Spatiotemporal Changes of Ecosystem Service Value and Its Driving Factors in the Middle Reaches of the Yangtze River Urban Agglomeration

  • LIU Zhifei , 1 ,
  • LUO Xinyi 1 ,
  • LIU Anni , 2, ,
  • LI Han 3
Expand
  • 1. School of Digital Economic & Resource Management,East China University of Technology,Nanchang 330013,Jiangxi,China
  • 2. University of Macau Institute of Business Management,Macao 999078,China
  • 3. School of Marxism,Nanchang Jiaotong Institute,Nanchang 330100,Jiangxi,China

Received date: 2025-04-19

  Revised date: 2025-10-18

  Online published: 2025-12-23

Abstract

This study focuses on the coordinated relationship between regional economic development and ecological protection, taking the Middle Reaches of the Yangtze River Urban Agglomeration from 2010 to 2023 as the research object. It adopts methods such as the equivalent factor method with correction coefficients, spatial autocorrelation analysis, and geographical detector to systematically examine the spatiotemporal evolution features of the Ecosystem Service Value (ESV) in this urban agglomeration, and explores the key driving factors of its spatial differentiation, and clarifies the interaction paths and mechanisms among various driving factors. The results show that: 1) The ESV of the Middle Reaches of the Yangtze River Urban Agglomeration exhibited an increasing tendency from 2010 to 2015, and a downward trend from 2015 to 2023. Woodland and water areas are the main land types contributing to ESV, and the value of hydrological regulation services dominates among various ecological functions. 2) There is a significant positive spatial correlation of ESV in the study area, with the agglomeration effect generally enhanced. The spatial distribution presents a pattern of "concentrated high-value areas and extensive low-value areas". High-value areas are mainly distributed in water areas such as Dongting Lake and Poyang Lake and surrounding areas with good ecological conditions, while low-value areas are concentrated in the core urban areas of Wuhan, Changsha, Nanchang and other cities. 3) The spatial differentiation of ESV in the middle reaches of the Yangtze River Urban Agglomeration is affected by the coupling effect of natural and social factors. Among them, elevation is the primary factor affecting the spatial differentiation of ESV, followed by slope, NDVI (Normalized Difference Vegetation Index) and Human Activity Index (HAI). The interaction between any two factors is stronger than the impact of a single factor, and the interaction between elevation and HAI is the strongest, which reflects that topographic conditions and human activities jointly shape the spatial pattern of ESV.

Cite this article

LIU Zhifei , LUO Xinyi , LIU Anni , LI Han . Spatiotemporal Changes of Ecosystem Service Value and Its Driving Factors in the Middle Reaches of the Yangtze River Urban Agglomeration[J]. Economic geography, 2025 , 45(11) : 213 -222 . DOI: 10.15957/j.cnki.jjdl.2025.11.021

生态系统服务是保障经济社会可持续发展与民生福祉的基础性资源,其价值实现与国家战略高度契合。党的二十大报告明确提出“必须牢固树立和践行绿水青山就是金山银山的理念,站在人与自然和谐共生的高度谋划发展”,将生态环境保护提升至推进中国式现代化的本质要求;党的二十届三中全会进一步强调“中国式现代化是人与自然和谐共生的现代化”,要求“协同推进降碳、减污、扩绿、增长”,构建生态产品价值实现机制。生态系统服务不仅是生态安全的“稳定器”,更是实现高质量发展、增进人民幸福感的“基石”,其价值的动态维护与优化已成为落实国家生态文明建设战略的关键议题。然而,在快速城镇化与工业化进程中,我国生态系统服务价值仍面临严峻挑战。产业布局与生态承载力不匹配、资源开发与环境保护协同不足等问题普遍存在,资源环境约束持续趋紧,产业链供应链安全与生态保护的统筹难度也在增加,使得如何平衡发展与保护的关系,成为当前生态治理的核心难题。作为国家“中部崛起”战略的核心载体与长江经济带生态安全的关键屏障,长江中游城市群凭借“连接东西、贯通南北”的独特空间优势,以及“生态—经济—社会”系统协同的战略定位,在促进区域协调发展中发挥着不可替代的枢纽作用。因此,其生态系统服务价值的演变不仅深刻影响区域发展质量,更直接关系长江经济带整体生态安全和国家区域协调发展大局。本文旨在揭示该区域生态系统服务价值的时空分异特征,识别影响其变化的关键因素,为优化国土空间布局、推动区域生态保护与高质量发展提供科学依据,也为落实国家生态文明建设与绿色发展战略提供决策参考。
随着城市化进程的持续深入与区域经济快速发展,生态系统服务价值(ESV)的评估及其演变机制研究逐渐成为学术界关注的热点。已有研究围绕不同地理区域与生态系统服务类型展开价值估算,并深入探讨其时空变化特征。在时序演变方面,有研究指出ESV呈增长趋势[1-4],也有研究发现特定时段内ESV呈现下降态势[5-8],反映出ESV动态对时段选择与区域背景的敏感性。在空间格局方面,相关研究表明ESV存在明显的区域分异特征[9-11]。例如,有研究发现在长江中游经济带生态系统服务功能的空间分布呈现“E”型集聚结构;另有研究进一步指出该地区ESV总体呈现“山区高、平原低”的空间分布格局[12-13],显示出自然地理条件对ESV空间配置的重要影响。
ESV驱动机制研究中,影响因素可系统归纳为自然与社会经济两大类。自然因素方面,高程通过调控水热条件与植被格局对ESV产生显著影响[14-15]。气温与降水作为关键气候要素,分别通过形成“自然马太效应”与支撑植被生长及水文调节功能,对ESV产生正向驱动作用[16-17];坡度通过改变土壤侵蚀程度、植被覆盖状况及土地利用方式间接作用于ESV[18];归一化植被指数(NDVI)作为植被覆盖与生长状态的重要表征指标,能有效反映研究区植被覆盖程度[19]。社会经济因素方面,人为影响指数(HAI)对生态系统功能产生一定的影响,是影响区域生态服务价值空间分异的重要因子[20-21]。人口密度亦为关键驱动因子,高密度人口区域因资源开发压力增大,多对ESV产生负向影响,而人口稀疏区影响相对较弱[22]
综上所述,已有研究围绕ESV的评估方法、时空演变特征及其驱动机制等方面取得了丰富成果。然而,现有研究在针对长江中游城市群这一国家战略区域的ESV系统性评估方面仍显不足,尤其是在长时间序列、多时点捕捉ESV演变细节,以及综合自然与人为因素交互影响方面的探讨较为有限。在此基础上,本文通过构建修正的当量因子表,结合2010、2015、2020和2023年4期土地利用数据,系统评估长江中游城市群ESV的时空变化,并集成空间自相关分析与地理探测器方法,揭示其空间分异规律及驱动机制,以弥补现有研究的不足,为区域生态保护与高质量发展提供科学依据。

