Differences in Livelihood Resilience of Farm Households in the Yellow River Basin under the Background of Livelihood Strategies and Its Influencing Factors:Taking Henan Province as an Example

  • ZHAI Bin ,
  • WANG Yuge , ,
  • ZHU Fangfang ,
  • JI Tengrui ,
  • XIN Kaixiang
Expand
  • College of Geography and Environmental Science,Henan University,Kaifeng 475004,Henan,China

Received date: 2023-09-11

  Revised date: 2023-12-27

  Online published: 2024-06-03

Abstract

Taking Henan Province as an example,the article establishes a livelihood resilience evaluation index system from three dimensions of buffering capacity, learning capacity and self-organizing capacity, and analyzes the differences in farmers' livelihood resilience and their influencing factors in different periods and under different conditions of livelihood strategies based on the data of the China Family Panel Studies in 2014 and 2018 by using the composite index and the multiple linear regression. The results show that: 1) There is a serious polarization in the choice of livelihood strategies from 2014 to 2018, in which purely agricultural, labor-led and wage-operated farmers are the main directions of the choice and development of the livelihood strategies of farm households in Henan Province. 2) The overall livelihood resilience of farm households is at a low to medium level, with a slow and small growth rate, which is manifested in the fact that the more stable the livelihood capital is, the higher the livelihood resilience index is. With the change of time, the livelihood resilience index shows an upward trend, and the internal dimension layer capacity imbalance. 3) The core factors such as transportation convenience, government support,neighborhood,household labor share,access to information,education level of the head of the household, and education investment, have different impact on the livelihood resilience of different types of farm households. The choice of livelihood strategies is in dynamic change,and the optimization of farmers' livelihood approach has a significant effect on the enhancement of livelihood resilience.

Cite this article

ZHAI Bin , WANG Yuge , ZHU Fangfang , JI Tengrui , XIN Kaixiang . Differences in Livelihood Resilience of Farm Households in the Yellow River Basin under the Background of Livelihood Strategies and Its Influencing Factors:Taking Henan Province as an Example[J]. Economic geography, 2024 , 44(2) : 156 -165 . DOI: 10.15957/j.cnki.jjdl.2024.02.016

2019年9月,为解决黄河流域民生问题,习近平总书记在黄河流域生态保护和高质量发展座谈会上明确指出:“黄河流域是我国重要的生态屏障和重要的经济地带,是打赢脱贫攻坚战的重要区域,在我国经济社会发展和生态安全方面具有十分重要的地位。”2021年10月,国务院又将立足黄河流域地域特色、深入实施乡村振兴战略、科学推进乡村规划布局作为黄河流域高质量发展的纲领。随着乡村振兴和黄河流域高质量发展战略的实施,黄河流域已然成为我国区域经济发展的重要载体和主要力量。然而,该流域贫困县聚集,乡村基础薄弱,居民收入水平低下使得在全面脱贫的胜利时期,仍存在相对贫困、致贫返贫以及上中下游发展不平衡和内生动力不足等问题[1]。流域内城乡差距逐渐增大,农村农户发展面临新的压力和挑战。因此,如何持续稳定地提高和巩固黄河流域脱贫攻坚成果,提升农户家庭抗风险能力,加快农村经济建设和黄河流域高质量发展成为紧扣时代的重要课题。
当前国内外学者关于农户生计问题的研究主要以可持续发展为理论基础,强调生计系统应对变化和扰动的恢复能力,侧重于生计恢复力的识别[2-3]、生计弹性的确定[4]。随着生计研究的不断深入,人们发现仅依靠生计资本的积累与转化并不能保护农户免受外界冲击。于是,1992年Chambers提出“Livelihood Resilience”(生计韧性)这一概念[5],韧性思维也随之引入到生计研究当中。以可持续发展理论为支撑的生计研究隐含韧性思维,与生计韧性的结合能够加强农户家庭生计的动态监测以及阐明农户在抵御外来风险时如何更好地维持自身的生计水平,是生计“风险—抵御”耦合协同作用的结果,为农户生计研究提供了一个崭新的视角。国外学者对于生计韧性问题的研究开始较早,主要关注气候变化、灾后恢复、粮食安全以及政治变化等外部干扰因素,通过构建各种评价框架来评估农户生计的恢复能力以及政府干预措施下生计恢复力的有效性[3,6-8]。相较之下,我国的生计韧性研究起步晚,对于“Resilience”的阐释经历了由“弹性—恢复力—韧性”的过程。研究的评估框架和方法也是在Speranza[3]的基础上结合自身状况,提出以缓冲能力、学习能力、自组织能力3个维度构建的生计韧性指标体系[9]。研究的主要内容多围绕以灾害为扰动因素来构建应对灾害的韧性框架,而在全球化与城镇化的发展背景下,经济、政治与社会变迁已成为不容忽视的扰动因素,推动着研究从单一灾害视角向综合视角转变。随着乡村振兴、精准扶贫等战略的相继提出,学者们开始将研究重心转向农村,并取得了一定成果,引领着农村领域的治理和发展。这一时期的研究主要集中于对特定地区农户生计韧性的定量评价与转型,如乡村旅游、贫困山区、易地扶贫搬迁等[10-14]
值得注意的是,现有研究主要集中在生态敏感地区,缺少对传统农区和贫困聚集区等区域农户生计的深入分析;数据选取上多以截面数据为主,少有对农户生计韧性的动态监测;农户生计发展过程中多考虑特定干扰下农户韧性的特点,较少从农户自身生计资本出发探讨农户生计韧性的作用强度。基于此,本文以黄河流域中下游传统农区河南省为例,选取中国家庭追踪调查2014和2018年数据,建立生计韧性评价体系,分析不同生计方式下农户生计韧性的变化差异及其影响机制,以期为提升传统农区农户生计韧性提出对策建议,助力黄河流域乡村振兴与高质量发展。

