稳。湖北片区的抵御能力显著优于其他片区;湖南片区的恢复能力及其增速表现突出;各片区的再造能力均快速上升。空间格局上呈梯度分异与空间极化并存,存在“高者愈高、低者愈低”的现象。
②从区域差异来看,考察期内该区域韧性发展不平衡程度逐渐减弱。区内差异呈现湖北片区>贵州片区>湖南片区>重庆片区的空间特征;区间差异中,湖北和贵州片区之间的差异最显著。整体上,各片区发展步调相对一致。差异来源的贡献率呈“超变密度>区内差异>区间差异”格局,超变密度是空间差异的主要来源,其内在作用机制与“政策—产业—资源”配置错配有关。
③从演进特征来看,武陵山区县域农业产业链韧性短期难以全面平衡发展,“俱乐部收敛”现象明显。4片区核密度曲线中心位置及分布区间右移,其中湖北片区绝对差异变动最小,重庆片区绝对差异缩小且集聚增强,贵州片区无拖尾或极化现象。整体上韧性水平向好,但需防范其向下转移的风险。引入空间因素后,转移概率变化显著,韧性水平与相邻区域转移类型协同性较强。
④从障碍因子来看,协同提升三维能力是韧性提升的关键,同时需夯实人才与种业基础。系统层中,再造能力系统的障碍因子占主导,A—C型双系统阻力模式仅涉及3个县域,其余68个均为A—B—C型三系统阻力模式。绝大多数县域的障碍度均衡分布,仅改进单一系统难以有效提升农业产业链韧性。此外,前5障碍指标覆盖40%~70%的县域;产业服务化水平、农业贡献率、农药施用强度等已成为系统性发展瓶颈;农业研发人才投入与种业科技支撑能力的影响不容小觑。
需要注意的是,本文仅侧重于韧性水平的测度、差异与演进分析,对韧性与具体冲击事件(如特定极端气候、市场危机)间的动态响应机制及微观传导路径揭示尚显不足。未来研究需更加关注技术进步对中国农业全要素生产率增长的影响,结合案例分析与计量模型辨析不同类型外部冲击对三维能力的作用差异与传导逻辑,并构建长周期动态跟踪体系,以更精准预判韧性趋势,支撑适应性决策。

3.2 建议

根据上述结论,本文提出如下对策建议:
①县域层面应注重精准施策,深化内部协同。各县域需根据自身阻力模式与关键障碍,制定针对性措施。其中,湖南片区需在保持恢复能力优势的同时,重点加强水利与高标准农田建设,并依托“湘字号”品牌延伸产业链;湖北片区应进一步推广“产业链链长制”,强化主体协同与产业集聚,完善价格预警体系;重庆片区需加大绿色生产技术推广与金融支持,降低农药施用强度,对接成渝地区双城经济圈资源;而贵州片区则应充分利用西部大开发等政策,重点扶持新型经营主体培育、山地农业技术推广及农村电商。此外,各县域还需打破行政壁垒,探索“飞地经济”、共建园区等模式。
②省际层面应构建协作机制,推动区域共治。4省市可建立联席会议制度,推进政策、数据与行动协调,重点建设跨区域品牌共建、灾害联防体系及技术共享平台;可探索设立专项基金,支持共性技术研发、应急物流等跨区域项目;还应通过制度化协作,缓解“政策—产业—资源”错配问题。
③国家层面应融入战略布局,争取长效支持。将韧性工作融入乡村振兴、西部大开发、长江经济带等国家战略;争取中央在基建、生态补偿、数字乡村等方面的资金倾斜;支持该区域申报国家级农业现代化示范区,引入规划、科技与市场资源。在国家粮食安全格局中,应明确武陵山区的特色定位,推动其向“主动贡献”转型。
④系统层面应推行集成策略,实现多元共治。政策设计须遵循系统思维,政府应强化财政支农资金整合与精准投入,完善农资保供稳价与风险监测预警机制;鼓励新型经营主体延伸产业链,发展休闲农业、农村电商等新业态,提升数字金融应用能力;针对小农户,需加强技术推广与培训,促进其融入现代化产业体系。最终形成政府、市场、社会多元共治格局,系统性地提升武陵山区农业产业链抗风险能力。
[1]
李萍, 何瑞石, 宋晓松. 有效提升我国农业产业链供应链韧性[J]. 宏观经济管理, 2024(2):61-69.

[2]
金文成, 靳少泽. 加快建设农业强国:现实基础、国际经验与路径选择[J]. 中国农村经济, 2023(1):18-32.

[3]
魏丽莉, 张晶. 中国共产党领导下所有制变革推进经济韧性提升[J]. 上海经济研究, 2021(5):5-18.

[4]
郝爱民, 谭家银. 农村产业融合赋能农业韧性的机理及效应测度[J]. 农业技术经济, 2023(7):88-107.

[5]
张玉梅, 龙文进. 大食物观下农业产业链韧性面临挑战及提升对策[J]. 中州学刊, 2023(4):54-61.