1 研究区与数据

1.1 研究区概况

长江中游城市群位于我国中部,是长江经济带的重要组成部分,涵盖湖北省、湖南省和江西省的重点城市。其中,湖北省包含武汉、黄石和鄂州等13个市,湖南省包含长沙、株洲和湘潭等8个市,江西省包含南昌、九江和景德镇等10个市(图1)。该区域自然资源禀赋优越,水资源尤为丰富,长江干流贯穿全境,鄱阳湖、洞庭湖等大型湖泊坐落其中,这些水体不仅为当地提供水源支撑,更在调节区域气候、维护生物多样性等生态功能上发挥着关键作用。长江中游城市群是长江经济带的重要增长极,近年来随着城镇化、工业化快速推进,耕地占用等生态问题凸显,同时又肩负筑牢长江中游生态屏障使命,河长制、湿地修复等生态政策在此密集落地。本文以该城市群为研究区,量化其生态损失与增益,既能为平衡经济发展与生态保护提供数据支撑,也能为长江流域协同保护提供政策依据。
图1 研究区概况

Fig.1 Location of the study area

1.2 数据来源

根据数据可得性,选取中国多时期土地利用遥感监测数据集(https://www.resdc.cn)空间分辨率为1 km。NPP修正数据来源于NASA地球科学数据网站,基于MODIS连续时间序列的NPP数据,分辨率为500 m(https://www.earthdata.nasa.gov)。高程数据、NDVI均来自资源环境科学数据平台(https://www.resdc.cn)。坡度数据在ArcGIS中利用高程数据计算得出。人口分布数据来源于LandScan数据集2000—2023年的1 km精度的人口空间分布栅格数据(https://landscan.ornl.gov)。气温和降水数据来源于国家地球系统科学数据中心(www.geodata.cn)。HAI利用公式计算获得。为满足地理探测器分析要求,对各因子进行离散化处理。粮食产量数据来源于《湖南统计年鉴》《湖北统计年鉴》《江西统计年鉴》《中国农产品价格调查年鉴》等。

2 研究方法

2.1 生态系统服务价值测算

考虑到数据的可得性,参照谢高地等提出的单位面积价值当量表[23-24],根据1个单位当量因子价值等于1/7个单位面积农田年均产量的经济价值,计算得出长江中游城市群1个生态系统服务价值当量为2012.25元/hm2。在此基础上,结合NPP修正以及降水修正,最终得到长江中游城市群生态系统服务价值系数表(表1)。
表1 长江中游城市群生态系统服务价值系数表(元/hm2)

Tab.1 Ecosystem service value coefficient table of the middle reaches of the Yangtze River Urban Agglomeration(yuan/hm2)

生态系统服务类型 土地利用类型
一级服务 二级服务 耕地 林地 草地 水域 建设用地 未利用地
供给服务 食物生产 1364.07 311.70 288.04 987.56 0.00 6.17
原料生产 302.44 715.98 423.83 283.92 0.00 18.52
水资源供给 -6873.05 1580.01 1000.67 43660.99 0.00 52.67
调节服务 气体调节 1098.66 2354.71 1489.57 950.53 0.00 80.24
气候调节 574.02 7045.62 3937.90 2826.89 0.00 61.72
净化环境 166.65 2064.62 1300.29 6851.20 0.00 253.06
水文调节 7873.72 19671.15 12306.54 538467.98 0.00 632.00
支持服务 土壤保持 641.91 2867.01 1814.64 1148.04 0.00 92.58
维持养分 191.34 219.11 139.90 86.41 0.00 6.17
生物多样 209.86 2610.86 1650.05 3147.85 0.00 86.41
文化服务 美学景观 92.58 1144.95 728.33 2333.11 0.00 37.03
结合长江中游城市群土地利用类型总面积计算生态系统服务总价值,计算公式如下:
E S V = i = 1 n C i · V C i
式中:ESV是生态系统服务价值(元);Ci指第i种土地利用类型的面积(hm2);VCi表示第i种土地利用类型的经济价值系数(元/hm2)。
敏感性指数[25-26]能反映ESV对生态价值系数的依赖程度,当CS<1时,说明ESV对价值系数不敏感,依赖程度较低,结果更稳定。计算公式如下:
C S = E S V j - E S V i / E S V i V C j - V C i / V C i
式中:CS为敏感性指数;i代表生态价值系数的初始值;j代表生态价值系数调整后的数值。
由敏感性分析可知,长江中游城市群各地类ESV系数的CS值均低于1,具有一定的可信度。

