Comprehensive Evaluation and Spatial Difference of Port Shipping Competitiveness of Countries (Regions) Along the 21st Century Maritime Silk Road

  • CAI Haiya , 1, 2, 3 ,
  • PAN Kunyou , 1, 3,
Expand
  • 1. School of Economics & Management,Yancheng Institute of Technology,Yancheng 224051,Jiangsu,China
  • 2. Yancheng Institute of Industrial Economics,Yancheng Institute of Technology,Yancheng 224051,Jiangsu,China
  • 3. Public Safety and Emergency Management Research Center,Yancheng Institute of Technology,Yancheng 224051,Jiangsu,China

Received date: 2020-12-15

  Revised date: 2021-04-13

  Online published: 2025-04-17

Abstract

This paper evaluates the shipping competitiveness of the countries (regions) along the 21st century Maritime Silk Road with the help of entropy method. Then it analyzes the spatial evolution pattern of shipping competitiveness by using of kernel density function,cluster analysis and spatial autocorrelation. The results show that: 1) The development trend of port shipping competitiveness is increasing year by year. The regional development is unbalanced,and the polarization effect is very serious. 2) The comprehensive evaluation score of shipping competitiveness is positively skewed distribution,with large skewness value and scattered distribution. Countries (regions) with low scores account for a large proportion. 3) The kernel density curve of shipping competitiveness moves to the right year by year,and the peak height of kernel density curve decreases year by year. Meanwhile,the function interval shows a small expansion,and there are still two peaks. It reflects that the absolute difference of shipping competitiveness is increasing year by year,and the polarization phenomenon is increasing. 4) According to the comprehensive score index of shipping competitiveness,it can be divided into four types: stronger competitiveness,strong competitiveness,general competitiveness and poor competitiveness. 5) The shipping competitiveness of countries (regions) along the line has obvious positive spatial correlation,and Matthew effect is significant. The spatial development pattern is moving from centralization to decentralization.

Cite this article

CAI Haiya , PAN Kunyou . Comprehensive Evaluation and Spatial Difference of Port Shipping Competitiveness of Countries (Regions) Along the 21st Century Maritime Silk Road[J]. Economic geography, 2021 , 41(11) : 28 -37 . DOI: 10.15957/j.cnki.jjdl.2021.11.004

21世纪海上丝绸之路覆盖了东亚、东南亚、南亚、西亚、欧洲、北非和东非等地区的64个国家(地区),占全球的42%以上,商品贸易和GDP在全球具有重要的影响,该倡议是习近平主席在访问东盟时提出的一种新的贸易合作形式[1]。我国提出建设21世纪海上丝绸之路目的在于,进一步深化改革开放,加速经济全球化进程,推动沿线国家经济共同发展[2]。航运是联系国内和国际市场的海上枢纽,是海上丝绸之路贸易开展的关键载体,同时也是各国进行贸易、资金、技术、人才和信息合作的协调中心,因此航运竞争力的大小对沿线国家贸易发展存在不容忽视的影响[3-6]。科学评估21世纪海上丝绸之路沿线国家(地区)航运竞争力,有助于21世纪海上丝绸之路倡议的有序推进,对沿线国家(地区)经济高质量发展具有重要意义。
目前,航运竞争力引发了国内外学术界的广泛关注和研究热潮,现有研究主要集中在以下三个方面:
①研究内容主要集中在港口竞争力或者港口效率评价,具体可以分为港口上市公司、集装箱港口、自贸区港口等三个方面。在港口上市公司方面,Ha等对大型班轮运输企业竞争力进行分析,发现韩国和其他国际航运公司的利润差异受到航线专业化、燃油价格、规模经济和租船比率的影响[7]。冯烽等测算了2010—2015年中国17家港口上市公司的运营效率,研究发现仅有半数上市公司达到最优的相对效率,其余上市公司港口竞争力仍有较大的提升空间[8]。在自贸区港口方面,朱鹏颐等以中国自贸试验区7大港口为例,实证结果表明:2009—2014年中国自贸试验区港口效率呈现上升的发展态势,技术进步显著促进了港口全要素生产率,规模效率是综合技术效率提升的主导因素[9]。在集装箱港口方面,Yuen等从用户角度分析中国及周边国家港口竞争力,研究指出港口成本是航运班轮最重要的因素,而港口位置是货代和托运人最重要的因素[10]。鲁渤等借助多种模型测度了中韩两国31个集装箱码头的运营效率,研究指出集装箱码头的平均效率为0.783,资源使用效率不高,虽然中国集装箱码头的总效率高于韩国,但资源使用效率低于韩国[11]
②研究方法较为多元化,主要集中在层次分析法、熵权TOPSIS、复杂网络分析、云模型、动态投资组合分析、DEA模型等方法。如Lee等借助层次分析法研究航运竞争力的影响因素,发现排在前五位的依次为航运服务专业化指数、航运服务出口市场份额、世界前150家航运企业中本土航运企业的数量、海运服务的能力和质量和货物进出口[12]。吴慧等利用云模型评价国际邮轮港口竞争力,研究发现上海港和天津港已达到欧洲二流邮轮港口的水平,与欧洲一流港口仍有较大的差距[13]。Dang等采用动态投资组合分析法分析了2009—2014年东南亚国家联盟5个国家的前20个集装箱港口竞争力,填补了研究东南亚集装箱港口竞争战略地位分析的空白[14]。刘勇等借助网络DEA模型分析了中国集装箱吞吐量排名前十港口的综合效率,结果发现地区港口效率的发展差异较大,长三角地区的港口生产效率和环境效率较高,珠三角地区的集装箱化效率更高,环渤海地区的港口综合效率处于平均水平[15]。陈芙英等利用熵权TOPSIS和复杂网络分析法测算了我国沿海18个主要港口的竞争力,结果表明上海港、宁波—舟山港、深圳港竞争力较强,湛江港、珠海港、汕头港竞争力较弱[16]
③研究区域分布较广,主要集中在单一国家或者某一特定区域。如Kim等利用熵值TOPSIS法测度了韩国和中国港口竞争力,结果显示上海、深圳和釜山港口的竞争力远高于宁波、天津、大连、广州、青岛、光阳、仁川[17]。Kutin等比较了东盟50个集装箱港口的相对效率,研究发现港口效率整体偏低,规模效率是限制整体竞争力提升的主要原因[18]。Chang等借助两阶段方法探讨出口信贷管制条例对欧洲经营港口效率的影响,研究发现:出口信贷机构的监管会损害港口效率,出口信贷机构的平均效率损失为0.058~0.066,占出口信贷机构港口平均效率损失的15%~18%[19]。Beatriz等测算了2012—2017年阿根廷集装箱货物码头的技术效率水平,结果显示集装箱货物码头整体技术效率较低,有助于公私营商之间开展良好的合作[20]。Kuo等认为生产力是港口发展竞争力和市场潜力的重要因素之一,同时借助数据包络分析与预测相结合的方法对越南53个港口竞争力进行有效测量并对未来绩效做出预测[21]
既往研究为本文提供了重要的借鉴,但目前研究的对象主要为港口、上市公司、码头效率,研究的地区主要集中在单一国家或者某一特定区域,鲜有将21世纪海上丝绸之路纳入到研究框架内,缺乏21世纪海上丝绸之路不同国家(地区)航运竞争力评价及其空间差异的探讨。基于此,本文以21世纪海上丝绸之路沿线国家(地区)为研究对象,采用熵值法对其航运竞争力进行综合评价,并借助核密度函数、聚类分析和空间自相关方法分析航运竞争力的空间演变格局,有助于为21世纪海上丝绸之路沿线国家(地区)航运竞争力的提升提供政策参考。