1 研究区域与数据来源

1.1 研究区域

在打赢脱贫攻坚战之前,黄河流域农区贫困特征存在显著的空间差异性,形成自然贫困→经济贫困→社会贫困的“贫困循环怪圈[15]”,成为我国贫困聚集区之一。据统计,黄河流域9省份共有170个贫困县,占全国贫困县总数的20%。其中,河南省地处黄河流域中心地带,是研究黄河流域农户生计情况的典型代表。主要表现在:①农业生产。河南省是中国重要的农业大省之一,得益于黄河的冲击作用为其提供了肥沃的土地和丰富的农业资源。2022年,用1/17的耕地面积产出占全国1/10的粮食,农业生产总值突破6948.3亿元,位居全国第一,是农户收入的主要来源。②经济发展。2022年,经济增长水平仅比全国平均水平高出0.10%,存在相对滞后性。农村人口占全省总人口的42.94%,因病、因残等难以维持生计的问题较为突出。③自然灾害。河南省地势复杂,气候类型多样,尤其在黄河流域地区,由于河水的泛滥以及河床的变迁导致自然灾害频发,农户生计面临更多的不确定性和挑战。因此,本文以河南省为案例区研究农户生计韧性的特征、影响生计韧性的关键因素,对黄河流域及其他农区的发展具有借鉴意义。

1.2 数据来源

本文数据来源于中国家庭追踪调查(CFPS)问卷。根据调查需要,以农户户主为研究对象,选取2014和2018年代表家庭基本生计特征的数据(表略) 。为保障数据质量,获取有效信息,已对数据进行清洗,最终共获取521份样本数据。以2014年统计结果为例,男性所占比例较大(59.12%);以43岁以上的中老年人居多,占样本总量的76.96%;家庭人数规模集中在4~8人,占67.37%;文化程度以初中及以下(85.8%)为主;家庭人均年收入以1万元以下为主,占58.35%;农户拥有耕地面积多为666.67~3333.33 m2,占55.09%;农户居住房屋以平房(46.26%)和小楼房(31.48%)为主。与2018年结果基本一致。

2 农户生计韧性评价指标体系的构建

对于农户生计韧性的研究,重点在于弄清楚脆弱性情境下什么才是影响农户生计韧性的主要原因,以及农户又该如何运用这些因素提高生计韧性。Speranza[3]通过构建生计韧性测度框架和评估指标体系,较好地解决了这一问题。本文结合河南省农户的实际情况,从缓冲能力[3,16-19]、学习能力[3,18]、自组织能力[17,19-20]3个层面构建河南省农户生计韧性评价指标体系(表1)。
表1 农户生计韧性水平评价指标体系

Tab.1 Evaluation indicator system of livelihood resilience of farm households

维度 具体指标 指标描述 指标权重 关系
缓冲能力 家庭劳动力占比 家庭中16~60岁(除去正在读书的学生)具备劳动能力的人口数与家庭人口总数之比(%) 0.0016
家庭人均年收入 家庭人均可支配收入(元/人):家庭总收入与总人数之比 0.0494
家庭存款 家庭拥有现金及金融存款总额(万元):[0,2)=1;[2,4)=2;[4,6)=3;[6,8)=4;[8,10)=5;[10,+∞)=6 0.2283
耕地面积 实际拥有的土地面积(m2 0.0552
房屋资本 家庭居住房屋类型:单元房=1;平房=2;四合院=3;别墅=4;小楼房=5;其他=6 0.0302
生活生产资料 今年耐用消费品总值(元) 0.1787
健康状况 今年家庭医疗费用支出占比(%) 0.0040
家庭欠款 家庭尚未还清的个人及银行贷款总额(万元):[0,2)=1;[2,4)=2;[4,7)=3;[7,10)=4;[10,+∞)=5 0.0004
人均受教育程度 文盲/半文盲=0;小学=1,初中=2,高中/中专/技校/职高=3,大专=4;大学本科及以上=5 0.1204
学习能力 信息获取能力 看电视、听广播、上网的频率为:从不=1;偏低=2;一般=3;较高=4;极高=5 0.0267
家庭教育投入 今年家庭教育支出费用(元):[0,1000)=1;[1000,3000)=2;[3000,5000)=3;[5000,10000)=4;[10000,20000)=5;[20000,+∞)=6 0.0106
自组织能力 政府扶持 今年家庭获得政府的扶持金额(元) 0.0030
交通便利程度 每月的交通费用(元) 0.2291
邻里信任度 根据信任程度打分:很低0~10很高 0.0208
社会地位 很低1~5很高 0.0130
粮食自给能力 是否具有粮食自给能力:是=1;否=0 0.0285
确定权重的方法有主观赋权法和客观赋权法[21]2种。相比主观赋权法,熵值法是一种确定多指标权重的客观赋值法,其依据是用各指标的信息熵来反映信息量,并对指标的相对变化程度进行赋权[22]。因此,熵值法能有效地避免因主观意识所引起的偏差,使权重更具有客观性,为指标的综合得分提供依据。
采用综合指数法分别从3个维度测算农户的生计韧性指数,并分析农户受到外界因素变化所做出反应的能力和水平。