2.2 人为影响指数测算

人为影响指数(HAI)是用来量化人类活动对生态系统的干扰程度,数值越高代表人类活动对其干扰影响越强[27-28]。计算公式如下:
H A I = i = 1 n C i P i / T C
式中:HAI代表人为影响指数;Pi表示第i种土地利用类型的人为干扰参数;TC代表研究区域的总面积。参考相关文献,通过Delphi法确定各Pi的取值[29-30],分别为:耕地0.67,林地0.13,草地0.12,水体0.10,建设用地0.96,未利用地0.05。

2.3 空间自相关

2.3.1 全局自相关分析

本文用全局自相关分析来反映长江中游城市群ESV值是否存在空间自相关性[31]。计算公式如下:
I = n i = 1 n j = 1 n W i j ( X i - X ¯ ) ( X j - X ¯ ) i = 1 n j = 1 n W i j ( X i - X ¯ ) 2
式中:I是Moran指数,Moran's I指数的取值范围是[-1,1],正值表示正自相关,负值表示负自相关,接近0表示随机分布,不存在空间自相关;Wij为空间权重矩阵;XiXj分别为区域ijESV观测值。

2.3.2 局部自相关分析

本文用局部自相关分析来反映局部区域单元的空间自相关性。计算公式如下[32]
I = X i - X ¯ S 2 j = 1 n W i j ( X j - X ¯ )
S 2 = 1 n i = 1 n ( X i - X ¯ ) 2
式中变量含义同式(4)。

2.4 地理探测器

地理探测器基于空间分异性特征,探究各驱动因子对ESV的影响机制[33-34]。用q值来量化各因子对ESV空间异质性的驱动强度,取值范围为0~1,q值越大,说明该因子对ESV空间分异的解释力越强,其对ESV的驱动作用也越突出。
q = 1 - k = 1 L N k σ K 2 N σ 2
式中:q表示某一因子对ESV空间异质性的影响程度;K为变量Y或因子F的分层;N为全区单元数,NKK区单元数; σ 2 σ K 2分别对应全区Y值的方差和KY值的方差。

3 结果与分析

3.1 长江中游城市群生态系统服务价值时间变化

表2可知,长江中游城市群的ESV在2010—2023年总体呈下降趋势,较2010年降低137.23亿元,变化率为-0.62%。其中,2010—2015年长江中游城市群ESV从22129.73亿元升至22175.38亿元,小幅上升;2015—2023年长江中游城市群ESV从22175.38亿元降至21992.49亿元,呈明显减少态势,这一阶段ESV的减少是导致2010—2023年ESV整体下降的主要原因。在各类土地ESV中,林地和水域ESV占比长期处于高位,二者合计贡献量超90%,是支撑长江中游城市群ESV的核心地类。具体而言,2010—2023年未利用地ESV增长最为突出,期间增加0.38亿元,变化率为15.39%;其次为草地,增长0.25亿元,变化率为0.11%;而耕地、林地和水域ESV呈缩减态势,分别减少34.08、28.69和75.09亿元,变化率为-4.63%、-0.41%和-0.53%。其中,水域ESV减少最为严重,可能原因是受长江流域干旱的影响,洞庭湖、鄱阳湖等主要湖泊水位大幅下降,部分湖区甚至出现湖床裸露现象,造成水域面积萎缩。尽管草地与未利用地ESV有所增长,但耕地、林地和水域等地类ESV缩减幅度大于增长量,推动长江中游城市群ESV整体减少137.23亿元。
表2 2010—2023年长江中游城市群各类土地的ESV变化

Tab.2 Changes in ESV of various land types in the middle reaches of the Yangtze River Urban Agglomeration (2010-2023)