1 研究方法与数据来源

1.1 研究方法

1.1.1 熵值法

熵最早源自于物理学领域的热力学,主要用来衡量系统的混乱程度,社会科学将其用来评价社会可持续发展问题。信息论指出熵是用来测度系统的混乱度,信息则用来测度系统的有序度,二者虽然符号截然相反,但具有同等的绝对值。若指标差异越大,熵值就越小,包含的信息量就越大,该指标对结果的影响也就越大,其权重亦越大,反之则相反。熵值法是一种客观赋值的多目标决策方法,可以在一定程度上消除主观因素带来的偏差,削弱多指标变量之间的信息重叠的难题[22]

1.1.2 核密度估计

核密度估计主要借助连续密度曲线来描述随机变量得分分布形态,是一种求解其概率密度的非参数估计方法,目前已广泛运用到描述经济变量非均衡分布的领域。本文运用核密度估计旨在揭示21世纪海上丝绸之路沿线国家(地区)航运竞争力的绝对差异变化。假设 f ( x )为随机变量 X的密度函数,在点 x的密度函数如下所示:
f ( x ) = 1 / N h i = 1 N K X i - X ¯ / h
式中: N为样本数量; h为带宽; X i为独立同分布观测值; X ¯为均值; K ( )为核函数。

1.1.3 空间关联分析

在空间关联分析之前,需要检验统计数据是否存在空间自相关性,常用计量指标有Getis-Ord G、Moran′s I、Geary′s C等,本文借助Moran′s I来测度航运竞争力的空间自相关性。

1.2 指标选取与数据来源

21世纪海上丝绸之路沿线涉及的国家(地区)众多,覆盖了东亚、东南亚、南亚、西亚、欧洲、北非和东非等地区。本文基于航运竞争力的发展内涵,充分借鉴已有学者的研究成果,基于指标选取的系统性、可比性、科学性以及数据易获取性原则,从港口基础设施质量、港口运输密度、经济产出和东道国制度环境等四个维度选取了14个指标,构建了21世纪海上丝绸之路沿线国家(地区)航运竞争力综合评价指标体系(表1)。其中,港口基础设施质量采用跟踪货物的能力、物流服务能力和质量、具有竞争性价格的货运服务的便捷性、海关清关效率、货物在预定或预期时间内到达收货人的频率、贸易和运输相关基础设施的质量等六个维度得分均值来刻画,旨在衡量国家(地区)物流绩效发展水平,数据来源于世界银行的世界发展指标数据库(WDI)。港口运输密度借助班轮连通度来衡量,旨在反映各国(地区)与全球航运网络的连通程度,数据来源于联合国贸易和发展会议(UNCTAD)。经济产出利用货柜码头吞吐量来衡量,旨在反映国家(地区)航运贸易发展规模,数据来源于世界银行的世界发展指标数据库(WDI)。东道国制度环境借助腐败管控、政府效率、政治稳定、法制程度、管制力度和民众话语权等6个维度指标来衡量,旨在反映国家(地区)制度环境因素,数据来源于世界银行的WGI指数(World Govern Index)。
表1 沿线国家(地区)航运竞争力评价指标体系

Tab.1 Evaluation index system of shipping competitiveness of countries (regions) along the 21st century Maritime Silk Road

类别 具体指标 数据来源
港口基础设施质量 跟踪货物的能力 世界银行的世界发展指标数据库(WDI)
物流服务能力和质量
具有竞争性价格的货运服务的便捷性
海关清关效率
货物在预定或预期时间内到达收货人的频率
贸易和运输相关基础设施的质量
港口运输密度 班轮连通度 联合国贸易和发展会议(UNCTAD)
经济产出 货柜码头吞吐量 世界银行的世界发展指标数据库(WDI)
东道国制度环境 腐败管控 世界银行的WGI指数
(World Govern Index)
政府效率
政治稳定
法制程度
管制力度
民众话语权
考虑到数据的易获取性,本文最终选取2007—2018年21世纪海上丝绸之路沿线的48个代表性国家(地区)作为研究对象,依次为中国大陆、中国香港、日本、韩国、印度尼西亚、柬埔寨、缅甸、马来西亚、菲律宾、新加坡、泰国、越南、孟加拉国、印度、斯里兰卡、马尔代夫、巴基斯坦、阿联酋、巴林、伊朗、以色列、科威特、黎巴嫩、阿曼、卡塔尔、沙特阿拉伯、土耳其、塞浦路斯、阿尔及利亚、埃及、西班牙、法国、希腊、克罗地亚、意大利、利比亚、摩洛哥、马耳他、斯洛文尼亚、突尼斯、吉布提、肯尼亚、马达加斯加、莫桑比克、毛里求斯、苏丹、坦桑尼亚、南非。对于缺失不严重的数据采用序列平均法补齐。