3 不同生计策略下农户生计韧性的差异分析

3.1 农户生计策略类型划分

河南省地处黄河流域中下游,近年来外出务工人员不断增加,农户生计由单一种养殖业不断向多样化模式发展。现有农户生计的研究主要从地域类型或农户类型2个维度,对农户生计策略进行划分,常见的分类方式为郑殿元[23]、秦玲玲[13]等从农户收入来源或从业状况等角度出发将其划分为务工主导型、新型农业型、传统农业型、补助依赖型、兼业均衡型。
本文结合已有研究,选择以农户某一收入来源占家庭总收入比重≥50%为依据,将农户划分为纯农型、兼业均衡型、务工主导型、工资经营型和补助依赖型5种类型(图1)。
图1 河南省农户生计策略类型划分数量图

Fig.1 Quantitative map of the division of farm household types in Henan Province

经过长期的生产和生活实践,农户所持有的生计资本以及对生计的选择方式产生差异。2014年,纯农型农户61户,以种养殖业作为主要收入来源,从事传统农业或新型农业;兼业均衡型农户277户,以“农业+务工”“农业+工资经营”“农业+务工+工资经营”等2种及以上组合作为主要收入来源;务工主导型农户136户,多为青壮年劳动力,以外出务工作为主要收入来源,部分成员还进行简单耕作;工资经营型农户7户,以受教育程度较高的中青年为主,工资或经营性收入稳定;补助依赖型农户40户,多为身体较差的中老年人,受年龄、身体等多因素的限制,主要依靠养老金、低保等政府补贴来维持基本生计,家庭劳动力紧缺。与2014年相比,2018年农户在生计策略选择上发生明显改变,纯农型、务工主导型和工资经营型农户的数量都出现了不同程度的增加。其中,纯农型农户增加最多,增长率56.74%;务工主导型次之,增长率44.12%;补助依赖型最少,增长率2.5%。农户生计策略选择出现严重的两极分化。

3.2 不同类型农户生计韧性对比

3.2.1 不同年份差异对比

农户生计韧性指数的高低反映了其应对外部冲击时缓冲干扰,并通过学习和自组织以维持或提高生计能力的强弱。表2结果显示,2014—2018年农户生计韧性指数年均增长率21.51%,这表明农户生计水平在生产生活和外界干扰的波动下得到显著提高,生计方式、生产水平以及抗风险能力均有所增强。由此看出政府出台的节约集约利用耕地、务工务农补贴等多项惠农助农政策已初见成效。
表2 不同年份农户生计韧性指数

Tab.2 Livelihood resilience index of farm households in different years

缓冲能力 学习能力 自组织能力 生计韧性指数
2014年 0.129 0.023 0.018 0.170
2018年 0.247 0.021 0.037 0.305
年均增长率(%) 24.180 -2.990 27.150 21.510
从各属性维度层来看,自组织能力,年均增长率最高(27.15%);缓冲能力次之,年均增长率24.18%;学习能力年均增长率为-2.99%,这一不增反降的现象可能是因为脱贫攻坚战略实施过程中存在政策与农户需求衔接不紧密、政策宣传执行不到位等问题。研究发现,河南省大部分地区师资力量匮乏,就业技能培训课程单一且重形式、轻内容。农户在学习技能时需要花费大量的时间,加上自身学习意识薄弱,使得他们更愿意花费时间去劳作,参加者也只是抱着领取补贴的心态。因此,难以通过学习作出快速反应以应对外来冲击。
为进一步探究农户内部生计韧性的差异,本文利用SPSS 24.0软件进行单因素方差分析。由于缓冲能力、学习能力、自组织能力在进行方差齐性检验时p值均小于0.05,考虑到实际研究的需要,采用非参数检验法对维度层进行齐性检验。表3结果表明,不同年份农户内部生计韧性指数存在显著差异,各维度层能力的变化影响着不同类型农户自身生计韧性的水平的增长(图2)。
表3 农户生计韧性差异分析