土地利用类型 耕地 林地 草地 水域 建设用地 未利用地 合计
2010年 ESV(亿元) 736.58 7067.44 225.54 14097.67 0.00 2.49 22129.73
比例(%) 3.33 31.94 1.02 63.70 0.00 0.01 100.00
2015年 ESV(亿元) 725.71 7025.55 229.76 14191.99 0.00 2.37 22175.38
比例(%) 3.27 31.68 1.04 64.00 0.00 0.01 100.00
2020年 ESV(亿元) 706.38 7050.43 226.24 14168.56 0.00 2.46 22154.07
比例(%) 3.19 31.82 1.02 63.95 0.00 0.01 100.00
2023年 ESV(亿元) 702.51 7038.74 225.79 14022.58 0.00 2.87 21992.49
比例(%) 3.17 31.74 1.02 63.23 0.00 0.01 99.18
2010—2023年 ESV变化(亿元) -34.08 -28.69 0.25 -75.09 0.00 0.38 -137.23
ESV变化率(%) -4.63 -0.41 0.11 -0.53 0.00 15.39 -0.62
为进一步分析长江中游城市群ESV变化,本文基于动态度模型,计算得出长江中游城市群各地类ESV动态度(表3)。结果表明,2010—2023年长江中游城市群不同地类ESV变化差异显著。具体来看,耕地动态度小于0,为-0.36%,表明耕地ESV整体呈下降趋势;林地ESV整体呈下降趋势,2010—2023年动态度为-0.03%,于2015—2020年出现局部波动,动态度为0.07%;未利用地整体动态度为1.18%,虽在2010—2015年ESV动态度为负,呈下降趋势,但后期增长幅度抵消前期下降幅度,ESV总体增长。草地和水域2010—2023年的ESV动态度分别为0.01%和-0.04%,表明草地ESV总体有一定提升,水域ESV总体降低。由此可见,长江中游城市群ESV动态度的差异化变化,与区域土地开发、生态保护政策及人类活动对不同土地的影响差异密切相关。其中,耕地在城镇化进程中被建设用地扩张挤占,导致耕地ESV持续下降。林地前期受城市开发等影响,导致林地ESV降低,后期生态修复等措施推动其ESV由降转升,但前期降幅未被完全抵消,整体仍呈下降。生态保护与修复政策、林草保护等工程的实施,为草地ESV提供了缓冲作用,有效缓解草地人为破坏与自然退化压力。尽管河长制、湿地修复等政策在一定程度上减少了水域污染与侵占,但受全球气候变化影响,极端干旱或洪水事件增多,干旱使水域面积缩小,水生生物栖息地减少,洪水带来泥沙与污染物,破坏了水域生态系统稳定性,影响其食物生产、生物多样性维持等生态服务能力,且这种自然因素的冲击,超出了生态保护政策的缓冲范围,最终导致水域ESV降低。
表3 2010—2023年长江中游城市群各地类的ESV动态度

Tab.3 Dynamic degree of ESV of different land types in the middle reaches of the Yangtze River Urban Agglomeration

研究时期 ESV动态度(%)
耕地 林地 草地 水域 建设用地 未利用地
2010—2015 -0.30 -0.12 0.37 0.13 0 -0.96
2015—2020 -0.53 0.07 -0.31 -0.03 0 0.72
2020—2023 -0.18 -0.06 -0.07 -0.34 0 5.67
2010—2023 -0.36 -0.03 0.01 -0.04 0 1.18
结合表4分析可知,2010—2023年水文调节服务价值占比最大,常年保持在77%以上,远高于其他功能服务,表明长江中游城市群调蓄洪水、涵养水源生态功能,在区域生态服务价值中占主导地位。研究期内,水资源供给变化量最大,增长34.96亿元,变化率为8.50%。其余生态服务价值均有不同程度的减少。其中,水文调节服务价值减少128.47亿元,变化率为-0.75%;食物生产服务价值减少8.58亿元,气候调节减少8.74亿元。出现这种情况,可能由于受全球气候变化影响,极端干旱或洪水等事件破坏了水域等生态系统的稳定性,进而影响其生态服务能力。这一变化也可能与人类活动相关,如在城市化进程中部分土地利用类型发生转变,农业生产中的化肥农药使用、工业生产中的污染物排放等活动,都会干扰生态系统的稳定运行,削弱区域生态服务能力。在各类生态服务价值变化中,水文调节服务价值减少幅度最大,成为推动区域生态系统服务总价值下降的关键因素[35]
表4 2010—2023年长江中游城市群土地生态系统单项服务价值变化

Tab.4 Changes in the value of individual services of the land ecosystem in the middle reaches of the Yangtze River Urban Agglomeration in 2010-2023

生态系统服务价值 2010年 2015年 2020年 2023年 2010—2023年
ESV
(亿元)
比例
(%)
ESV
(亿元)
比例
(%)
ESV
(亿元)
比例
(%)
ESV
(亿元)
比例
(%)
ESV变化
(亿元)
ESV变化率
(%)
供给服务 食物生产 258.13 1.17 255.39 1.15 250.82 1.13 249.55 1.13 -8.58 -3.32
原料生产 174.67 0.79 173.46 0.78 172.80 0.78 172.31 0.78 -2.36 -1.35
水资源供给 411.56 1.86 430.19 1.94 452.87 2.04 446.52 2.03 34.96 8.50
调节服务 气体调节 589.32 2.66 585.17 2.64 582.60 2.63 580.94 2.64 -8.38 -1.42
气候调节 1403.70 6.34 1396.42 6.30 1398.12 6.31 1394.96 6.34 -8.74 -0.62
净化环境 554.23 2.50 553.05 2.49 553.31 2.50 550.99 2.51 -3.24 -0.58
水文调节 17201.45 77.73 17252.53 77.80 17214.92 77.71 17072.98 77.63 -128.47 -0.75
支持服务 土壤保持 626.48 2.83 622.77 2.81 622.03 2.81 620.48 2.82 -6.00 -0.96
维持养分 66.43 0.30 65.87 0.30 65.33 0.29 65.11 0.30 -1.32 -1.98
生物多样 570.91 2.58 568.58 2.56 569.11 2.57 567.45 2.58 -3.47 -0.61
文化服务 美学景观 272.83 1.23 271.96 1.23 272.15 1.23 271.19 1.23 -1.64 -0.60
合计 22129.73 100.00 22175.38 100.00 22154.07 100.00 21992.49 100.00 -137.23 -0.62