2 沿线国家(地区)航运竞争力综合评价

2.1 总体差异分析

根据熵值法计算出2007—2018年21世纪海上丝绸之路沿线国家(地区)航运竞争力的综合得分,结果见表2。从总体层面看,2007—2018年21世纪海上丝绸之路沿线国家(地区)航运竞争力有所提高,历年综合得分均值分别是0.1953、0.2015、0.2074、0.2114、0.2159、0.2209,呈逐年增长的发展态势。航运竞争力指数由2007年的0.1953增长至2018年的0.2209,升幅约13.11%,国家(地区)平均水平为0.2087,有12个国家(地区)超过平均水平,36个国家(地区)低于平均水平。
表2 沿线国家(地区)航运竞争力综合水平评价得分

Tab.2 Comprehensive evaluation score of shipping competitiveness of countries(regions) along the 21st century Maritime Silk Road

国家(地区) 年份 综合指数 排名
2007 2010 2012 2014 2016 2018
沿线国家(地区)平均 0.1953 0.2015 0.2074 0.2114 0.2159 0.2209 0.2087
中国大陆 0.5046 0.6212 0.6957 0.7570 0.8016 0.8866 0.7111 1
中国香港 0.3723 0.3680 0.3724 0.3703 0.3569 0.3609 0.3668 4
日本 0.3384 0.3376 0.3385 0.3405 0.3496 0.3500 0.3424 2
韩国 0.3053 0.3142 0.3361 0.3444 0.3535 0.3708 0.3374 5
东亚地区平均 0.3802 0.4103 0.4357 0.4531 0.4654 0.4921 0.4394
印度尼西亚 0.1760 0.1842 0.1978 0.2086 0.2104 0.2236 0.2001 17
柬埔寨 0.1162 0.1142 0.1216 0.1262 0.1293 0.1243 0.1220 45
缅甸 0.0648 0.0701 0.0898 0.0979 0.1226 0.1134 0.0931 46
马来西亚 0.2757 0.2814 0.3030 0.3185 0.3187 0.3246 0.3036 9
菲律宾 0.1529 0.1597 0.1688 0.1842 0.1792 0.1847 0.1716 30
新加坡 0.3768 0.3855 0.4057 0.4055 0.4115 0.4293 0.4024 3
泰国 0.1902 0.1911 0.1953 0.2007 0.2013 0.2089 0.1979 14
越南 0.1566 0.1772 0.1921 0.1953 0.2197 0.2340 0.1958 21
东南亚地区平均 0.1886 0.1954 0.2093 0.2171 0.2241 0.2304 0.2108
孟加拉国 0.1141 0.1213 0.1198 0.1259 0.1287 0.1299 0.1233 42
印度 0.2035 0.2071 0.2055 0.2132 0.2334 0.2420 0.2175 11
斯里兰卡 0.1652 0.1670 0.1798 0.1871 0.2093 0.2177 0.1877 28
马尔代夫 0.1340 0.1416 0.1315 0.1525 0.1408 0.1361 0.1394 37
巴基斯坦 0.1251 0.1234 0.1220 0.1305 0.1373 0.1363 0.1291 40
南亚地区平均 0.1484 0.1521 0.1517 0.1619 0.1699 0.1724 0.1594
阿联酋 0.2621 0.2711 0.2860 0.2915 0.2995 0.3022 0.2854 10
巴林 0.1637 0.1700 0.1552 0.1648 0.1604 0.1610 0.1625 32
伊朗 0.1257 0.1214 0.1214 0.1218 0.1421 0.1410 0.1289 36
以色列 0.2027 0.2062 0.2142 0.2147 0.2284 0.2257 0.2153 18
科威特 0.1760 0.1775 0.1598 0.1598 0.1597 0.1649 0.1663 31
黎巴嫩 0.1298 0.1511 0.1490 0.1486 0.1482 0.1485 0.1459 34
阿曼 0.1960 0.1978 0.2052 0.2110 0.2135 0.2167 0.2067 23
卡塔尔 0.1739 0.1845 0.1935 0.1881 0.1867 0.2055 0.1887 25
沙特阿拉伯 0.1791 0.1916 0.1982 0.1998 0.2033 0.2082 0.1967 15
土耳其 0.1939 0.1994 0.2183 0.2203 0.1997 0.2045 0.2060 13
西亚地区平均 0.1803 0.1871 0.1901 0.1921 0.1942 0.1978 0.1902
塞浦路斯 0.2184 0.2192 0.2223 0.2145 0.2134 0.2100 0.2163 22
西班牙 0.3000 0.3008 0.3056 0.3100 0.3204 0.3236 0.3101 7
法国 0.2855 0.2869 0.2887 0.2896 0.2916 0.2952 0.2896 6
希腊 0.2182 0.2030 0.2100 0.2190 0.2161 0.2336 0.2167 19
克罗地亚 0.1815 0.1888 0.1962 0.1969 0.2028 0.2084 0.1958 26
意大利 0.2729 0.2631 0.2714 0.2730 0.2746 0.2750 0.2717 8
马耳他 0.2405 0.2465 0.2510 0.2523 0.2548 0.2536 0.2498 12
斯洛文尼亚 0.2161 0.2157 0.2210 0.2225 0.2284 0.2336 0.2229 20
欧洲地区平均 0.2417 0.2405 0.2458 0.2472 0.2503 0.2541 0.2466
阿尔及利亚 0.1128 0.1157 0.1152 0.1217 0.1260 0.1241 0.1192 43
埃及 0.1701 0.1762 0.1811 0.1765 0.1808 0.1804 0.1775 29
利比亚 0.1150 0.1048 0.0906 0.0826 0.0670 0.0667 0.0878 47
摩洛哥 0.1404 0.1877 0.1898 0.1974 0.1998 0.2019 0.1862 27
突尼斯 0.1496 0.1444 0.1526 0.1486 0.1427 0.1467 0.1474 33
北非地区平均 0.1376 0.1458 0.1459 0.1453 0.1433 0.1439 0.1436
吉布提 0.1247 0.1369 0.1237 0.1220 0.1339 0.1462 0.1312 41
肯尼亚 0.1282 0.1338 0.1287 0.1391 0.1469 0.1462 0.1371 38
马达加斯加 0.1457 0.1201 0.1279 0.1250 0.1261 0.1245 0.1282 44
莫桑比克 0.1446 0.1474 0.1482 0.1378 0.1248 0.1263 0.1382 39
毛里求斯 0.1973 0.2040 0.2141 0.2073 0.2141 0.2159 0.2088 24
苏丹 0.0819 0.0743 0.0760 0.0761 0.0827 0.0842 0.0792 48
坦桑尼亚 0.1410 0.1493 0.1504 0.1407 0.1514 0.1440 0.1461 35
南非 0.2154 0.2164 0.2151 0.2156 0.2188 0.2126 0.2157 16
东非地区平均 0.1474 0.1478 0.1480 0.1455 0.1498 0.1500 0.1481