[6]
陈军亚. 韧性小农:历史延续与现代转换——中国小农户的生命力及自主责任机制[J]. 中国社会科学, 2019(12):82-99,201.

[7]
王珊珊, 高铭阳, 吕杰. 数字经济、产业融合、农业产业链韧性:指数测算与效应检验[J]. 统计与决策, 2025, 41(2):11-16.

[8]
李媛, 熊婉辰, 任保平, 等. 中国农业数字化水平的区域差异、动态演进与形成机理[J]. 经济与管理评论, 2025, 41(1):148-160.

[9]
曾雄旺, 张湘琦, 李志胜, 等. 数字普惠金融对农业产业链韧性影响的空间效应[J]. 经济地理, 2025, 45(2):183-191.

DOI

[10]
曾雄旺, 张湘琦, 左声亮, 等. 中国中部地区农业产业链韧性时空分异及其影响因素——基于2011—2022年80个地级区域数据[J]. 地理科学进展, 2025, 44(9):1807-1818.

DOI

[11]
吕雅辉, 袁佳伟, 张斯琪, 等. 农业产业链韧性、区域差异及动态演进[J]. 统计与决策, 2025, 41(3):87-93.

[12]
王缙, 宾厚. 长江经济带农产品供应链韧性区域差异、时空演进及障碍因子[J]. 长江流域资源与环境, 2025, 34(8):1867-1880.

[13]
肖兴志, 王振宇, 李少林. 产业链韧性测度方法研究进展[J]. 经济学动态, 2024(4):144-160.

[14]
管宁宁, 黄惠春. 农业产业链服务对农户生产效率的影响——内在机理与实证检验[J]. 长江流域资源与环境, 2023, 32(11):2418-2430.

[15]
陈燕武, 李育恒. 福建省农业产业链变迁及其优化[J]. 华侨大学学报(哲学社会科学版), 2021(1):76-88.

[16]
陈明星. 粮食安全韧性:内在机理、重塑路径与提升策略[J]. 贵州社会科学, 2023(11):120-128.

[17]
郝爱民, 解梦菡, 刘育廷. 农业产业链韧性水平测度与时空演变[J]. 统计与决策, 2024, 40(16):95-100.

[18]
田相辉, 黄子勇. 中国农业产业韧性水平的区域差异与时空演变[J]. 统计与决策, 2024, 40(15):104-109.

[19]
于伟, 张鹏. 中国农业发展韧性时空分异特征及影响因素研究[J]. 地理与地理信息科学, 2019, 35(1):102-108.

[20]
戴媛媛. 中国粮食产业链供应链韧性分布动态与区域差距[J]. 统计与决策, 2024, 40(18):114-119.

[21]
隋建利, 李悦欣, 刘金全. 中国经济韧性的时空敛散与异质分化特征——基于马尔科夫区制转移混频动态因子模型的识别[J]. 管理世界, 2024, 40(3):16-36,73,37.

[22]
罗海平, 王佳铖, 胡学英, 等. 粮食主产区粮食安全与生态安全脆弱性耦合研究[J]. 统计与信息论坛, 2023, 38(7):117-128.

[23]
郑家喜, 赵妍, 卫增, 等. 基于空间马尔科夫链的粮食生产韧性动态演进及趋势预测[J]. 华中农业大学学报(社会科学版), 2024(3):104-117.

[24]
贺亚亚, 陈真, 周迪. 数字乡村建设提升农业产业链韧性的效应、机理与路径研究[J/OL]. 中国农业资源与区划:1-14[2025-10-21].

[25]
王新刚, 司伟, 冯晓龙, 等. 大豆生产者补贴对农户土地投入决策的影响——基于全国农村固定观察点调查数据的实证分析[J]. 中国农村观察, 2023(1):20-39.

[26]
熊媛媛, 余国新, 谢树青. 农业生产性服务对农业全要素碳生产率的提升效应[J]. 干旱区资源与环境, 2025, 39(11):21-32.

[27]
姬志恒. 中国农业农村高质量发展的空间差异及驱动机制[J]. 数量经济技术经济研究, 2021, 38(12):25-44.

[28]
秦琳贵, 刘松岐, 沈体雁, 等. 农业产业化国家重点龙头企业空间布局及其影响因素的异质性[J]. 经济地理, 2025, 45(9):110-118.

DOI

[29]
徐永慧, 尹朝静. 环境规制下中国农业绿色全要素生产率的测算[J]. 统计与决策, 2021, 37(18):50-54.

[30]
Benatti N, Groiss M, Kelly P, et al. Environmental regulation and productivity growth in the euro area:Testing the porter hypothesis[J]. Journal of Environmental Economics and Management, 2024, 126:102995.

DOI

[31]
张耀光. 最小方差在农业类型(或农业区)划分中的应用——以我国粮食作物结构类型划分为例[J]. 经济地理, 1986(1):49-55.

[32]
陈培阳, 朱喜钢. 中国区域经济趋同:基于县级尺度的空间马尔可夫链分析[J]. 地理科学, 2013, 33(11):1302-1308.

DOI

Outlines

/