3.2 长江中游城市群生态系统服务价值空间变化

3.2.1 长江中游城市群生态系统服务价值空间布局

图2可知,长江中游城市群ESV在2010—2023年整体维持稳定,较低值区广泛分布,较高值区集中在特定区域并动态变化,整体呈现“高值区集中且动态波动、低值区广泛且主导稳定”的特征,反映出人类活动和自然因素对局部区域ESV空间分布的影响。从空间分布来看,长江中游城市群ESV较高区主要分布在鄱阳湖和洞庭湖周边水域、北部的汉江流域及大别山附近等区域,这些区域因水域、林地等地类分布广泛,能提供较高价值的水文调节、生物多样性维持等生态服务。ESV中高值区空间范围和分布出现小幅度波动,其中,洞庭湖附近部分区域受湿地修复和气候影响使ESV较高值区出现小范围波动,而部分山地边缘因林地开发导致较高区有所收缩,反映出研究期间这些区域的土地利用或生态系统存在动态调整,可能是受人类活动或自然因素的影响。ESV较低区分布广泛,研究期内空间分布主导地位较为稳定,主要分布在武汉城市圈、长株潭城市群、洞庭湖平原北部和鄱阳湖平原及赣江下游等区域。这些区域人口密集,经济活动活跃,建设用地集中,大规模的城市扩张、工业发展和基础设施建设侵占了原有的林地、草地等生态系统,反映出人类活动对生态系统服务价值的影响。
图2 长江中游城市群ESV空间演变

Fig.2 Spatial distribution of ESV in the middle reaches of the Yangtze River Urban Agglomeration

3.2.2 全局空间自相关分析

表5可知,长江中游城市群2010、2015、2020和2023年4个年份的ESV莫兰指数皆大于0,对应的t值均在18左右,且P值均小于0.001,这表明长江中游城市群ESV在空间上存在显著正相关性,ESV高值区相邻,低值区也趋于聚集,并且这种空间正相关性随时间推移有所增强,虽2023年莫兰指数较2020年轻微下降,但整体呈缓慢上升趋势,反映出研究期间该区域ESV的空间集聚特征愈发明显。可能原因是,高值地类集中分布,生态保护政策集中作用于重点区域;城镇化与工业化在核心城市及外围的差异,分别造成低、高值区集聚;区域经济发展和基础设施建设的空间差异,也使得研究区ESV的空间集聚特征愈发明显。
表5 不同年份长江中游城市群ESV的Moran's I统计值

Tab.5 Annual Moran's I statistical values of ESV in the middle reaches of the Yangtze River Urban Agglomeration

年份 Moran's I t P
2010 0.627995 17.990025 <0.001
2015 0.631063 18.080174 <0.001
2020 0.635181 18.124188 <0.001
2023 0.633581 18.088396 <0.001

3.2.3 局部空间自相关分析

图3可知,长江中游城市群ESV的空间聚集效应明显。具体来看,H-H集聚区主要分布在洞庭湖、鄱阳湖周边水域等生态功能重要的区域,这些区域林地、水域集中分布,生态系统服务价值高且相互邻近,体现出高值空间集聚性。L-L集聚区多分布在研究区边缘,特别是西部和南部的山区,反映出低值区域空间集聚性。同时,L-H和H-L集聚区的过渡型区域相对较少且分布零散。研究期间长江中游城市群ESV的局部空间差异较为显著且具有一定的持续性,高值区和低值区在空间上各自集聚。整体来看,高值集聚区随时间出现小幅度波动,反映出区域ESV的空间相互作用随时间推移发生变化,可能与不同时期的土地利用变化、生态保护政策实施以及人类活动强度等因素相关。
图3 长江中游城市群ESV的LISA聚集空间分布演变

Fig.3 LISA cluster diagram of ESV in the middle reaches of the Yangtze River Urban Agglomeration

3.3 驱动因素分析

3.3.1 因子探测

表6可知,长江中游城市群ESV空间分异性受自然因素和社会因素的共同作用。由q统计量可知,高程的贡献率最大,达44.65%,是影响长江中游城市群空间分布格局的主导因子。不同高程区域,因地形、水文等条件差异,生态系统类型和功能不同,进而导致ESV差异大。其次是坡度和NDVI,贡献率分别为27.6%和26.27%,说明植被覆盖度影响生态系统服务能力。NDVI值高区域固碳、水土保持、生物栖息地供给等生态服务能力强,ESV更高;而NDVI值低区域,生态系统结构简单,服务功能较弱,ESV随之降低。坡度通过影响水土流失、植被分布等,对ESV产生影响。HAI的贡献率为22.47%,HAI是人类活动强度的具体量化体现之一。HAI越高的地区人类活动强度越大,自然生态系统被替代的程度越高,因此ESV越低。气温贡献率在10%~20%之间,气温影响植物的生长和代谢速率,从而影响生态系统的生产力。降水和人口分布的贡献率均在10%以下,对ESV空间分异性影响不大。可见,自然因子和社会因子均对长江中游城市群ESV空间分异性有影响,其中自然因子中的高程、坡度和NDVIESV空间分异性影响最大,社会因素中HAIESV空间分异性影响最大。
表6 长江中游城市群ESV空间分异的因子探测

Tab.6 Factor detection of spatial differentiation in ESV

因子 q统计量 P
自然因素 高程 0.4465 0.000
坡度 0.276 0.000
NDVI 0.2627 0.000
气温 0.1489 0.000
降水 0.0668 0.000
社会因素 HAI 0.2247 0.000
人口分布 0.0464 0.008