Tab.3 Difference analysis of livelihood resilience of farm households

单因素方差 2014年 2018年 非参数检验 2014年 2018年
方差齐性检验P 0.915 0.183 缓冲能力 卡方(Sig.) 28.704(0.000) 38.162(0.002)
ANOVA分析Sig. 0.002 0.000 学习能力 卡方(Sig.) 33.452(0.000) 53.864(0.000)
自组织能力 卡方(Sig.) 123.465(0.000) 233.399(0.000)
图2 不同年份农户维度层指数

Fig.2 Dimensional layer index of farmers in different years

3.2.2 不同类型农户差异对比

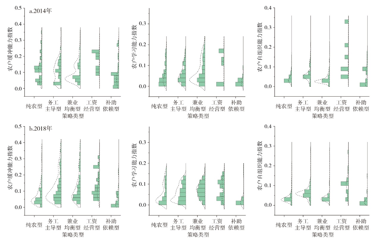
农户为应对不断变化的脆弱性环境提高生计水平,通过不断实践确定了多种适应性策略并将其划分为不同的生计类型。在脆弱性变化的环境中不同生计类型农户的生计韧性变化水平如何、呈现怎样的特点?哪类农户的抗风险能力最强、生计韧性水平最高?这些问题的解决,对深入研究农户生计韧性、制定相应政策和措施、提高农户生计水平以及应对脆弱性环境的能力十分重要。为针对以上问题对不同类型农户的生计韧性展开对比分析,本文借鉴赵雪雁等对生态敏感区韧性指数的等级划分方法[24],将生计韧性指数划分为低[0.00,0.35)、中[0.35,0.65)和高[0.65,1.00]3个等级。由图3可知,研究区88.77%的农户生计韧性指数低于0.35,最高值达0.62,最低值仅0.03,农户生计韧性处于中、低水平,无高水平韧性的农户。农户生计韧性由高到低依次为:工资经营型>务工主导型>兼业均衡型>纯农型>补助依赖型。
图3 不同生计策略下农户生计韧性指数

Fig.3 Livelihood resilience index of farmer households under different livelihood strategies

不同类型农户在家庭结构、农业生产方式和农户生计类型等方面存在显著差异,影响农户内部维度层能力的表现(图4)。整体来看,缓冲能力较强,学习能力较弱,各维度层能力表现失衡,影响着农户生计的可持续发展。①纯农型农户生计韧性指数集中分布于0.10~0.21,在5种农户类型中,缓冲能力、学习能力以及自组织能力均处于偏下水平。这类农户对土地的依赖性极强,易受自然灾害或市场波动等因素的冲击而呈现“钟摆”型流动。②务工主导型农户的生计韧性指数集中分布于0.10~0.33。相较于纯农型农户,这类农户在学习能力和自组织能力上表现较好,具有更为灵活的知识转化和整合能力,对生计韧性指数具有重要的分化作用。③兼业均衡型农户的生计韧性指数集中分布于0.12~0.30,内部分化不显著,生计较为稳定。这类农户可以不断增强自身与外界的联系,适时调整生计策略,以提高自身生产生活水平。④工资经营型农户的生计韧性指数集中分布于0.39~0.55,内部分化较为均匀。这类农户的自组织能力相对较弱,主要因为该类农户的工作与收入相对稳定,较少受到政府政策和扶贫人员的帮扶。⑤补助依赖型农户生计韧性指数集中分布于0.00~0.15,缓冲能力、学习能力以及自组织能力表现最差。这是因为补助依赖型农户的家庭结构老龄化程度较高,收入来源随年龄增长而渐趋单一,金融资本和物质资本的缺乏使得该类农户更加依赖国家补贴以维持生计。
图4 不同生计策略下农户维度层指数

Fig.4 Dimension layer index of farmers under different livelihood strategies

综上分析,5种类型农户的生计韧性指数均呈现低值集聚分布的势态,农户内部存在较大的差异性,且不同生计策略下农户的生计韧性结果不均衡,对其缓冲能力、学习能力以及自组织能力的分化产生影响。

4 不同类型农户生计韧性影响因素分析

农户生计差异会导致生计策略选择的不同,生计策略选择又会影响农户在应对风险时恢复甚至超越原始状态的能力。农户生计韧性是内外因素共同作用的结果[10,25-30],内部因素为五大生计资本[24,27]。即人力资本:户主教育程度[28]、健康状况[29];物质资本:生产生活资料;金融资本:家庭欠款[18]、家庭存款;自然资本:耕地面积[16];社会资本:邻里关系[29]。外部因素主要指社会环境,如农户与外界的接触程度[30]、政策因素[29]等都在潜移默化地影响着农户的生计韧性水平。基于此,本文构建了“内外因素→生计策略→生计韧性”的影响机制分析框架(图5)。
图5 农户生计韧性影响机制框架