2.2 区域差异分析

从区域层面看,东亚地区沿线国家(地区)航运竞争力综合得分最高,其平均值为0.4394。欧洲地区和东南亚地区次之,平均值依次为0.2466、0.2108。西亚地区和南亚地区再次之,得分平均值分别为0.1902、0.1594。东非和北非地区沿线国家航运竞争力最差,平均得分为0.1481、0.1436。可以发现,21世纪海上丝绸之路沿线国家(地区)航运竞争力相对较高的国家(地区)集中在东亚地区、欧洲地区和东南亚地区,航运竞争力较低的国家主要分布在北非地区和东非地区。

2.3 国家(地区)差异分析

从国家(地区)层面看,21世纪海上丝绸之路沿线国家(地区)航运竞争力综合评价得分历年极差值分别为0.4398、0.5511、0.6197、0.6809、0.7346、0.8199,差距在明显增大,表明国家(地区)间发展不平衡,极化效应十分严重。综合得分排名前10位的国家(地区)分别是中国大陆、中国香港、日本、韩国、马来西亚、新加坡、阿联酋、西班牙、法国、意大利,其中位于东亚地区的国家(地区)4个,东南亚地区2个,西亚地区1个,欧洲地区3个;排名后10位的国家分别是柬埔寨、缅甸、孟加拉国、巴基斯坦、阿尔及利亚、利比亚、吉布提、马达加斯加、莫桑比克、苏丹,其中位于东南亚地区的国家2个,南亚地区2个,北非地区2个,东非地区4个。以上数据表明,2007—2018年21世纪海上丝绸之路沿线国家(地区)港口航运竞争力在整体上有了一定幅度的上升,七大地区和沿线国家(地区)港口航运竞争力均有所提升,但国家(地区)间的极化作用明显增强,发展极不均衡。

2.4 指数差异分析

表3显示,2007—2018年21世纪海上丝绸之路沿线国家(地区)航运竞争力港口基础设施质量指数、港口运输密度指数、经济产出指数、东道国制度环境指数具有较为明显的差异,其平均得分依次为0.0357、0.0331、0.0255、0.1145,经济产出和港口运输密度指数得分明显低于港口基础设施质量和东道国制度环境,是阻碍航运竞争力发展的主要因素。
表3 沿线国家(地区)航运竞争力各维度指数

Tab.3 Indexes of shipping competitiveness of countries(regions) along the 21st century Maritime Silk Road