3.3.2 因子交互探测

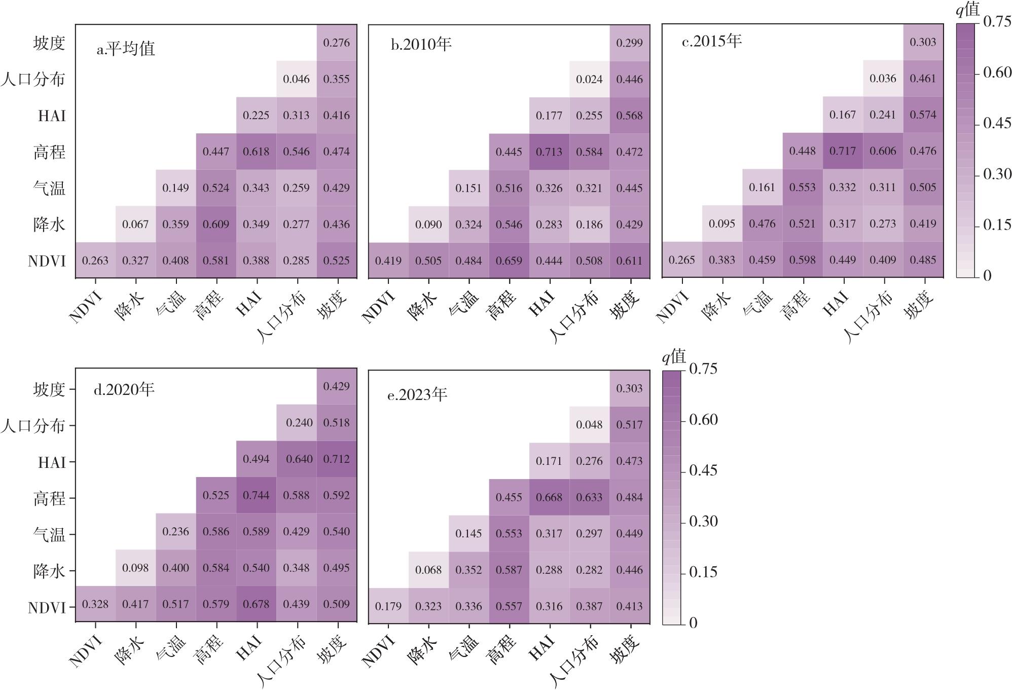
图4可知,因子交互作用对ESV空间分异性的影响大于单一因子对ESV空间分异性的影响。这表明长江中游城市群ESV空间分布格局的形成,离不开自然因素与社会因素的协同驱动,且这种共同作用呈非线性增强。其中,高程与HAIq值在多数年份都较高,表明二者交互对长江中游城市群ESV的空间分异性解释力更大,反映出地形条件与人类活动强度结合,能更有效地影响ESV空间格局。
图4 长江中游城市群ESV空间分异的因子交互探测

Fig.4 Factor interaction detection of ESV spatial differentiation in the middle reaches of the Yangtze River Urban Agglomeration

整体来看,2010—2023年长江中游城市群ESV空间分异性并非由单一驱动因子孤立影响,而是多因子共同作用的结果,且因子间交互作用的解释力超过单一因子。不同因子组合的q值随年份波动,反映出因子间解释力随时间发生改变。局部来看,具体因子组合的q值变化趋势存在差异。高程与HAIq值,2010年为0.713,2015年升至0.717,2020年进一步达到0.744,2023年回落至0.668,呈现出先上升后略有下降的态势。而NDVI与高程的q值,从2010年的0.659逐渐下降到2023年的0.557,整体呈现出下降的趋势。高程作为自然因子,与人口分布、HAI等社会因子交互时,能通过地形条件限制人类开发强度,能更好地解释ESV的空间分异性。低海拔平原区受地形限制小,HAI高,易导致生态用地向建设用地、耕地转化,削弱生态系统服务功能。高海拔山地丘陵区地形限制大,HAI低,自然生态系统保存较好,生态服务价值更高。同时,高程与NDVI、气温、降水等自然因子交互时,借助地形、植被、气候等协同效应,也能更好解释ESV空间分异性。
图5可知,生态系统服务价值的形成与变化是自然因素和社会因素相互作用、共同驱动的结果。具体来看,自然因素和社会因素并非孤立地对ESV产生作用,而是共同作用于ESV。一方面,自然因素为生态系统提供基础的物质和能量条件。其中,高程和坡度塑造了地形格局,影响着水分、热量的分布,进而作用于NDVI所反映的植被生长状况,不同高程与坡度组合形成的地形,会影响植被类型与分布,进而影响生态系统提供食物、木材等供给服务的能力。气温、降水等气候因子直接调控着生态系统的生物过程,共同对供给、调节、支持、文化等各类生态系统服务产生作用。适宜的气温和降水条件能促进生物生长繁衍,增强生态系统的气候调节、水土保持等调节与支持服务,也为文化服务如生态旅游等提供良好资源基础。另一方面,社会因素通过HAI和人口分布影响生态系统服务。HAI高时,过度开发易破坏生态系统,使供给、调节、支持服务能力下降,还可能损害文化景观价值。人口密集区对资源需求大、污染物多,加重生态系统压力,削弱各类服务,而人口稀疏区受干扰小,服务功能相对稳定且文化服务价值更突出。
图5 驱动因素的作用机制