Fig.5 Frame diagram of influencing mechanism of farmers' livelihood resilience

借助多元线性回归模型,将农户生计韧性指数作为因变量,五大生计资本、政府扶持、信息获取以及教育投入作为自变量,户主年龄[31]、家庭劳动力占比、人均收入作为控制变量。模型如下:
Z = α + β i D i + μ i
式中:Z为农户生计韧性指数;α为常量;βi为第i个变量系数;Di为影响生计韧性的因素;µi协变量。
结果显示,2014和2018年回归方程的R2均大于0.8,显著性水平均小于0.05,说明该模型拟合度较好,具有显著意义。且对该模型进行共线性检验,VIF均小于10,说明选取的变量间不存在多重共线性。

4.1 2014年农户生计韧性影响因素

表4可知,耕地面积作为农户赖以生存的自然资本对纯农型和兼业均衡型农户的生计韧性具有显著的正效应。这可能因为自然资本转化为家庭收入的能力有限,尽管河南省凭借优越的气候条件以及地理优势成为农产品生产大省,但高频率、范围广、危害重的气象灾害严重影响作物生长。此外,农户长期抱着“收不收,食一秋”的心理,依赖传统农业。生活生产资料对务工主导型和兼业均衡型农户的生计韧性具有正效应。人均收入对除补助依赖型外的农户具有正效应,这说明物质资本能够缓冲外界冲击以防止农户生计贫困。
表4 2014年农户生计韧性的多元线性回归分析

Tab.4 Multiple linear regression analysis of livelihood resilience of farm households in 2014

变量 生计韧性 方差膨胀系数VIF
纯农型 务工主导型 兼业均衡型 补助依赖型
核心变量 自然资本 耕地面积 0.170* 0.209 0.077*** -0.074 1.071
物质资本 生产生活资料 0.068 0.164*** 0.224*** 0.003 1.132
人力资本 健康状况 -0.125 0.013 -0.064 -0.045 1.084
户主教育程度 0.038 0.068* 0.062** 0.123 1.268
金融资本 家庭欠款 -0.039 0.019 -0.065 0.095 1.121
家庭存款 0.004 0.062 -0.093 0.020 1.146
社会资本 邻里关系 0.221 0.033 0.162* 0.311*** 1.133
外部环境 信息获取 0.306*** 0.138** 0.091*** -0.079 1.068
政府扶持 0.236** 0.144** -0.007 0.008*** 1.092
交通便捷程度 0.192** 0.366*** 0.334*** 0.261** 1.067
教育投入 0.058 0.391*** 0.526*** 0.376 1.106
控制变量 户主年龄 -0.048 -0.013* 0.018 0.090 1.096
家庭劳动力占比 0.159* 0.075*** 0.002** 0.328** 1.309
人均收入 0.474*** 0.413*** 0.440*** 0.579 1.230

注:1.*、**、***分别表示在10%、5%、1%的水平上统计显著。表5同。2.工资经营型农户数据量少,无法进行回归分析。

交通便捷程度是影响农户生计韧性的关键指标,具有显著正效应。公共配套设施的健全与否直接关系到农户对外界资源获取的便捷程度,影响收入多样化。政府扶持和邻里关系对补助依赖型农户具有正效应。由于该类农户家庭劳动力紧缺,身体素质较差,只能依靠微弱的资金流转度日,政府的低保、五保以及邻里帮助降低了生计风险。户主年龄负向影响着务工主导型农户的生计韧性水平,户主年龄越小越容易被市场接受,生计恢复能力越强。
信息获取、户主教育程度、教育投入正向影响着农户生计韧性水平的提高。对于务工主导型和兼业均衡型农户而言,该类农户与外界交流频繁,更容易掌握市场信息的变化,提升应对市场风险变化的能力。纯农型和补助依赖型农户教育程度低于前两者,该类农户获取生存资本的手段,主要是将生活经验运用于农业种植,生产条件较差,产量较低,比起集约化农业生产,抑制了农户生计韧性水平的提高。
家庭劳动力占比对农户生计韧性具有显著正效应。主要表现在劳动力越多,其工作选择范围越广。黄河流域地区劳动者转移现象较为普遍,相对农业活动而言,劳动力进城务工是农户获取收入和改善生活水平的有效途径,年轻且有一定文化程度的农户更愿意选择务工和就业以提升家庭的抗风险能力。