区域 港口基础设
施质量指数
港口运输
密度指数
经济产
出指数
东道国制度
环境指数
区域 港口基础设
施质量指数
港口运输
密度指数
经济产
出指数
东道国制度
环境指数
沿线国家(地区)平均 0.0357 0.0331 0.0255 0.1145 卡塔尔 0.0390 0.0113 0.0018 0.1366
中国大陆 0.0419 0.1137 0.4654 0.0901 沙特阿拉伯 0.0371 0.0439 0.0189 0.0968
中国香港 0.0474 0.0791 0.0600 0.1803 土耳其 0.0395 0.0408 0.0215 0.1042
日本 0.0477 0.0615 0.0562 0.1770 西亚地区平均 0.0372 0.0293 0.0122 0.1115
韩国 0.0434 0.0763 0.0631 0.1546 塞浦路斯 0.0363 0.0150 0.0009 0.1641
东亚地区平均 0.0451 0.0827 0.1612 0.1505 西班牙 0.0439 0.0701 0.0394 0.1567
印度尼西亚 0.0351 0.0307 0.0294 0.1049 法国 0.0460 0.0577 0.0156 0.1704
柬埔寨 0.0303 0.0054 0.0010 0.0853 希腊 0.0371 0.0341 0.0088 0.1367
缅甸 0.0264 0.0064 0.0018 0.0585 克罗地亚 0.0353 0.0186 0.0005 0.1414
马来西亚 0.0408 0.0739 0.0572 0.1317 意大利 0.0439 0.0542 0.0270 0.1466
菲律宾 0.0343 0.0208 0.0170 0.0994 马耳他 0.0345 0.0344 0.0075 0.1734
新加坡 0.0490 0.0835 0.0882 0.1818 斯洛文尼亚 0.0379 0.0195 0.0018 0.1637
泰国 0.0391 0.0356 0.0240 0.0992 欧洲地区平均 0.0394 0.0380 0.0127 0.1566
越南 0.0357 0.0393 0.0258 0.0951 阿尔及利亚 0.0287 0.0102 0.0029 0.0775
东南亚地区平均 0.0363 0.0370 0.0306 0.1070 埃及 0.0333 0.0462 0.0186 0.0795
孟加拉国 0.0304 0.0086 0.0048 0.0795 利比亚 0.0265 0.0098 0.0007 0.0507
印度 0.0372 0.0427 0.0300 0.1076 摩洛哥 0.0320 0.0427 0.0087 0.1028
斯里兰卡 0.0301 0.0340 0.0134 0.1043 突尼斯 0.0319 0.0081 0.0011 0.1063
马尔代夫 0.0297 0.0051 0.0002 0.1045 北非地区平均 0.0305 0.0234 0.0064 0.0834
巴基斯坦 0.0315 0.0265 0.0068 0.0644 吉布提 0.0260 0.0197 0.0019 0.0837
南亚地区平均 0.0318 0.0234 0.0110 0.0921 肯尼亚 0.0321 0.0135 0.0025 0.0890
阿联酋 0.0449 0.0540 0.0483 0.1383 马达加斯加 0.0285 0.0090 0.0004 0.0903
巴林 0.0375 0.0169 0.0008 0.1073 莫桑比克 0.0281 0.0106 0.0010 0.0985
伊朗 0.0306 0.0246 0.0066 0.0671 毛里求斯 0.0307 0.0196 0.0011 0.1573
以色列 0.0401 0.0263 0.0068 0.1422 苏丹 0.0276 0.0105 0.0012 0.0400
科威特 0.0358 0.0099 0.0037 0.1168 坦桑尼亚 0.0302 0.0124 0.0023 0.1012
黎巴嫩 0.0323 0.0294 0.0030 0.0812 南非 0.0421 0.0308 0.0118 0.1311
阿曼 0.0356 0.0362 0.0106 0.1244 东非地区平均 0.0307 0.0158 0.0028 0.0989
从港口基础设施质量层面来看,东亚地区、欧洲地区和西亚地区的港口基础设施质量明显优于其他地区,有23个国家(地区)高于均值0.0357,占总数的47.92%,其中新加坡的得分为0.0490,居首位。日本、中国香港、法国、阿联酋分别居于2~5位,而吉布提居末位,得分仅为0.0260。从港口运输密度层面来看,东亚地区、东南亚地区和欧洲地区的港口运输密度明显高于其他地区,有21个国家(地区)得分高于均值,占总数的43.75%,排在前五位的依次为中国大陆、新加坡、中国香港、韩国、马来西亚,而马尔代夫居末位,得分仅为0.0051。从经济产出层面来看,东亚地区、东南亚地区的经济产出明显高于其他5个地区,仅有12个国家(地区)超过均值,75%的国家未达到平均水平,中国大陆、新加坡、韩国、中国香港、马来西亚排在前列,马尔代夫位于最后一位,得分仅为0.0002。从东道国制度环境层面来看,东亚地区和欧洲地区的东道国制度环境明显优于其他地区,有20个国家(地区)得分高于均值,占总数的41.67%,其中新加坡的得分为0.1818,居首位。中国香港、日本、马耳他、法国分别居于2~5位,而苏丹居末位,得分仅为0.0400。

2.5 类型差异分析

目前国际航运中心可以分为复合型、中转型、腹地型等三大类别,不同类型的国际航运中心其航运竞争力也存在较大的差异。表4显示,2007—2018年沿线48个国家(地区)中以复合型为主的国家有8个,占国家总数的16.67%,历年平均得分为0.2351;以中转型为主的国家(地区)有9个,占国家总数的18.75%,历年平均得分为0.2256;以腹地型为主的国家高达31个,占国家总数的64.58%,历年平均得分为0.1970。
表4 沿线国家(地区)、航运竞争力类型划分

Tab.4 Type division of shipping competitiveness types of countries(regions) along the 21st century Maritime Silk Road

类型 国家(地区)、(综合指数)
复合型 印度尼西亚(0.2001)、马来西亚(0.3036)、菲律宾(0.1716)、阿联酋(0.2854)、西班牙(0.3101)、希腊(0.2167)、埃及(0.1775)、南非(0.2157),历年均值(0.2351)
中转型 中国香港(0.3668)、新加坡(0.4024)、斯里兰卡(0.1877)、马尔代夫(0.1394)、塞浦路斯(0.2163)、马耳他(0.2498)、吉布提(0.1312)、马达加斯加(0.1282)、毛里求斯(0.2088),历年均值(0.2256)
腹地型 中国大陆(0.7111)、日本(0.3424)、韩国(0.3374)、柬埔寨(0.1220)、缅甸(0.0931)、泰国(0.1979)、越南(0.1958)、孟加拉国(0.1233)、印度(0.2175)、巴基斯坦(0.1291)、巴林(0.1625)、伊朗(0.1289)、以色列(0.2153)、科威特(0.1663)、黎巴嫩(0.1459)、阿曼(0.2067)、卡塔尔(0.1887)、沙特阿拉伯(0.1967)、土耳其(0.2060)、法国(0.2896)、克罗地亚(0.1958)、意大利(0.2717)、斯洛文尼亚(0.2229)、阿尔及利亚(0.1192)、利比亚(0.0878)、摩洛哥(0.1862)、突尼斯(0.1474)、肯尼亚(0.1371)、莫桑比克(0.1382)、苏丹(0.0792)、坦桑尼亚(0.1461),历年均值(0.1970)
在以复合型为主的国家中,有3个国家(地区)高于均值0.2351,占总数的37.50%,其中西班牙的航运竞争力最高,其次是马来西亚,而菲律宾居末位,得分仅为0.1716。究其原因可能在于:西班牙地理位置优越,位于欧洲西南部的伊比利亚半岛,地处欧洲与非洲的交界处,邻近亚洲、东非、地中海等区域通往欧洲的主要航道直布罗陀海峡,同时港口数量众多,港口和船舶的密集度较高;而菲律宾是一个群岛国家,经济较为落后,因此对航运的基础设施投资力度较小。在以中转型为主的国家中,有3个国家(地区)高于均值0.2256,占总数的33.33%,其中新加坡的得分为0.4024,居首位,中国香港紧随其后,得分为0.3668,而马达加斯加居末位,得分仅为0.1282。其原因可能在于:新加坡拥有强大的经济实力、独特的地理位置,国际中转中心业务发达,实行自由港政策以及提供各项收费优惠,极大地促进了新加坡港口贸易的发展;而马达加斯加虽然内河航道总长3 500 km,但可以用来航运的部分仅占10%,80%~90%的海运集中在东部港口塔马塔夫,年吞吐量仅约为140万t。在以腹地型为主的国家中,有11个国家(地区)高于均值0.1970,占总数的35.48%,其中中国大陆的得分最高,居第一,日本、韩国、法国、印度分别居于2~5位,而苏丹居末位,得分仅为0.0792。其原因可能在于:我国地域辽阔,港口众多,经济实力雄厚,全球前十大港口我国占了7个,且前3名均为我国港口,相关数据显示2018年全国港口货物吞吐量完成143亿t,居世界第一。而苏丹经济较为落后,对航运的基础设施投资力度较小,港口大型设备较少,装卸主要靠人力,船只进港滞留时间较长,港口效率航运较低。