Fig.5 Mechanism diagram of driving factors

进一步分析发现,在自然因素与社会因素交互作用下,高程、坡度等地形条件结合人类活动对土地的改造,影响着农产品与水资源等供给服务的产出能力。气温、降水的分布规律及人类对生态环境的调节行为,作用于气候调节、水文调节等调节服务的发挥。植被生长状况、生物栖息地的营造与人类对生态系统的维护,关系着养分循环、生物栖息地维持等支持服务的运行。而地形、植被等自然景观与人类活动所塑造的人文环境,共同影响着旅游、美学体验等文化服务的供给。这些服务类型的组合与质量,最终决定生态系统服务价值的高低。
综上可见,长江中游城市群因子间交互作用对ESV空间分异的解释力高于单一因子,这表明自然环境与人类活动的耦合关系对ESV的空间格局起重要作用。在区域生态保护和规划中,需充分考虑自然本底与人类活动的协同关系,以实现生态系统的可持续发展。

4 结论与建议

4.1 结论

本文基于2010、2015、2020和2023年4期土地利用数据对长江中游城市群ESV进行估算,分析2010—2023年长江中游城市群ESV损益、空间相关关系及演变特征,并结合地理探测器分析了影响该区域ESV空间异质性的驱动因素。主要结论如下:
①2010—2015年长江中游城市群ESV呈上升趋势,由22129.73亿元增加至22175.38亿元;2015—2023年研究区总ESV呈下降趋势,由22175.38减少至21992.49亿元;2010—2023年研究区总ESV累计减少137.23亿元。林地、水域是生态系统服务价值中贡献量最大的两种土地利用类型,二者贡献量占长江中游城市群ESV的90%以上。在单项服务价值中,水文调节服务价值占比最大,为78%左右,在各项生态系统服务价值中处于主导地位。
②2010—2023年长江中游城市群ESV的Moran's I指数值均大于0,表明该区域ESV存在明显的空间正相关性,且空间分布格局稳定。其中,较低值区主要集中于区域边缘和武汉、长沙、南昌核心城区及周边城市,较高值区主要集中于洞庭湖、鄱阳湖周边水域附近。同时高值区和低值区表现出明显的空间聚集特征。
③长江中游城市群ESV空间异质性受自然因素和社会因素的共同作用,不同因子对ESV空间分异向程度不同。其中,高程的解释能力最强,是影响该区域ESV空间异质性的主要因子。且任意两个因子的交互作用对该区域ESV空间异质性的影响高于单一因子对其影响。

4.2 建议

①实施核心生态要素的精准保护,筑牢生态安全底线。必须实行最严格的林地保护制度,严格控制建设用地侵占林地,同时大力推进洞庭湖、鄱阳湖等重要水域的生态修复与保护,清退非法围垦与养殖,保障生态用水需求。通过划定并严守生态保护红线,将高生态价值的林区、湖区和水系纳入优先保护范围,确保区域生态系统的核心功能不退化、面积不减少。
②构建差异化的空间管控格局,促进区域协同发展。应实施分区分类的精准管控策略,对洞庭湖、鄱阳湖周边等ESV高值区,应设立生态保护区,限制开发活动,重点发展生态旅游和绿色农业;对武汉、长沙、南昌等都市圈内的ESV低值区,则要大力推进城市生态修复,通过增加绿地、建设公园和生态廊道来提升建成区的生态功能。以此形成“高值区保育、低值区提质”的协同发展格局,遏制生态系统服务价值整体下滑的趋势。
③强化多因子驱动的协同治理,提升整体治理效能。在国土空间规划中必须充分考虑高程等自然本底条件,避免在地形复杂的生态敏感区域进行大规模开发。更重要的是,要打破行政和部门分割,推动自然资源、生态环境、水利、农业等多部门协同,通过政策与行动的联动,发挥因子间的协同效应,从而更有效地应对ESV空间异质性的复杂驱动机制,提升生态系统整体稳定性和服务功能。
[1]
姜晗, 吴群. 基于LUCC的江苏省生态系统服务价值评估及时空演变特征研究[J]. 长江流域资源与环境, 2021, 30(11):2712-2725.

[2]
Yu H, Chen C, Shao C F. Spatial and temporal changes in ecosystem service driven by ecological compensation in the Xin'an River Basin,China[J]. Ecological Indicators, 2023, 146:109798.

[3]
Xu Y, Xie Y, Wu X, et al. Evaluating temporal-spatial variations of wetland ecosystem service value in China during 1990-2020 from the donor side based on cosmic exergy[J]. Journal of Cleaner Production, 2023, 414:137485.

[4]
张百婷, 李宗省, 冯起, 等. 基于土地利用变化的祁连山地区生态系统服务价值演化分析[J]. 生态学报, 2024, 44(10):4187-4202.

[5]
袁腾跃, 万大娟, 向熠繁, 等. 潇水流域生态系统服务价值时空变化及其驱动因素[J]. 经济地理, 2024, 44(5):182-189.

DOI

[6]
Yang R, Ren F, Xu W, et al. China's ecosystem service value in 1992-2018:Pattern and anthropogenic driving factors detection using Bayesian spatiotemporal hierarchy model[J]. Journal of Environmental Management, 2022, 302:114089.

[7]
Chen Y, Rong L, Xiong K, et al. Spatiotemporal changes and driving factors of ecosystem services between karst and non-karst World Heritage sites in Southwest China[J]. Heritage Science, 2024, 12(1):278.

DOI

[8]
陈万旭, 刘志玲, 李江风, 等. 长江中游城市群生态系统服务和城镇化之间的空间关系研究[J]. 生态学报, 2020, 40(15):5137-5150.