4.2 2018年农户生计韧性影响因素

2014—2018年,国家在农业上进行“三项补贴”改革;生活上鼓励农民返乡创业,增设养老金、低保、和外出务工等生活补贴;教育上解决了农村学生随父母进城上学的难题,同时开办务工、务农专业化人才培养等惠民政策,这些都在一定程度上提升了农户抵御外界风险、恢复自身生计的能力。对比不同时间尺度下农户生计韧性的影响强度差异发现(表5):①影响因子基本不变,但由于外界环境的干扰,对农户的影响强度有所减小;②工资经营型农户数量的增加,使得家庭劳动力占比和交通便捷程度正向影响着农户生计韧性水平;③工资经营型农户与其他农户相比更容易接受新知识和新技能,能够及时掌握市场信息的动向以转化为自己发展的需要,因此信息获取和教育投入对农户生计韧性具有正效应;④户主年龄对工资经营型农户生计韧性的提高具有负效应,说明户主年龄越大越不愿意接受新技术和知识,在生计决策时更加保守,抑制恢复能力的提升。通过2014和2018年结果对比,发现维度层建设仍不均衡,过多地注重了学习能力和自组织能力的提升,而忽视了农户缓冲能力的发展。
表5 2018年农户生计韧性的多元线性回归分析

Tab.5 Multiple linear regression analysis of livelihood resilience of farm households in 2018

变量 生计韧性 方差膨胀系数VIF
纯农型 务工主导型 兼业均衡型 工资经营型 补助依赖型
核心变量 自然资本 耕地面积 0.070** 0.019 0.090** 0.134 -0.138 1.090
物质资本 生产生活资料 0.259*** 0.316*** 0.235*** 0.251* 0.145 1.245
健康状况 0.040 -0.020 -0.040 -0.035 -0.150 1.128
人力资本 户主教育程度 0.088*** 0.059* 0.033 0.076 0.109 1.239
金融资本 家庭欠款 -0.033 -0.017 -0.033 -0.217 -0.098 1.062
家庭存款 0.488 0.603 0.526*** 0.502 0.446*** 1.242
社会资本 邻里关系 0.026 0.159 0.210 0.082 0.213*** 1.105
外部因素 信息获取 0.012 0.048* 0.199*** 0.218** 0.327*** 1.053
政府扶持 0.008 0.033 0.026 0.082 0.298*** 1.105
交通便捷程度 0.335*** 0.033*** 0.256*** 0.671*** 0.124** 1.239
教育投入 0.391*** 0.252*** 0.188*** 0.400*** 0.597 1.128
控制变量 户主年龄 0.013 0.007 0.075 -0.009* 0.049 1.162
家庭劳动力占比 -0.050* 0.037 0.008 0.034 0.043 1.212
人均收入 0.103*** 0.093*** 0.084 0.034 0.071 1.497

4.3 农户生计策略与生计韧性

农户在生产生活中往往会转变其生计策略以维持和改善生计[32]。为了进一步探究不同生计策略下农户生计韧性的内在关系,实现农户韧性的提升,本文对研究样本的生计策略进行了动态观测。结果显示(图6),农户在生计策略选择的过程中,生计韧性会随之发生变化。37.43%的农户保持原有的生计方式,但仅有46.67%的农户能够在原生计策略的路径依赖上加强其专业化生产,提高农户生计韧性水平。生计资本内部的失衡导致农户对生计策略的选择出现偏差[33],增加了面对风险的可能性,降低农户抗风险能力。“低文化程度+高资源禀赋”的农户倾向于高回报投资,但投资经验和信息获取渠道的匮乏,往往会获得低回报,甚至“零收益”,降低农户生计韧性。此外,年龄和家庭劳动力是决定农户是否改变生计策略的主要因素。随着年龄的增长,农户进行非农业活动受到限制,再加上经济波动和失业的冲击,4.60%的农户生计策略由其他类型转变为补助依赖型,家庭收入的骤减导致农户生计韧性水平整体降低。兼业均衡型农户由于劳动力的转移转变为其他类型农户,导致生计多样性的降低。通过单一生产创造的经济收益以及带动其他生计资本发展的效果缓慢,农户生计水平得不到有效提高,生计韧性减小。对于从事高收益生计活动的工资经营型农户而言,生计资本较为稳定,生计韧性表现效果较好。调查发现,家庭剩余劳动力的转移使得农户选择务工主导型的生计策略增多,外出务工带来的额外收益,提高了家庭的金融储蓄,扩大农户的社会关系网络,进一步提升了农户生计韧性。耕地是农户主要的生计保障,也是农户的名片。独特的家庭分工使得农村多由中老年或身体素质较差的农民主导,自然资本积累缓慢,74.19%的纯农型农户家庭抗风险能力下降。迫切需要调整农村地区的产业结构,促进大规模低收益模式向集约化生产模式转变,推动纯农型农户生计韧性水平的提高。
图6 生计策略与生计韧性关系