3 沿线国家(地区)航运竞争力空间差异分析

3.1 总体差异特征

表5描述了21世纪海上丝绸之路沿线国家(地区)航运竞争力综合评价得分的分布特征,平均得分为0.2087,得分最高为0.8865,得分最低为0.0648,全距为0.8217,数值较大,表明沿线国家(地区)航运竞争力存在较大的差异。另外,沿线国家(地区)航运竞争力综合评价得分频数分布偏度值为2.7674,但数据偏离中心,呈现右偏态分布正偏态分布。峰度值为15.1343,与正态分布相比,坡度更为陡峭,具有尖峰分布特征。标准差为0.1058,数值相对较小,说明样本数据离散程度较低,分布较为集中,即得分较低的国家(地区)所占份额较大。
表5 沿线国家(地区)航运竞争力综合评价得分的分布特征

Tab.5 Distribution characteristics of comprehensive evaluation scores of shipping competitiveness of countries (regions) along the 21st century Maritime Silk Road

指标 最小值 最大值 平均值 全距 标准差 偏度 峰度
数值 0.0648 0.8865 0.2087 0.8217 0.1058 2.7674 15.1343

3.2 核密度分析

图2绘制了21世纪海上丝绸之路沿线国家(地区)航运竞争力综合指数的空间分布及动态演进。2007—2018年航运竞争力核密度曲线逐年向右移动,表明沿线国家(地区)航运竞争力呈现逐年增长的发展态势。2007和2010年航运竞争力核密度曲线波峰高度持平,波峰宽度略微扩大,出现明显的双峰形态,表明2010年沿线国家整体航运竞争力绝对差异在增大,并且存在一定的极化效应。与2007、2010年比,2012、2014、2016和2018年航运竞争力核密度曲线波峰高度逐年下降,函数区间呈现小幅扩大,且仍存在双峰形态,说明2012、2014、2016和2018年沿线国家(地区)航运竞争力绝对差异逐年变大,并且极化现象在不断增强。
图2 沿线国家(地区)航运竞争力综合指数的核密度分布

Fig.2 Kernel density distribution of comprehensive index of shipping competitiveness of countries(regions) along the 21st century Maritime Silk Road

3.3 聚类分析

将21世纪海上丝绸之路沿线国家(地区)航运竞争力综合指数作为变量导入SPSS19.0软件,依据系统聚类法对48个国家(地区)进行聚类分析,可将其分成以下四类区域。
第Ⅰ类(F>0.25),航运竞争力强的区域,综合评价得分的均值为0.3721,包括中国大陆、新加坡、中国香港、日本、韩国、西班牙、马来西亚、法国、阿联酋、意大利等10个国家(地区),其中4个国家(地区)位于东亚地区,3个国家位于欧洲地区,2个国家位于东南亚地区,1个国家位于西亚地区。上述国家(地区)在全球国际地位与影响力较强,经济实力雄厚,人口密集,港口众多,居民消费需求旺盛,依托完善的港口基础设施、较高的港口运输密度、巨大的经济产出和良好的东道国制度环境,国家(地区)整体航运竞争力能力较强。
第Ⅱ类(0.20<F<0.25),航运竞争力较强的区域,综合评价得分的均值为0.2160,包括马耳他、斯洛文尼亚、印度、希腊、塞浦路斯、南非、以色列、毛里求斯、阿曼、土耳其、印度尼西亚等11个国家,其中1个位于东南亚地区,1个位于南亚地区,3个位于西亚地区,4个位于欧洲地区,2个位于东非地区。上述类型主要集中在西亚地区和欧洲地区经济实力次级发达国家,基础设施质量、港口运输密度、经济产出、东道国制度环境处于沿线中偏上档次,但与第一梯队国家相比,差距较为明显。
第Ⅲ类(0.15<F<0.20),航运竞争力一般的区域,综合评价得分的均值为0.1842,包括泰国、沙特阿拉伯、越南、克罗地亚、卡塔尔、斯里兰卡、摩洛哥、埃及、菲律宾、科威特、巴林等11个国家,其中3个国家位于东南亚地区,1个位于南亚地区,4个位于西亚地区,1个位于欧洲地区,2个位于北非地区。该类型国家主要集中在西亚和东南亚经济欠发达地区,港口分布相对较少,基础设施质量、东道国制度环境发展处于沿线中等档次,港口运输密度和经济产出处于沿线中等偏下档次,是该类地区的主要短板,阻碍了地区航运竞争力的提升。
第Ⅳ类(F<0.15),航运竞争力较差的区域,综合评价得分的均值为0.1248,包括突尼斯、坦桑尼亚、黎巴嫩、马尔代夫、莫桑比克、肯尼亚、吉布提、巴基斯坦、伊朗、马达加斯加、孟加拉国、柬埔寨、阿尔及利亚、缅甸、利比亚、苏丹等16个国家,其中2个位于东南亚地区,2个位于西亚地区,3个位于南亚地区,3个位于北非地区,6个位于东非地区。该类国家主要集中在东非和北非地区,国家经济实力较弱,居民消费能力不强,港口贸易不发达,对外贸易水平不高,加之港口基础设施质量较差、港口运输密度联系不紧密、经济产出规模较小和东道国制度环境一般,导致国家整体航运竞争力能力较差。