[9]
Cao Y H, Cao Y D, Chen Z Y, et al. Ecosystem service value evolution and security pattern optimization in Huaihai economic zone[J]. Journal of Resources and Ecology, 2022, 13(6):977-985.

DOI

[10]
张家其, 朱莉, 阳斌成. 洞庭湖流域生态系统服务供需时空演变与情景预测[J]. 长江流域资源与环境, 2024, 33(8):1702-1714.

[11]
张宇, 陈宇轩, 高志鹏, 等. 基于土地利用变化的鄂尔多斯市生态系统服务价值时空演化特征分析[J]. 干旱区资源与环境, 2025, 39(2):131-140.

[12]
杨锁华, 胡守庚, 瞿诗进. 长江中游地区生态系统服务价值的地形梯度效应[J]. 应用生态学报, 2018, 29(3):976-986.

DOI

[13]
刘永强, 龙花楼. 长江中游经济带土地利用转型时空格局及其生态服务功能影响[J]. 经济地理, 2017, 37(11):161-170.

[14]
Vitasse Y, Ursenbacher S, Klein G, et al. Phenological and elevational shifts of plants,animals and fungi under climate change in the European Alps[J]. Biological Reviews, 2021, 96(5):1816-1835.

DOI

[15]
熊雪婷, 李传华, 陈佳豪. 植被对气候变化响应的地形调控作用[J]. 地理学报, 2023, 78(9):2256-2270.

DOI

[16]
Jiang W, Shu Z, Lv Y, et al. Quantifying impacts of climate and land use changes on ecosystem services from statistic perspective[J]. Ecological Indicators, 2025, 172:113285.

[17]
刘志涛, 王少剑, 方创琳. 粤港澳大湾区生态系统服务价值的时空演化及其影响机制[J]. 地理学报, 2021, 76(11):2797-2813.

DOI

[18]
Feng B, Zhou J, Hu L, et al. Land use and ecosystem service value spatiotemporal dynamics,topographic gradient effect and their driving factors in typical alpine ecosystems of the East Qinghai‐Tibet Plateau:Implications for conservation and development[J]. Ecology and Evolution, 2025, 15(3):e71125.

DOI

[19]
王晓利, 侯西勇. 1982—2014年中国沿海地区归一化植被指数(NDVI)变化及其对极端气候的响应[J]. 地理研究, 2019, 38(4):807-821.

DOI

[20]
苏宁, 丁国栋, 杜林芳, 等. 人类活动对资源型城市生态系统服务价值的影响——以鄂尔多斯为例[J]. 生态学报, 2022, 42(16):6543-6553.

[21]
危小建, 辛思怡, 张颖艺, 等. 不同格网尺度下生态系统服务价值空间分异及其影响因素差异——以大南昌都市圈为例[J]. 生态学报, 2023, 43(18):7585-7597.

[22]
马伟波, 杨帆, 王楠, 等. 长三角城市群地区生态系统服务价值时空演变及驱动因素研究[J]. 生态与农村环境学报, 2022, 38(11):1365-1376.

[23]
谢高地, 张彩霞, 张雷明, 等. 基于单位面积价值当量因子的生态系统服务价值化方法改进[J]. 自然资源学报, 2015, 30(8):1243-1254.

[24]
谢高地, 张彩霞, 张昌顺, 等. 中国生态系统服务的价值[J]. 资源科学, 2015, 37(9):1740-1746.

[25]
牛潜, 周旭, 许幼霞, 等. 基于土地利用的贵州省乌江区域生态系统服务价值演变分析[J]. 生态科学, 2018, 37(5):165-173.

[26]
牛璐, 向燕芸, 张齐飞, 等. 2000年以来黄河中游地区土地利用与生态系统服务价值时空分异特征[J]. 水土保持研究, 2025, 32(5):435-443.

[27]
陈浮, 葛小平, 陈刚, 等. 城市边缘区景观变化与人为影响的空间分异研究[J]. 地理科学, 2001(3):210-216.

[28]
黄木易, 岳文泽, 方斌, 等. 1970—2015年大别山区生态服务价值尺度响应特征及地理探测机制[J]. 地理学报, 2019, 74(9):1904-1920.

DOI

[29]
严恩萍, 林辉, 王广兴, 等. 1990—2011年三峡库区生态系统服务价值演变及驱动力[J]. 生态学报, 2014, 34(20):5962-5973.

[30]
李月, 刘静兰, 白晓永, 等. 长江上游水源涵养区生态系统服务价值多尺度空间分异——格局、过程与驱动力[J]. 生态学报, 2025, 45(7):3062-3078.

[31]
贾占华, 谷国锋. 东北地区人口分布的时空演变特征及影响因素[J]. 经济地理, 2016, 36(12):60-68.

[32]
侯孟阳, 姚顺波, 邓元杰, 等. 格网尺度下延安市生态服务价值时空演变格局与分异特征——基于退耕还林工程的实施背景[J]. 自然资源学报, 2019, 34(3):539-552.

DOI

[33]
王劲峰, 徐成东. 地理探测器:原理与展望[J]. 地理学报, 2017, 72(1):116-134.

DOI

[34]
马欢, 计伟, 冯朝阳, 等. 2000—2022年黔南州植被NDVI时空变化及驱动因子分析[J]. 环境科学研究, 2025, 38(6):1332-1343.

[35]
覃成林, 樊双涛. 中国式现代化的区域维度分析[J]. 齐鲁学刊, 2024(2):120-128.

Outlines

/