Fig.6 Relationship between livelihood strategies and livelihood resilience

5 结论与讨论

5.1 结论

在黄河流域高质量发展和解决相对贫困的现实需求下,本文构建“缓冲能力—学习能力—自组织能力”农户生计韧性评估框架,旨在识别河南省农户生计韧性水平及其影响机制。研究结论如下:
①生计策略分化明显。选择某一收入占总收入比重将农户划分为纯农型、务工主导型、兼业均衡型、工资经营型和补贴依赖型农户。在社会政策的驱动下,纯农型、务工主导型和工资经营型农户是河南省农户生计策略选择和发展的主要方向。作为农产品生产的主产区,以技术支持和农业产业化为主导的纯农型农户对提升农户生计发展具有重要意义。
②整体上农户生计韧性处于中低水平,增长速度慢、增幅小,且维度层中学习能力出现负增长。由于家庭结构、农业生产方式和农户生计类型的不同,导致农户内部维度层能力表现失衡。工资经营型和务工主导型农户得益于生计策略的选择,维度层能力表现相对较好,补助依赖型农户在各属性维度上表现最差。生计资本越稳定,其韧性水平越高。
③交通便捷程度、政府扶持、邻里关系、家庭劳动力占比、信息获取、户主受教育程度、教育投入等核心因素对不同类型农户生计韧性的影响强度各不相同。生计策略选择的差异性与生计韧性具有内在联系,实施多样化的生计策略对农户生计韧性水平的提高具有显著效果。

5.2 讨论

黄河流域作为我国重要的经济地带,在实现乡村振兴的过程中发挥着关键作用。2019年,黄河流域高质量发展被提升为国家战略,实现流域内农户生计发展已成为该战略的重要一环。本文聚焦拥有流域1/4农业人口的河南省农户生计现状,以2014和2018年CFPS数据为基础,探究了农户生计韧性的动态演化特征,为提高农户生计韧性水平和实施多样化的生计策略提供了决策参考。然而,由于农户生计发展受地貌片区空间变化的影响,在数据获取上存在一定局限性,忽略了农户生计韧性空间属性的多样性。未来有必要结合区域差异进行走访调查,开展农户生计韧性的地域差异分析。此外,本文受篇幅限制,未能清晰分析影响农户生计韧性的作用机制。因此,未来还应重点辨析不同生计策略下农户生计韧性的影响机制,丰富微观视角下生计韧性影响机制的理论内涵。
社会环境和家庭结构的不同使得农户生计发展始终处于不断变化的状态。在外部干扰因素的影响下,急需建立多维评估体系以及农户行为与组织管理之间的响应机制。特别是在新冠疫情背景下,探讨农户生计发展趋势以打破政策调节机制的滞后性,防止农户在突发事件中陷入贫困是未来值得深入探讨和研究的课题。根据本文研究结论,提出以下建议:①增强农户家庭经济实力。发挥河南省农业大省的优势,鼓励有地农户整合土地资源,实现小农户与现代农业发展的有效衔接,推动第一产业向二、三产业的延伸;打破原有生计依赖,拓宽处于生计韧性低水平等级农户的非农收入渠道,实现生计方式的优化重组,从而增强农户缓冲外部环境干扰的能力。②提高农户就业培训的精确性和有效性。培养农户独立学习和适应社会的能力,开展农业种植、外出务工技术、创新创业等多种类型的就业培训;结合当地产业为农户提供就业实践机会,从根本上调节农户的内生动力以提高学习能力。③拓宽信息宣传和获取渠道。建立动态监测系统以及时预测农户的实时状况,因户制宜提供生计帮扶;推动农户获取信息渠道的多样化,提高对就业、农业售卖等渠道信息的知晓程度,以此增强农户自组织能力。
[1]
王铮, 丁冠群, 吴乐英, 等. 黄河流域区域发展优势与经济带生成可能[J]. 中国人口·资源与环境, 2021, 31(2):111-118.

[2]
Quandt A. Measuring livelihood resilience:The household livelihood resilience approach (HLRA)[J]. World Development, 2018, 107:253-263.

DOI

[3]
Speranza C I, Wiesmann U, Rist S. An indicator framework for assessing livelihood resilience in the context of social-ecological dynamics[J]. Global Environmental Change, 2014, 28(1):109-119.

DOI

[4]
Thulstrup W A. Livelihood resilience and adaptive capacity:Tracing changes in household access to capital in central Vietnam[J]. World Development, 2015, 74:352-362.

DOI

[5]
Chambers R, Conway G. Sustainable rural livelihoods:Practical concepts for the 21st century[J]. IDS Discussion Paper No.296.Brighton,Institute of Development Studies, 1992,296.

[6]
Cooper J S., Wheeler T. Adaptive governance:Livelihood innovation for climate resilience in Uganda[J]. Geoforum, 2015, 65:96-107.

DOI

[7]
Sina D, Chang-Richards A Y, Wilkinson S, et al. What does the future hold for relocated communities post-disaster?Factors affecting livelihood resilience[J]. Interational Journal of Disaster Risk Reduction, 2019, 34:173-183.

[8]
Bernard P, Gordon M H, Kimberly L B, et al. Linking rural livelihood resilience and food security:An international challenge[J]. Food Security, 2016, 8(3):469-476.