3.4 空间自相关分析

为进一步了解21世纪海上丝绸之路沿线国家(地区)航运竞争力的空间关联情况,本文运用空间自相关模型进行分析。表6报告了2007—2018年沿线国家(地区)航运竞争力的Moran′s I指数及其Z统计值。研究发现,各年份的Moran′s I指数均显著为正,表明沿线国家(地区)航运竞争力存在明显的空间正相关,“马太效应”显著,具体表现在航运竞争力较强的地区趋于形成“高高”集聚阵营,航运竞争力较弱的地区趋于形成“低低”集聚阵营,呈现差异显著的两大组团式环状“俱乐部”。与2007年相比,2010、2012、2014、2016、2018年的Moran′s I指数有所下降,“马太效应”有所减弱。
表6 沿线国家(地区)航运竞争力的Moran′s I指数

Tab.6 Moran′s I of shipping competitiveness of countries (regions) along the 21st century Maritime Silk Road

年份 2007 2010 2012 2014 2016 2018
Moran′s I 0.051** 0.044** 0.048** 0.051** 0.050** 0.046**
Z统计值 2.247 2.122 2.326 2.519 2.531 2.494
P 0.025 0.034 0.020 0.012 0.011 0.013

注:***、**、*分别表示在1%、5%和10%的水平上显著。

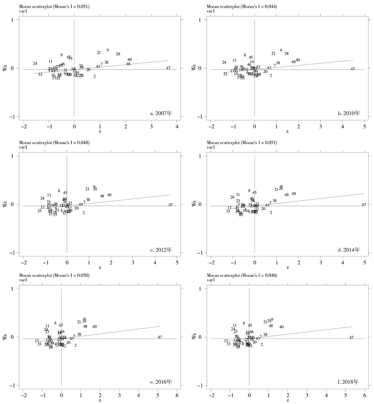
Global Moran′s I指数仅能反映沿线国家(地区)航运竞争力的整体空间集聚效应,无法揭示局部单元在邻近空间的关联程度。为了弥补该不足,本文以2007、2010、2012、2014、2016、2018年为时间节点,借助Local Moran′s I指数来衡量航运竞争力的空间异质性,通过Moran散点图来探究沿线国家(地区)航运竞争力的空间关联程度(图3)。由图3可知,2007、2010、2012、2014、2016、2018年绝大多数国家(地区)都位于第一、第三象限,表明高值集聚和低值集聚现象是沿线国家(地区)航运竞争力空间关系的主要形式。航运竞争力较高的国家(地区)趋于强强集聚,形成“高地区域”;航运竞争力较低的国家(地区)趋于弱弱集聚,形成“洼地区域”,在空间上为组团式的环状分布。
图3 沿线国家(地区)航运竞争力空间分布Moran散点图

注:1~48依次代表阿尔及利亚、阿联酋、阿曼、埃及、巴基斯坦、巴林、法国、菲律宾、韩国、吉布提、柬埔寨、卡塔尔、科威特、克罗地亚、肯尼亚、黎巴嫩、利比亚、马达加斯加、马尔代夫、马耳他、马来西亚、毛里求斯、孟加拉国、缅甸、摩洛哥、莫桑比克、南非、日本、塞浦路斯、沙特阿拉伯、斯里兰卡、斯洛文尼亚、苏丹、泰国、坦桑尼亚、突尼斯、土耳其、西班牙、希腊、新加坡、伊朗、以色列、意大利、印度、印度尼西亚、越南、中国大陆、中国香港。

Fig.3 Moran scatter diagram of spatial distribution of shipping competitiveness of countries (regions) along the 21st century Maritime Silk Road

2007年位于第一象限(HH)的国家(地区)有阿曼、法国、韩国、马来西亚、日本、斯洛文尼亚、西班牙、希腊、新加坡、意大利、中国大陆、中国香港,即航运竞争力强的区域被同是航运竞争力强的区域包围,区域空间内部差异较小;第二象限(LH)的国家为阿尔及利亚、巴基斯坦、菲律宾、柬埔寨、克罗地亚、黎巴嫩、孟加拉国、缅甸、摩洛哥、泰国、突尼斯、印度尼西亚、越南,即航运竞争力低的区域被航运竞争力强的区域包围,空间内部异质性较大;位于第三象限(LL)的国家较多,有埃及、巴林、吉布提、卡塔尔、科威特、肯尼亚、利比亚、马达加斯加、马尔代夫、莫桑比克、沙特阿拉伯、斯里兰卡、苏丹、坦桑尼亚、土耳其、伊朗,即航运竞争力低的区域被同是航运竞争力低的区域包围,空间内部差异较小;第四象限(HL)的国家为阿联酋、马耳他、毛里求斯、南非、塞浦路斯、以色列、印度,即航运竞争力强的区域被航运竞争力低的区域包围,空间内部异质性较大。
与2007年相比,2018年沿线国家(地区)航运竞争力空间格局分布有所变化,有黎巴嫩、摩洛哥、突尼斯从“LH”区转移到“LL”区;阿尔及利亚、塞浦路斯从“HL”区转移到“LL”区;斯里兰卡、马尔代夫从“LL”区转移到“LH”区;印度尼西亚、越南从“LH”区转移到“HH”区;印度从“HL”区转移到“HH”区;希腊从“HH”区转移到“HL”区;阿曼从“HH”区转移到“LH”区;其余国家(地区)所处象限均不变。虽然2007—2018年沿线国家(地区)航运竞争力的空间集聚性有所下降,但总体空间格局分布基本保持不变,即法国、韩国、马来西亚、日本、斯洛文尼亚、西班牙、新加坡、意大利、中国大陆、中国香港为“高高”集聚阵营,埃及、巴林、吉布提、卡塔尔、科威特、肯尼亚、利比亚、马达加斯加、莫桑比克、沙特阿拉伯、苏丹、坦桑尼亚、土耳其、伊朗为“低低”集聚阵营。