DOI

[9]
李聪, 王磊, 康博纬, 等. 易地移民搬迁农户的生计恢复力测度及影响因素分析[J]. 西安交通大学学报:社会科学版, 2019, 39(4):38-47.

[10]
贾垚焱, 胡静, 刘大均, 等. 山区民族旅游地乡村聚落韧性评估及尺度关联研究[J]. 经济地理, 2022, 42(8):194-204.

DOI

[11]
莫潇杭. 杭州城市边缘区乡村旅游地农户生计韧性测度及影响因素研究[D]. 杭州: 浙江工商大学, 2020.

[12]
何艳冰, 张娟, 乔旭宁, 等. 精准扶贫背景下贫困山区农户生计恢复力研究——以河南秦巴山片区为例[J]. 干旱区资源与环境, 2020, 34(9):53-59.

[13]
秦玲玲. 贵州省易地扶贫搬迁农户生计韧性测度及影响因素研究[D]. 贵阳: 贵州大学, 2022.

[14]
季天妮, 周忠发, 牛子浩, 等. 易地扶贫搬迁前后农户生计恢复力对比分析:以贵州省贞丰县者相镇安置点为例[J]. 生态与农村环境学报, 2022, 38(11):1406-1414.

[15]
乔家君, 朱乾坤, 辛向阳. 黄河流域农区贫困特征及其影响因素[J]. 资源科学, 2020, 42(1):184-196.

DOI

[16]
纪金雄, 洪小燕, 朱永杰. 茶农生计恢复力测度及影响因素研究——以安溪县为例[J]. 茶叶科学, 2021, 41(1):132-142.

[17]
温腾飞, 石育中, 杨新军, 等. 黄土高原半干旱区农户生计恢复力及其影响因素研究——以榆中县为例[J]. 中国农业资源与区划, 2018, 39(5):172-182.

[18]
Li X, Kunnathur A S, Ragu-Nathan T S, et al. Development and validation of learning capability construct in IOS supply chain network context[C]. Annual Meeting of the Decision Sciences Institute, 2008.

[19]
Fuchs C. The antagonistic self-organization of modern society[J]. Journal of the Japanese Society of Applied Science, 2004, 14(1):183-209.

[20]
Milestad R, Darnhofer I. Building farm resilience:The prospects and challenges of organic farming[J]. Journal of Sustainable Agriculture, 2003, 22(3):81-97.

DOI

[21]
郭昱. 权重确定方法综述[J]. 农村经济与科技, 2018, 29(8):252-253.

[22]
赵丽, 朱永明, 付梅臣, 等. 主成分分析法和熵值法在农村居民点集约利用评价中的比较[J]. 农业工程学报, 2012, 28(7):235-242.

[23]
郑殿元, 黄晓军, 王晨. 陕北黄土高原农户生计恢复力评价及优化策略研究——以延川县为例[J]. 干旱区资源与环境, 2020, 34(9):9-16.

[24]
Zhao X Y,Chen, H H, Zhao H L, et al. Farmer households’ livelihood resilience in ecological-function areas:case of the Yellow River water source area of China[J]. Environment,Development and Sustainability, 2021, 24(7):1-22.

DOI

[25]
刘倩, 张戬, 何艳冰, 等. 秦巴山特困区农户生计资本及生计策略研究——以商洛市为例[J]. 干旱区地理, 2020, 43(1):237-247.

[26]
苏飞, 郑艳艳, 童磊, 等. 经济发达地区城市边缘区失地农民生计韧性研究——以杭州市为例[J]. 地理科学, 2022, 42(12):2047-2056.

DOI

[27]
王鹤霖, 赵雪雁. 帮扶措施对山区脱贫农户生计策略选择的影响——以陇南山区为例[J]. 地理科学进展, 2022, 41(11):2004-2017.

DOI

[28]
李聪, 高梦. 新型城镇化对易地扶贫搬迁农户生计恢复力影响的实证[J]. 统计与决策, 2019, 35(18):89-94.

[29]
汪樱, 唐兰云, 王卫雯, 等. 农户生计韧性驱动机理及其生计环境效应[J]. 长江流域资源与环境, 2023, 32(3):665-677.

[30]
任国平, 刘黎明, 李洪庆, 等. 基于乡村社会—生态系统脆弱性的国土综合整治时空配置研究[J]. 生态与农村环境学报, 2021, 37(10):1318-1330.

[31]
Wu Z L, Dai X H, Li B, et al. Livelihood consequences of the Grain for Green Programme across regional and household scales:A case study in the Loess Plateau[J]. Land Use Policy, 2021, 111(12):1-12.

[32]
王艳, 王磊. 相对贫困农户生计策略优化研究[J]. 农业经济, 2023(10):79-82.

[33]
Yang A X, Ye J Q, Wang Y H. Coupling and coordination relationship between livelihood capital and livelihood stability of farmers in different agricultural regions[J]. Land, 2022, 11(11):2049-2049.

DOI

Outlines

/