4 结论与建议

本文以2007—2018年21世纪海上丝绸之路沿线国家(地区)作为研究对象,借助熵值法对航运竞争力进行综合评价,并借助核密度估计、聚类分析和空间自相关方法分析了航运竞争力的空间演变格局,得出结论如下:
①航运竞争力大致呈逐年增长的发展态势,历年极差值在明显增大,表明国家(地区)间发展不平衡,极化效应十分严重。②竞争力综合评价得分呈正偏态分布,偏度值较大,分布较为分散,得分较低的国家(地区)占有较大比重。③航运竞争力核密度曲线逐年向右移动,曲线波峰高度逐年下降,函数区间呈现小幅扩大,且仍存在双峰形态,航运竞争力绝对差异逐年变大,并且极化现象在不断增强。④根据航运竞争力综合得分指数,可以将其划分为航运竞争力强、较强、一般、较弱等四种类型。⑤航运竞争力存在明显的空间正相关,马太效应显著,空间发展格局正由集中走向分散,且分散程度有所增强。
基于上述结论,本文蕴含的主要政策启示如下:一方面,优化港口资源配置,提升航运网络连通度。研究发现,港口运输密度和港口基础设施质量是阻碍航运竞争力发展的主要因素,因此需要进一步注重港口基础设施质量,杜绝港口资源的冗余和重复建设,对现有港口资源进行优化配置,增强技术和制度的创新驱动,引领港口智慧化和高质量发展,同时还需要适度增加集装箱船舶公司数量,扩大船舶集装箱承载力,提升船舶规模和服务质量,增强与周边国家航运的互通互联。另一方面,构建区域发展协作机制,注重地区空间关联发展。研究发现,沿线地区航运竞争力存在显著的空间关联性,因此各地区在制定航运贸易发展规划时,要整体和局部统筹兼顾,既要结合自身发展特点,也要考虑区域整体发展,同周边地区进行互惠互助。具体而言,航运竞争力高高集聚地区需要增强对低低集聚地区的辐射和扩散能力,充分发挥其涓滴效应,航运竞争力低低集聚地区需要增强自身吸收和消化能力,主动融入区域整体航运发展,共同构建区域发展协作机制,加快推进21世纪海上丝绸之路建设。
[1]
刘卫东, 姚秋蕙. “一带一路”建设模式研究——基于制度与文化视角[J]. 地理学报, 2020, 75(6):1134-1146.

DOI

[2]
范月娇, 王金燕. 21世纪海上丝绸之路运输通道的海运效率评价——基于SBM模型和DEA窗口分析方法[J]. 中国流通经济, 2020, 34(4):3-11.

[3]
张虎. 论21世纪海上丝绸之路构建中航运的先导作用[J]. 中国海商法研究, 2015, 26(1):3-7.

[4]
Peng P, Yang Y, Lu F, et al. Modelling the competitiveness of the ports along the Maritime Silk Road with big data[J]. Transportation Research Part A Policy and Practice, 2018(118):852-867.

[5]
王列辉, 张楠翌, 朱艳. “21世纪海上丝绸之路”航运服务业网络格局研究[J]. 地理科学, 2020, 40(10):1663-1670.

DOI

[6]
陈沛然, 王成金, 刘卫东. 中国海外港口投资格局的空间演化及其机理[J]. 地理科学进展, 2019, 38(7):973-987.

DOI

[7]
Ha Y S, Seo J S. An analysis of the competitiveness of major liner shipping companies[J]. Asian Journal of Shipping and Logistics, 2017, 33(2):53-60.

[8]
冯烽, 陈磊, 黄晗. 中国港口上市公司运营效率的测度与提升路径——基于SBM-DEA模型[J]. 中国流通经济, 2017, 31(6):106-112.

[9]
朱鹏颐, 黄新焕, 王盛, 等. 中国自贸试验区港口效率比较研究[J]. 亚太经济, 2017(5):98-104.

[10]
Yuen C A, Zhang A, Cheung W. Port competitiveness from the users' perspective:An analysis of major container ports in China and its neighboring countries[J]. Research in Transportation Economics, 2012(35):34-40.

[11]
鲁渤, 汪寿阳. 中韩集装箱码头运营效率的比较研究[J]. 管理评论, 2017, 29(5):175-182.

[12]
Lee C B, Wan J, Shi W, Li K. A cross-country study of competitiveness of the shipping industry[J]. Transport Policy, 2014, 35(9):366-376.

[13]
吴慧, 王道平, 张茜, 等. 基于云模型的国际邮轮港口竞争力评价与比较研究[J]. 中国软科学, 2015(2):166-174.

[14]
Dang V L, Yeo G T. A competitive strategic position analysis of Major Container Ports in Southeast Asia[J]. The Asian Journal of Shipping and Logs, 2017, 33(1):19-25.

[15]
刘勇, 汪传旭. 基于非期望输出网络DEA的集装箱港口群效率评价[J]. 系统工程, 2018, 36(4):121-126.

[16]
陈芙英, 张建同. “一带一路”战略下我国沿海港口竞争力评价与比较研究[J]. 工业工程与管理, 2021, 26(3):1-7.

[17]
Kim R A. A study on competitiveness analysis of ports in Korea and China by entropy weight TOPSIS[J]. Asian Journal of Shipping and Logs, 2016, 32(4):187-194.

[18]
Kutin N, Nguyen T T, Vallée Thomas. Relative efficiencies of ASEAN container ports based on data envelopment analysis[J]. Asian Journal of Shipping & Logs, 2017, 33(2):67-77.

[19]
Chang Y T, Park H K, Lee S, et al. Have emission control areas (ECAs) harmed port efficiency in Europe?[J]. Transportation Research Part D:Transport and Environment, 2018, 58(1):39-53.

[20]
López-Bermúdez B, Freire-Seoane M J, DJ Nieves-Martínez. Port efficiency in Argentina from 2012 to 2017:An ally for sustained economic growth[J]. Utilities Policy, 2019(61):100976.

[21]
Kuo K C, Lu W M, Li M H. Exploring the performance and competitiveness of Vietnam port industry using DEA[J]. The Asian Journal of Shipping and Logs, 2020, 36(3):136-144.

[22]
郭卫军, 黄繁华. 高技术产业与生产性服务业协同集聚如何影响经济增长质量?[J]. 产业经济研究, 2020(6):128-142.

Outlines

/